Номер 284, страница 146 - гдз по алгебре 10-11 класс учебник Колмогоров, Абрамов
 
                                                Авторы: Колмогоров А. Н., Абрамов А. М., Дудницын Ю. П.
Тип: Учебник
Издательство: Просвещение
Год издания: 2008 - 2025
Цвет обложки: зелёный, чёрный
ISBN: 978-5-09-019513-3
Рекомендовано Министерством образования и науки Российской Федерации
Алгебра и начала математического анализа
Популярные ГДЗ в 10 классе
Глава 2. Производная и её применения. Параграф 6. Применения производной к исследованию функции - номер 284, страница 146.
№284 (с. 146)
Условие. №284 (с. 146)
скриншот условия
 
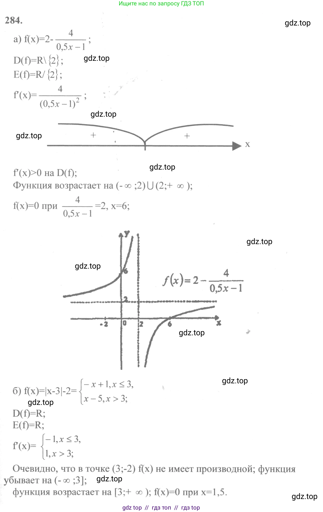
                                                                                                                                        284. a) $f(x) = 2 - \frac{4}{0,5x - 1}$;
б) $f(x) = |x - 3| - 2$;
в) $f(x) = 8x^2 - x^4$;
г) $f(x) = \left|\frac{1}{x} - 1\right|$.
Решение 1. №284 (с. 146)
 
                                                                            
                                                                                                         
                                                                            
                                                                                                         
                                                                            
                                                                                                         
                                                                                                                        Решение 3. №284 (с. 146)
 
                                                                            
                                                                                                         
