Номер 226, страница 120 - гдз по алгебре 10-11 класс учебник Колмогоров, Абрамов
 
                                                Авторы: Колмогоров А. Н., Абрамов А. М., Дудницын Ю. П.
Тип: Учебник
Издательство: Просвещение
Год издания: 2008 - 2025
Цвет обложки: зелёный, чёрный
ISBN: 978-5-09-019513-3
Рекомендовано Министерством образования и науки Российской Федерации
Алгебра и начала математического анализа
Популярные ГДЗ в 10 классе
Глава 2. Производная и её применения. Параграф 4. Производная - номер 226, страница 120.
№226 (с. 120)
Условие. №226 (с. 120)
скриншот условия
 
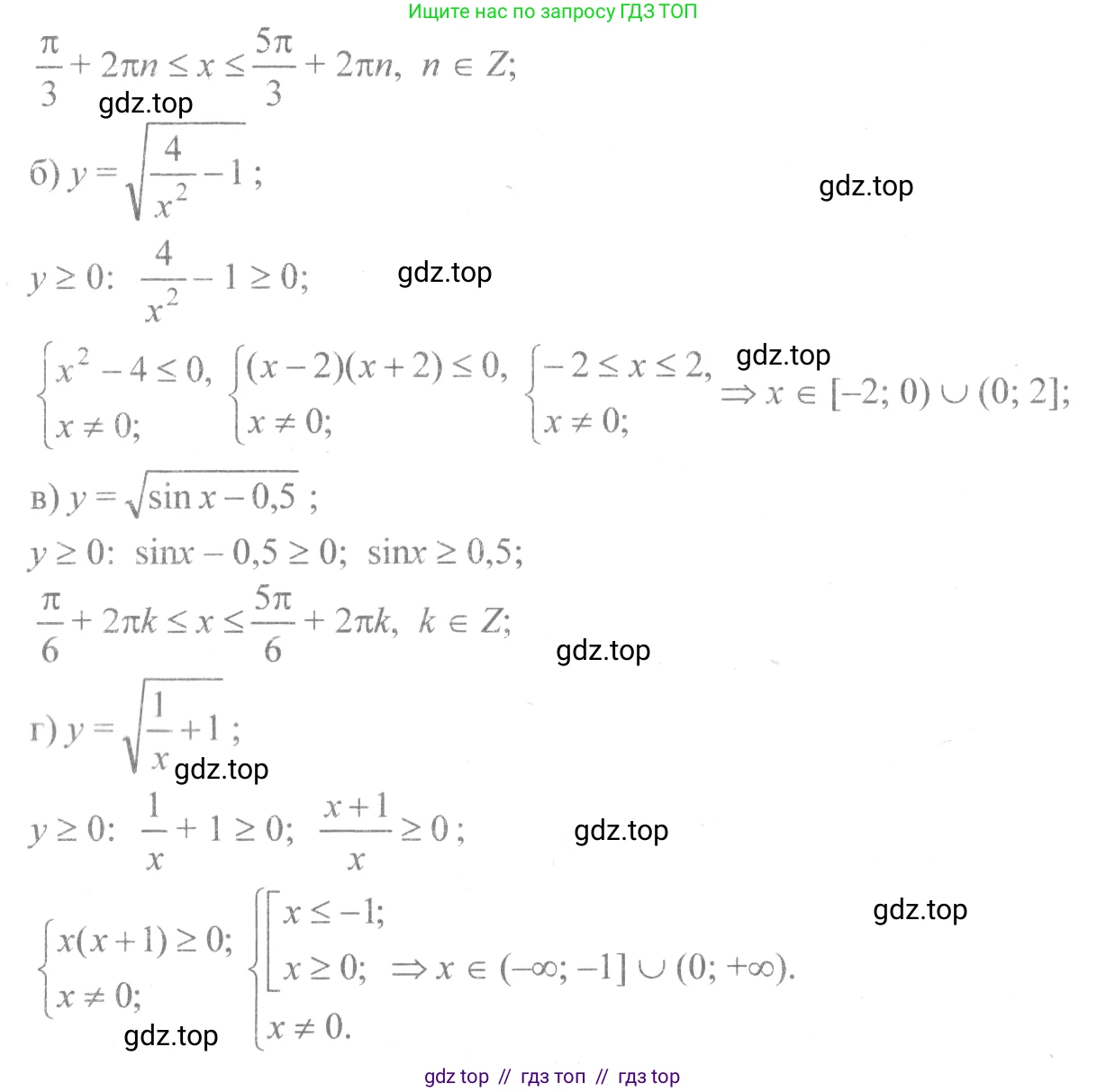
                                                                                                                                        226.— Найдите область определения функции:
a) $y = \sqrt{1 - 2 \cos x}$;
б) $y = \sqrt{\frac{4}{x^2} - 1}$;
в) $y = \sqrt{\sin x - 0,5}$;
г) $y = \sqrt{\frac{1}{x} + 1}$.
Решение 1. №226 (с. 120)
 
                                                                            
                                                                                                         
                                                                                                                        Решение 3. №226 (с. 120)
 
