Номер 536, страница 251 - гдз по алгебре 10-11 класс учебник Колмогоров, Абрамов
 
                                                Авторы: Колмогоров А. Н., Абрамов А. М., Дудницын Ю. П.
Тип: Учебник
Издательство: Просвещение
Год издания: 2008 - 2025
Цвет обложки: зелёный, чёрный
ISBN: 978-5-09-019513-3
Рекомендовано Министерством образования и науки Российской Федерации
Алгебра и начала математического анализа
Популярные ГДЗ в 10 классе
Глава 4. Показательная и логарифмическая функции. Параграф 10. Показательная и логарифмическая функции - номер 536, страница 251.
№536 (с. 251)
Условие. №536 (с. 251)
скриншот условия
 
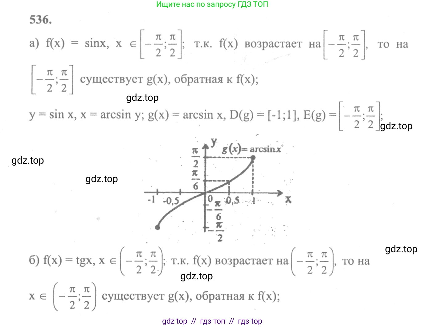
                                                                                                                                        536. a) $f(x) = \sin x, x \in \left[-\frac{\pi}{2}; \frac{\pi}{2}\right];$
Б) $f(x) = \tan x, x \in \left(-\frac{\pi}{2}; \frac{\pi}{2}\right);$
В) $f(x) = \cos x, x \in [0; \pi];$
Г) $f(x) = \cot x, x \in (0; \pi).$
Решение 1. №536 (с. 251)
 
                                                                            
                                                                                                         
                                                                                                                        Решение 3. №536 (с. 251)
 