                                                                                                                        Решение 5. №284 (с. 146)
Проведем полное исследование данной функции.
1. Область определения функции.
Знаменатель дроби не должен равняться нулю: $0,5x - 1 \neq 0$, откуда $0,5x \neq 1$ и $x \neq 2$.
Таким образом, область определения $D(f) = (-\infty; 2) \cup (2; +\infty)$.
2. Четность и нечетность.
Найдем $f(-x) = 2 - \frac{4}{0,5(-x) - 1} = 2 - \frac{4}{-0,5x - 1} = 2 + \frac{4}{0,5x + 1}$.
Так как $f(-x) \neq f(x)$ и $f(-x) \neq -f(x)$, функция не является ни четной, ни нечетной.
3. Нули функции.
Решим уравнение $f(x) = 0$: $2 - \frac{4}{0,5x - 1} = 0 \implies 2 = \frac{4}{0,5x - 1}$.
$2(0,5x - 1) = 4 \implies 0,5x - 1 = 2 \implies 0,5x = 3 \implies x = 6$.
Функция пересекает ось Ox в точке $(6; 0)$.
4. Асимптоты.
Вертикальная асимптота существует в точке разрыва, то есть при $x=2$.
Горизонтальную асимптоту найдем, вычислив предел функции при $x \to \pm\infty$:
$\lim_{x \to \pm\infty} (2 - \frac{4}{0,5x - 1}) = 2 - 0 = 2$.
Следовательно, $y=2$ — горизонтальная асимптота.
5. Промежутки монотонности и экстремумы.
Найдем производную функции: $f'(x) = (2 - 4(0,5x - 1)^{-1})' = -4(-1)(0,5x-1)^{-2} \cdot 0,5 = \frac{2}{(0,5x - 1)^2}$.
Поскольку $(0,5x-1)^2 > 0$ для всех $x$ из области определения, то $f'(x) > 0$ всегда.
Это означает, что функция возрастает на всей области определения: на промежутках $(-\infty; 2)$ и $(2; +\infty)$.
Так как производная нигде не равна нулю и не меняет знак, у функции нет точек экстремума.
6. Область значений.
Учитывая поведение функции около асимптот ($\lim_{x \to 2^-} f(x) = +\infty$, $\lim_{x \to 2^+} f(x) = -\infty$) и то, что $y=2$ является горизонтальной асимптотой, область значений функции $E(f) = (-\infty; 2) \cup (2; +\infty)$.
Ответ: Функция возрастает на промежутках $(-\infty; 2)$ и $(2; +\infty)$, не имеет экстремумов. Область определения: $D(f) = (-\infty; 2) \cup (2; +\infty)$. Область значений: $E(f) = (-\infty; 2) \cup (2; +\infty)$. Асимптоты: $x=2$ (вертикальная), $y=2$ (горизонтальная).
б) $f(x) = |x - 3| - 2$Проведем полное исследование данной функции.
1. Область определения функции.
Функция определена для всех действительных чисел. $D(f) = (-\infty; +\infty)$.
2. Раскрытие модуля.
Функцию можно представить в кусочно-заданном виде:
$f(x) = \begin{cases} (x-3) - 2 = x-5, & \text{если } x \ge 3 \\ -(x-3) - 2 = -x+3-2 = 1-x, & \text{если } x < 3 \end{cases}$
3. Нули функции.
Решим уравнение $f(x)=0$: $|x - 3| - 2 = 0 \implies |x - 3| = 2$.
Отсюда $x-3=2$ или $x-3=-2$.
Получаем два корня: $x_1=5$ и $x_2=1$.
4. Промежутки монотонности и экстремумы.
Найдем производную (для $x \neq 3$):
$f'(x) = \begin{cases} 1, & \text{если } x > 3 \\ -1, & \text{если } x < 3 \end{cases}$
При $x < 3$, $f'(x) < 0$, следовательно, функция убывает на промежутке $(-\infty; 3]$.
При $x > 3$, $f'(x) > 0$, следовательно, функция возрастает на промежутке $[3; +\infty)$.
В точке $x=3$ производная не существует. Так как при переходе через эту точку производная меняет знак с «−» на «+», $x=3$ является точкой минимума.
Значение функции в точке минимума: $f(3) = |3 - 3| - 2 = -2$.
5. Область значений.
Минимальное значение функции равно -2, а ветви графика уходят вверх до бесконечности. Таким образом, область значений $E(f) = [-2; +\infty)$.
Ответ: Функция убывает на промежутке $(-\infty; 3]$ и возрастает на $[3; +\infty)$. Точка минимума $x=3$, $f_{min}=-2$. Область определения: $(-\infty; +\infty)$. Область значений: $[-2; +\infty)$. Нули функции: $x=1, x=5$.
в) $f(x) = 8x^2 - x^4$Проведем полное исследование данной функции.
1. Область определения функции.
Функция является многочленом, поэтому она определена для всех действительных чисел. $D(f) = (-\infty; +\infty)$.
2. Четность и нечетность.
Найдем $f(-x) = 8(-x)^2 - (-x)^4 = 8x^2 - x^4 = f(x)$.
Функция является четной, ее график симметричен относительно оси Oy.
3. Нули функции.
Решим уравнение $f(x)=0$: $8x^2 - x^4 = 0 \implies x^2(8 - x^2) = 0$.
