Номер 497, страница 237 - гдз по алгебре 10-11 класс учебник Колмогоров, Абрамов
 
                                                Авторы: Колмогоров А. Н., Абрамов А. М., Дудницын Ю. П.
Тип: Учебник
Издательство: Просвещение
Год издания: 2008 - 2025
Цвет обложки: зелёный, чёрный
ISBN: 978-5-09-019513-3
Рекомендовано Министерством образования и науки Российской Федерации
Алгебра и начала математического анализа
Популярные ГДЗ в 10 классе
Глава 4. Показательная и логарифмическая функции. Параграф 10. Показательная и логарифмическая функции - номер 497, страница 237.
№497 (с. 237)
Условие. №497 (с. 237)
скриншот условия
 
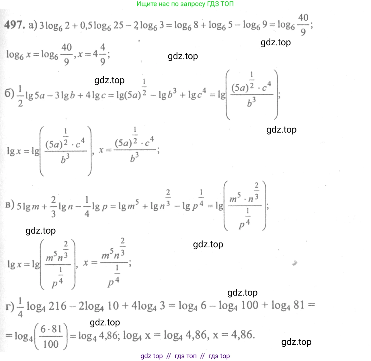
                                                                                                                                        497.— Найдите x, если:
a) $ \log_6 x = 3 \log_6 2 + 0.5 \log_6 25 - 2 \log_6 3 $
б) $ \lg x = \frac{1}{2} \lg 5a - 3 \lg b + 4 \lg c $
в) $ \lg x = 5 \lg m + \frac{2}{3} \lg n - \frac{1}{4} \lg p $
г) $ \log_4 x = \frac{1}{3} \log_4 216 - 2 \log_4 10 + 4 \log_4 3 $
Решение 1. №497 (с. 237)
 
                                                                            
                                                                                                         
                                                                                                                        Решение 3. №497 (с. 237)
 
                                                                                                                        Решение 5. №497 (с. 237)
Для решения данных уравнений мы будем использовать следующие свойства логарифмов:
- Свойство степени: $k \cdot \log_a b = \log_a (b^k)$
- Свойство произведения: $\log_a b + \log_a c = \log_a (b \cdot c)$
- Свойство частного: $\log_a b - \log_a c = \log_a (b / c)$
- Если $\log_a x = \log_a y$, то $x = y$ (при условии, что $x>0, y>0$)
а) Дано уравнение: $\log_6 x = 3 \log_6 2 + 0,5 \log_6 25 - 2 \log_6 3$.
1. Применим свойство степени к каждому члену в правой части уравнения:
$3 \log_6 2 = \log_6 (2^3) = \log_6 8$
$0,5 \log_6 25 = \log_6 (25^{0,5}) = \log_6 (\sqrt{25}) = \log_6 5$
$2 \log_6 3 = \log_6 (3^2) = \log_6 9$
2. Подставим полученные выражения обратно в уравнение:
$\log_6 x = \log_6 8 + \log_6 5 - \log_6 9$
3. Применим свойства произведения и частного для логарифмов:
$\log_6 x = \log_6 (8 \cdot 5) - \log_6 9 = \log_6 40 - \log_6 9 = \log_6 (\frac{40}{9})$
4. Так как основания логарифмов равны, то и их аргументы равны:
$x = \frac{40}{9}$
Ответ: $x = \frac{40}{9}$.
б) Дано уравнение: $\lg x = \frac{1}{2} \lg 5a - 3 \lg b + 4 \lg c$.
1. Применим свойство степени к правой части:
$\frac{1}{2} \lg 5a = \lg((5a)^{\frac{1}{2}}) = \lg \sqrt{5a}$
$3 \lg b = \lg(b^3)$
$4 \lg c = \lg(c^4)$
2. Подставим в исходное уравнение:
$\lg x = \lg \sqrt{5a} - \lg (b^3) + \lg (c^4)$
3. Используем свойства частного и произведения:
$\lg x = \lg (\frac{\sqrt{5a}}{b^3}) + \lg (c^4) = \lg (\frac{\sqrt{5a} \cdot c^4}{b^3})$
4. Приравниваем аргументы логарифмов:
$x = \frac{c^4 \sqrt{5a}}{b^3}$
Ответ: $x = \frac{c^4 \sqrt{5a}}{b^3}$.
в) Дано уравнение: $\lg x = 5 \lg m + \frac{2}{3} \lg n - \frac{1}{4} \lg p$.
1. Применим свойство степени:
$5 \lg m = \lg (m^5)$
$\frac{2}{3} \lg n = \lg(n^{\frac{2}{3}}) = \lg \sqrt[3]{n^2}$
$\frac{1}{4} \lg p = \lg(p^{\frac{1}{4}}) = \lg \sqrt[4]{p}$
2. Подставим в уравнение:
$\lg x = \lg (m^5) + \lg (n^{\frac{2}{3}}) - \lg (p^{\frac{1}{4}})$
3. Объединим логарифмы, используя свойства произведения и частного:
$\lg x = \lg (\frac{m^5 \cdot n^{\frac{2}{3}}}{p^{\frac{1}{4}}})$
4. Приравняем аргументы:
$x = \frac{m^5 n^{\frac{2}{3}}}{p^{\frac{1}{4}}}$ или $x = \frac{m^5 \sqrt[3]{n^2}}{\sqrt[4]{p}}$
Ответ: $x = \frac{m^5 n^{\frac{2}{3}}}{p^{\frac{1}{4}}}$.
г) Дано уравнение: $\log_4 x = \frac{1}{3} \log_4 216 - 2 \log_4 10 + 4 \log_4 3$.
1. Преобразуем правую часть с помощью свойства степени:
$\frac{1}{3} \log_4 216 = \log_4 (216^{\frac{1}{3}}) = \log_4 (\sqrt[3]{216}) = \log_4 6$
$2 \log_4 10 = \log_4 (10^2) = \log_4 100$
$4 \log_4 3 = \log_4 (3^4) = \log_4 81$
2. Подставим преобразованные члены в уравнение:
$\log_4 x = \log_4 6 - \log_4 100 + \log_4 81$
3. Сгруппируем и применим свойства произведения и частного:
$\log_4 x = (\log_4 6 + \log_4 81) - \log_4 100 = \log_4(6 \cdot 81) - \log_4 100 = \log_4 486 - \log_4 100 = \log_4(\frac{486}{100})$
4. Сократим дробь $\frac{486}{100} = \frac{243}{50}$.
$\log_4 x = \log_4(\frac{243}{50})$
5. Приравняем аргументы логарифмов:
$x = \frac{243}{50}$
Ответ: $x = \frac{243}{50}$.
Другие задания:
Помогло решение? Оставьте отзыв в комментариях ниже.
Присоединяйтесь к Телеграм-группе @top_gdz
ПрисоединитьсяМы подготовили для вас ответ c подробным объяснением домашего задания по алгебре за 10-11 класс, для упражнения номер 497 расположенного на странице 237 к учебнику 2008 года издания для учащихся школ и гимназий.
Теперь на нашем сайте ГДЗ.ТОП вы всегда легко и бесплатно найдёте условие с правильным ответом на вопрос «Как решить ДЗ» и «Как сделать» задание по алгебре к упражнению №497 (с. 237), авторов: Колмогоров (Андрей Николаевич), Абрамов (Александр Михайлович), Дудницын (Юрий Павлович), учебного пособия издательства Просвещение.
 
                     
                     
                     
                     
                     
                     
                     
                     
                     
                     
                     
                     
                     
                     
                     
                     
                     
                     
                    