Номер 283, страница 146 - гдз по алгебре 10-11 класс учебник Колмогоров, Абрамов
 
                                                Авторы: Колмогоров А. Н., Абрамов А. М., Дудницын Ю. П.
Тип: Учебник
Издательство: Просвещение
Год издания: 2008 - 2025
Цвет обложки: зелёный, чёрный
ISBN: 978-5-09-019513-3
Рекомендовано Министерством образования и науки Российской Федерации
Алгебра и начала математического анализа
Популярные ГДЗ в 10 классе
Глава 2. Производная и её применения. Параграф 6. Применения производной к исследованию функции - номер 283, страница 146.
№283 (с. 146)
Условие. №283 (с. 146)
скриншот условия
 
                                                                                                                                        Найдите промежутки возрастания и убывания и постройте графики функций (283—284).
283.—
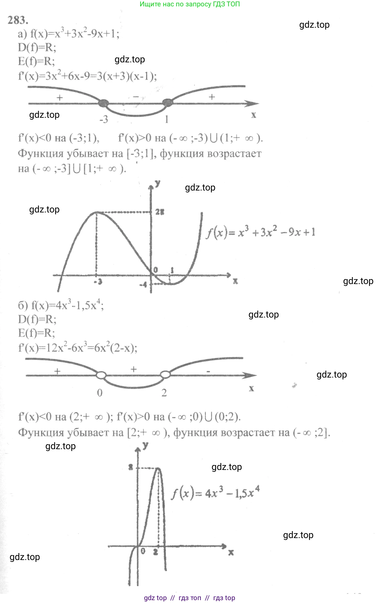
a) $f(x) = x^3 + 3x^2 - 9x + 1;$
б) $f(x) = 4x^3 - 1.5x^4;$
в) $f(x) = 2 + 9x + 3x^2 - x^3;$
г) $f(x) = x^4 - 2x^2.$
Решение 1. №283 (с. 146)
 
                                                                            
                                                                                                         
                                                                            
                                                                                                         
                                                                            
                                                                                                         
                                                                                                                        Решение 3. №283 (с. 146)
 
                                                                            
                                                                                                         