Корни: $x=0$ (кратности 2), $x = \sqrt{8} = 2\sqrt{2}$ и $x = -2\sqrt{2}$.
4. Промежутки монотонности и экстремумы.
Найдем производную: $f'(x) = 16x - 4x^3 = 4x(4 - x^2) = 4x(2-x)(2+x)$.
Приравняем производную к нулю, чтобы найти критические точки: $4x(2-x)(2+x) = 0$.
Критические точки: $x=0, x=2, x=-2$.
Исследуем знак производной на интервалах:
- При $x \in (-\infty; -2)$, $f'(x) > 0$, функция возрастает.
- При $x \in (-2; 0)$, $f'(x) < 0$, функция убывает.
- При $x \in (0; 2)$, $f'(x) > 0$, функция возрастает.
- При $x \in (2; +\infty)$, $f'(x) < 0$, функция убывает.
Точки экстремума:
- $x=-2$ — точка максимума. $f(-2) = 8(-2)^2 - (-2)^4 = 32 - 16 = 16$.
- $x=0$ — точка минимума. $f(0) = 8(0)^2 - 0^4 = 0$.
- $x=2$ — точка максимума. $f(2) = 8(2)^2 - (2)^4 = 32 - 16 = 16$.
5. Область значений.
Функция имеет два глобальных максимума в точках $x=\pm2$, равных 16. При $x \to \pm\infty$, $f(x) \to -\infty$.
Следовательно, область значений $E(f) = (-\infty; 16]$.
Ответ: Функция возрастает на $(-\infty; -2]$ и $[0; 2]$, убывает на $[-2; 0]$ и $[2; +\infty)$. Точки максимума $x=\pm2$, $f_{max}=16$. Точка минимума $x=0$, $f_{min}=0$. Область значений: $(-\infty; 16]$.
г) $f(x) = |\frac{1}{x} - 1|$Проведем полное исследование данной функции.
1. Область определения функции.
Знаменатель не может быть равен нулю, поэтому $x \neq 0$. $D(f) = (-\infty; 0) \cup (0; +\infty)$.
2. Нули функции.
Решим уравнение $f(x)=0$: $|\frac{1}{x} - 1| = 0 \implies \frac{1}{x} - 1 = 0 \implies \frac{1}{x} = 1 \implies x=1$.
3. Асимптоты.
Вертикальная асимптота в точке разрыва $x=0$, так как $\lim_{x \to 0} |\frac{1}{x} - 1| = \infty$.
Горизонтальная асимптота: $\lim_{x \to \pm\infty} |\frac{1}{x} - 1| = |0 - 1| = 1$.
Следовательно, $y=1$ — горизонтальная асимптота.
4. Промежутки монотонности и экстремумы.
Раскроем модуль, учитывая знак выражения $\frac{1}{x}-1$.
- При $x \in (0; 1)$, $\frac{1}{x} > 1$, поэтому $f(x) = \frac{1}{x} - 1$. $f'(x) = -\frac{1}{x^2} < 0$. Функция убывает.
- При $x \in (-\infty; 0) \cup (1; +\infty)$, $\frac{1}{x} < 1$, поэтому $f(x) = -(\frac{1}{x} - 1) = 1 - \frac{1}{x}$. $f'(x) = \frac{1}{x^2} > 0$. Функция возрастает.
Таким образом, функция возрастает на $(-\infty; 0)$ и на $[1; +\infty)$, убывает на $(0; 1]$.
В точке $x=1$ производная не существует, и знак производной меняется с «−» на «+» (справа от 0), значит, это точка минимума.
$f(1) = |\frac{1}{1}-1| = 0$.
5. Область значений.
Функция принимает только неотрицательные значения, $f(x) \ge 0$. Минимальное значение равно 0. Максимального значения нет. Область значений $E(f) = [0; +\infty)$.
Ответ: Функция возрастает на $(-\infty; 0)$ и $[1; +\infty)$, убывает на $(0; 1]$. Точка минимума $x=1$, $f_{min}=0$. Область определения: $(-\infty; 0) \cup (0; +\infty)$. Область значений: $[0; +\infty)$. Асимптоты: $x=0$ (вертикальная), $y=1$ (горизонтальная).
Другие задания:
Помогло решение? Оставьте отзыв в комментариях ниже.
Присоединяйтесь к Телеграм-группе @top_gdz
ПрисоединитьсяМы подготовили для вас ответ c подробным объяснением домашего задания по алгебре за 10-11 класс, для упражнения номер 284 расположенного на странице 146 к учебнику 2008 года издания для учащихся школ и гимназий.
Теперь на нашем сайте ГДЗ.ТОП вы всегда легко и бесплатно найдёте условие с правильным ответом на вопрос «Как решить ДЗ» и «Как сделать» задание по алгебре к упражнению №284 (с. 146), авторов: Колмогоров (Андрей Николаевич), Абрамов (Александр Михайлович), Дудницын (Юрий Павлович), учебного пособия издательства Просвещение.
 
                     
                     
                     
                     
                     
                     
                     
                     
                     
                     
                     
                     
                     
                     
                     
                     
                     
                     
                    