                                                                                                                        Решение 4. №226 (с. 120)
 
                                                                            
                                                                                                         
                                                                                                                        Решение 5. №226 (с. 120)
а) Область определения функции $y = \sqrt{1 - 2\cos x}$ находится из условия, что выражение под знаком квадратного корня должно быть неотрицательным:
$1 - 2\cos x \ge 0$
Переносим $2\cos x$ в правую часть неравенства:
$1 \ge 2\cos x$
Делим обе части на 2:
$\cos x \le \frac{1}{2}$
Решением этого тригонометрического неравенства является множество значений $x$, для которых косинус не превышает $\frac{1}{2}$. На единичной окружности это соответствует дуге от $\frac{\pi}{3}$ до $\frac{5\pi}{3}$. Учитывая периодичность функции косинуса, общее решение неравенства имеет вид:
$\frac{\pi}{3} + 2\pi n \le x \le \frac{5\pi}{3} + 2\pi n$, где $n \in \mathbb{Z}$.
Ответ: $[\frac{\pi}{3} + 2\pi n; \frac{5\pi}{3} + 2\pi n]$, $n \in \mathbb{Z}$.
б) Область определения функции $y = \sqrt{\frac{4}{x^2} - 1}$ определяется системой условий:
1. Выражение под корнем должно быть неотрицательно: $\frac{4}{x^2} - 1 \ge 0$.
2. Знаменатель дроби не должен быть равен нулю: $x^2 \ne 0 \Rightarrow x \ne 0$.
Решим первое неравенство:
$\frac{4}{x^2} \ge 1$
Так как $x^2 > 0$ при $x \ne 0$, можно умножить обе части на $x^2$:
$4 \ge x^2$, или $x^2 \le 4$.
Решением этого неравенства является отрезок $x \in [-2, 2]$.
Совмещая это решение с условием $x \ne 0$, получаем итоговую область определения.
Ответ: $[-2, 0) \cup (0, 2]$.
в) Область определения функции $y = \sqrt{\sin x - 0,5}$ находится из условия, что подкоренное выражение должно быть неотрицательным:
$\sin x - 0,5 \ge 0$
$\sin x \ge \frac{1}{2}$
Решением этого тригонометрического неравенства является множество значений $x$, для которых синус не меньше $\frac{1}{2}$. На единичной окружности это соответствует дуге от $\frac{\pi}{6}$ до $\frac{5\pi}{6}$. Учитывая периодичность функции синуса, общее решение неравенства имеет вид:
$\frac{\pi}{6} + 2\pi n \le x \le \frac{5\pi}{6} + 2\pi n$, где $n \in \mathbb{Z}$.
Ответ: $[\frac{\pi}{6} + 2\pi n; \frac{5\pi}{6} + 2\pi n]$, $n \in \mathbb{Z}$.
г) Область определения функции $y = \sqrt{\frac{1}{x} + 1}$ определяется системой условий:
1. Выражение под корнем должно быть неотрицательно: $\frac{1}{x} + 1 \ge 0$.
2. Знаменатель дроби не должен быть равен нулю: $x \ne 0$.
Решим первое неравенство, приведя его к общему знаменателю:
$\frac{1+x}{x} \ge 0$
Решим это рациональное неравенство методом интервалов.
Находим нули числителя: $1+x=0 \Rightarrow x=-1$.
Находим нули знаменателя: $x=0$.
Точки $x=-1$ и $x=0$ разбивают числовую ось на три интервала: $(-\infty, -1]$, $(-1, 0)$, $(0, \infty)$. Точка $x=-1$ включается в решение, так как неравенство нестрогое, а $x=0$ исключается.
- При $x < -1$ (например, $x=-2$), дробь $\frac{1-2}{-2} = \frac{-1}{-2} > 0$. Интервал $(-\infty, -1]$ подходит.
- При $-1 < x < 0$ (например, $x=-0,5$), дробь $\frac{1-0,5}{-0,5} < 0$. Интервал не подходит.
- При $x > 0$ (например, $x=1$), дробь $\frac{1+1}{1} > 0$. Интервал $(0, \infty)$ подходит.
Объединяем полученные интервалы.
Ответ: $(-\infty, -1] \cup (0, \infty)$.
Другие задания:
Помогло решение? Оставьте отзыв в комментариях ниже.
Присоединяйтесь к Телеграм-группе @top_gdz
ПрисоединитьсяМы подготовили для вас ответ c подробным объяснением домашего задания по алгебре за 10-11 класс, для упражнения номер 226 расположенного на странице 120 к учебнику 2008 года издания для учащихся школ и гимназий.
Теперь на нашем сайте ГДЗ.ТОП вы всегда легко и бесплатно найдёте условие с правильным ответом на вопрос «Как решить ДЗ» и «Как сделать» задание по алгебре к упражнению №226 (с. 120), авторов: Колмогоров (Андрей Николаевич), Абрамов (Александр Михайлович), Дудницын (Юрий Павлович), учебного пособия издательства Просвещение.
 
                     
                     
                     
                     
                     
                     
                     
                     
                     
                     
                     
                     
                     
                     
                     
                     
                     
                     
                    