                                                                                                                        Решение 5. №283 (с. 146)
а) $f(x) = x^3 + 3x^2 - 9x + 1$
1. Область определения функции — все действительные числа, $D(f) = (-\infty; +\infty)$.
2. Найдем производную функции:
$f'(x) = (x^3 + 3x^2 - 9x + 1)' = 3x^2 + 6x - 9$.
3. Найдем критические точки, решив уравнение $f'(x) = 0$:
$3x^2 + 6x - 9 = 0$
$x^2 + 2x - 3 = 0$
По теореме Виета или через дискриминант находим корни:
$(x+3)(x-1) = 0$
Критические точки: $x_1 = -3$, $x_2 = 1$.
4. Определим знаки производной на интервалах, на которые критические точки делят числовую ось: $(-\infty, -3)$, $(-3, 1)$ и $(1, \infty)$.
- При $x \in (-\infty, -3)$, например $x=-4$: $f'(-4) = 3(-4)^2 + 6(-4) - 9 = 48 - 24 - 9 = 15 > 0$, значит, функция возрастает.
- При $x \in (-3, 1)$, например $x=0$: $f'(0) = 3(0)^2 + 6(0) - 9 = -9 < 0$, значит, функция убывает.
- При $x \in (1, \infty)$, например $x=2$: $f'(2) = 3(2)^2 + 6(2) - 9 = 12 + 12 - 9 = 15 > 0$, значит, функция возрастает.
5. Найдем точки экстремума.
- В точке $x = -3$ производная меняет знак с «+» на «−», следовательно, это точка локального максимума.
$f_{max} = f(-3) = (-3)^3 + 3(-3)^2 - 9(-3) + 1 = -27 + 27 + 27 + 1 = 28$.
Точка максимума: $(-3, 28)$.
- В точке $x = 1$ производная меняет знак с «−» на «+», следовательно, это точка локального минимума.
$f_{min} = f(1) = 1^3 + 3(1)^2 - 9(1) + 1 = 1 + 3 - 9 + 1 = -4$.
Точка минимума: $(1, -4)$.
6. Для построения графика найдем еще несколько точек:
$f(0) = 1$. Точка пересечения с осью OY: $(0, 1)$.
Ответ: функция возрастает на промежутках $(-\infty, -3]$ и $[1, \infty)$, убывает на промежутке $[-3, 1]$.
б) $f(x) = 4x^3 - 1,5x^4$
1. Область определения функции — все действительные числа, $D(f) = (-\infty; +\infty)$.
2. Найдем производную функции:
$f'(x) = (4x^3 - 1,5x^4)' = 12x^2 - 6x^3$.
3. Найдем критические точки, решив уравнение $f'(x) = 0$:
$12x^2 - 6x^3 = 0$
$6x^2(2 - x) = 0$
Критические точки: $x_1 = 0$, $x_2 = 2$.
4. Определим знаки производной на интервалах $(-\infty, 0)$, $(0, 2)$ и $(2, \infty)$.
- При $x \in (-\infty, 0)$, например $x=-1$: $f'(-1) = 6(-1)^2(2 - (-1)) = 6(1)(3) = 18 > 0$, функция возрастает.
- При $x \in (0, 2)$, например $x=1$: $f'(1) = 6(1)^2(2 - 1) = 6(1)(1) = 6 > 0$, функция возрастает.
- При $x \in (2, \infty)$, например $x=3$: $f'(3) = 6(3)^2(2 - 3) = 54(-1) = -54 < 0$, функция убывает.
Поскольку в точке $x=0$ производная не меняет знак, эта точка не является точкой экстремума (это точка перегиба).
5. Найдем точку экстремума.
- В точке $x = 2$ производная меняет знак с «+» на «−», следовательно, это точка локального максимума.
$f_{max} = f(2) = 4(2)^3 - 1,5(2)^4 = 4(8) - 1,5(16) = 32 - 24 = 8$.
Точка максимума: $(2, 8)$.
6. Для построения графика найдем точки пересечения с осями:
$f(0) = 0$. Точка $(0, 0)$ - начало координат.
$f(x) = 0 \implies x^3(4 - 1,5x) = 0 \implies x=0$ или $4 - 1,5x = 0 \implies x = \frac{4}{1,5} = \frac{8}{3}$.
Точки пересечения с осью OX: $(0, 0)$ и $(\frac{8}{3}, 0)$.
Ответ: функция возрастает на промежутке $(-\infty, 2]$, убывает на промежутке $[2, \infty)$.
в) $f(x) = 2 + 9x + 3x^2 - x^3$
1. Область определения функции — все действительные числа, $D(f) = (-\infty; +\infty)$.
2. Найдем производную функции:
$f'(x) = (2 + 9x + 3x^2 - x^3)' = 9 + 6x - 3x^2$.
3. Найдем критические точки, решив уравнение $f'(x) = 0$:
$-3x^2 + 6x + 9 = 0$
$x^2 - 2x - 3 = 0$
Корни уравнения: $x_1 = -1$, $x_2 = 3$.
4. Определим знаки производной на интервалах $(-\infty, -1)$, $(-1, 3)$ и $(3, \infty)$.
- При $x \in (-\infty, -1)$, например $x=-2$: $f'(-2) = -3(-2)^2 + 6(-2) + 9 = -12 - 12 + 9 = -15 < 0$, функция убывает.
- При $x \in (-1, 3)$, например $x=0$: $f'(0) = 9 > 0$, функция возрастает.
- При $x \in (3, \infty)$, например $x=4$: $f'(4) = -3(4)^2 + 6(4) + 9 = -48 + 24 + 9 = -15 < 0$, функция убывает.
5. Найдем точки экстремума.
- В точке $x = -1$ производная меняет знак с «−» на «+», это точка локального минимума.
$f_{min} = f(-1) = 2 + 9(-1) + 3(-1)^2 - (-1)^3 = 2 - 9 + 3 + 1 = -3$.
Точка минимума: $(-1, -3)$.
- В точке $x = 3$ производная меняет знак с «+» на «−», это точка локального максимума.
$f_{max} = f(3) = 2 + 9(3) + 3(3)^2 - (3)^3 = 2 + 27 + 27 - 27 = 29$.
Точка максимума: $(3, 29)$.
6. Дополнительная точка: пересечение с осью OY при $x=0$, $f(0) = 2$. Точка $(0, 2)$.
Ответ: функция убывает на промежутках $(-\infty, -1]$ и $[3, \infty)$, возрастает на промежутке $[-1, 3]$.
г) $f(x) = x^4 - 2x^2$
1. Область определения функции — все действительные числа, $D(f) = (-\infty; +\infty)$. Функция является четной, так как $f(-x) = (-x)^4 - 2(-x)^2 = x^4 - 2x^2 = f(x)$, поэтому ее график симметричен относительно оси OY.
2. Найдем производную функции:
$f'(x) = (x^4 - 2x^2)' = 4x^3 - 4x$.
3. Найдем критические точки, решив уравнение $f'(x) = 0$:
$4x^3 - 4x = 0$
$4x(x^2 - 1) = 0$
$4x(x-1)(x+1) = 0$
Критические точки: $x_1 = -1$, $x_2 = 0$, $x_3 = 1$.
4. Определим знаки производной на интервалах.
- При $x \in (-\infty, -1)$, например $x=-2$: $f'(-2) = 4(-2)^3 - 4(-2) = -32 + 8 = -24 < 0$, функция убывает.
- При $x \in (-1, 0)$, например $x=-0,5$: $f'(-0,5) = 4(-0,5)^3 - 4(-0,5) = -0,5 + 2 = 1,5 > 0$, функция возрастает.
- При $x \in (0, 1)$, например $x=0,5$: $f'(0,5) = 4(0,5)^3 - 4(0,5) = 0,5 - 2 = -1,5 < 0$, функция убывает.
- При $x \in (1, \infty)$, например $x=2$: $f'(2) = 4(2)^3 - 4(2) = 32 - 8 = 24 > 0$, функция возрастает.
5. Найдем точки экстремума.
- В точке $x = -1$ производная меняет знак с «−» на «+», это точка локального минимума. $f_{min} = f(-1) = (-1)^4 - 2(-1)^2 = 1 - 2 = -1$. Точка $(-1, -1)$.
- В точке $x = 0$ производная меняет знак с «+» на «−», это точка локального максимума. $f_{max} = f(0) = 0^4 - 2(0)^2 = 0$. Точка $(0, 0)$.
- В точке $x = 1$ производная меняет знак с «−» на «+», это точка локального минимума. $f_{min} = f(1) = 1^4 - 2(1)^2 = 1 - 2 = -1$. Точка $(1, -1)$.
6. Найдем точки пересечения с осью OX: $f(x)=0 \implies x^2(x^2-2)=0 \implies x=0, x=\pm\sqrt{2}$. Точки $(0,0), (\sqrt{2}, 0), (-\sqrt{2}, 0)$.
Ответ: функция убывает на промежутках $(-\infty, -1]$ и $[0, 1]$, возрастает на промежутках $[-1, 0]$ и $[1, \infty)$.
Другие задания:
Помогло решение? Оставьте отзыв в комментариях ниже.
Присоединяйтесь к Телеграм-группе @top_gdz
ПрисоединитьсяМы подготовили для вас ответ c подробным объяснением домашего задания по алгебре за 10-11 класс, для упражнения номер 283 расположенного на странице 146 к учебнику 2008 года издания для учащихся школ и гимназий.
Теперь на нашем сайте ГДЗ.ТОП вы всегда легко и бесплатно найдёте условие с правильным ответом на вопрос «Как решить ДЗ» и «Как сделать» задание по алгебре к упражнению №283 (с. 146), авторов: Колмогоров (Андрей Николаевич), Абрамов (Александр Михайлович), Дудницын (Юрий Павлович), учебного пособия издательства Просвещение.
 
                     
                     
                     
                     
                     
                     
                     
                     
                     
                     
                     
                     
                     
                     
                     
                     
                     
                     
                    