                                                                                                                        Решение 5. №536 (с. 251)
а) Дана функция $f(x) = \sin x$ на области определения $D(f) = [-\frac{\pi}{2}, \frac{\pi}{2}]$. Чтобы найти обратную функцию, обозначим $y = \sin x$. Нам нужно выразить $x$ через $y$.
Сначала определим область значений функции $f(x)$. На отрезке $[-\frac{\pi}{2}, \frac{\pi}{2}]$ функция синус является строго возрастающей. Её наименьшее значение достигается в точке $x = -\frac{\pi}{2}$ и равно $\sin(-\frac{\pi}{2}) = -1$. Наибольшее значение достигается в точке $x = \frac{\pi}{2}$ и равно $\sin(\frac{\pi}{2}) = 1$. Таким образом, область значений функции $f(x)$ есть отрезок $E(f) = [-1, 1]$.
Для обратной функции $g(x)$ область определения совпадает с областью значений исходной функции, а область значений — с областью определения исходной функции. Следовательно, для обратной функции $g(x)$ имеем:
Область определения $D(g) = E(f) = [-1, 1]$.
Область значений $E(g) = D(f) = [-\frac{\pi}{2}, \frac{\pi}{2}]$.
Из уравнения $y = \sin x$ по определению функции арксинус, если $x \in [-\frac{\pi}{2}, \frac{\pi}{2}]$, то $x = \arcsin y$.
Заменив $y$ на $x$ (стандартное обозначение аргумента), получим формулу для обратной функции: $g(x) = \arcsin x$.
Ответ: Обратной функцией является $g(x) = \arcsin x$ с областью определения $D(g) = [-1, 1]$ и областью значений $E(g) = [-\frac{\pi}{2}, \frac{\pi}{2}]$.
б) Дана функция $f(x) = \operatorname{tg} x$ на области определения $D(f) = (-\frac{\pi}{2}, \frac{\pi}{2})$. Обозначим $y = \operatorname{tg} x$.
Определим область значений функции $f(x)$. На интервале $(-\frac{\pi}{2}, \frac{\pi}{2})$ функция тангенс строго возрастает. При $x \to \frac{\pi}{2}$ слева, $f(x) \to +\infty$. При $x \to -\frac{\pi}{2}$ справа, $f(x) \to -\infty$. Таким образом, область значений функции $f(x)$ — это множество всех действительных чисел, $E(f) = (-\infty, +\infty)$ или $\mathbb{R}$.
Для обратной функции $g(x)$ имеем:
Область определения $D(g) = E(f) = (-\infty, +\infty)$.
Область значений $E(g) = D(f) = (-\frac{\pi}{2}, \frac{\pi}{2})$.
Из уравнения $y = \operatorname{tg} x$ по определению функции арктангенс, если $x \in (-\frac{\pi}{2}, \frac{\pi}{2})$, то $x = \operatorname{arctg} y$.
Заменив $y$ на $x$, получим обратную функцию: $g(x) = \operatorname{arctg} x$.
Ответ: Обратной функцией является $g(x) = \operatorname{arctg} x$ с областью определения $D(g) = (-\infty, +\infty)$ и областью значений $E(g) = (-\frac{\pi}{2}, \frac{\pi}{2})$.
в) Дана функция $f(x) = \cos x$ на области определения $D(f) = [0, \pi]$. Обозначим $y = \cos x$.
Определим область значений функции $f(x)$. На отрезке $[0, \pi]$ функция косинус является строго убывающей. Её наибольшее значение достигается в точке $x = 0$ и равно $\cos(0) = 1$. Наименьшее значение достигается в точке $x = \pi$ и равно $\cos(\pi) = -1$. Таким образом, область значений функции $f(x)$ есть отрезок $E(f) = [-1, 1]$.
Для обратной функции $g(x)$ имеем:
Область определения $D(g) = E(f) = [-1, 1]$.
Область значений $E(g) = D(f) = [0, \pi]$.
Из уравнения $y = \cos x$ по определению функции арккосинус, если $x \in [0, \pi]$, то $x = \arccos y$.
Заменив $y$ на $x$, получим обратную функцию: $g(x) = \arccos x$.
Ответ: Обратной функцией является $g(x) = \arccos x$ с областью определения $D(g) = [-1, 1]$ и областью значений $E(g) = [0, \pi]$.
г) Дана функция $f(x) = \operatorname{ctg} x$ на области определения $D(f) = (0, \pi)$. Обозначим $y = \operatorname{ctg} x$.
Определим область значений функции $f(x)$. На интервале $(0, \pi)$ функция котангенс строго убывает. При $x \to 0$ справа, $f(x) \to +\infty$. При $x \to \pi$ слева, $f(x) \to -\infty$. Таким образом, область значений функции $f(x)$ — это множество всех действительных чисел, $E(f) = (-\infty, +\infty)$ или $\mathbb{R}$.
Для обратной функции $g(x)$ имеем:
Область определения $D(g) = E(f) = (-\infty, +\infty)$.
Область значений $E(g) = D(f) = (0, \pi)$.
Из уравнения $y = \operatorname{ctg} x$ по определению функции арккотангенс, если $x \in (0, \pi)$, то $x = \operatorname{arcctg} y$.
Заменив $y$ на $x$, получим обратную функцию: $g(x) = \operatorname{arcctg} x$.
Ответ: Обратной функцией является $g(x) = \operatorname{arcctg} x$ с областью определения $D(g) = (-\infty, +\infty)$ и областью значений $E(g) = (0, \pi)$.
Другие задания:
Помогло решение? Оставьте отзыв в комментариях ниже.
Присоединяйтесь к Телеграм-группе @top_gdz
ПрисоединитьсяМы подготовили для вас ответ c подробным объяснением домашего задания по алгебре за 10-11 класс, для упражнения номер 536 расположенного на странице 251 к учебнику 2008 года издания для учащихся школ и гимназий.
Теперь на нашем сайте ГДЗ.ТОП вы всегда легко и бесплатно найдёте условие с правильным ответом на вопрос «Как решить ДЗ» и «Как сделать» задание по алгебре к упражнению №536 (с. 251), авторов: Колмогоров (Андрей Николаевич), Абрамов (Александр Михайлович), Дудницын (Юрий Павлович), учебного пособия издательства Просвещение.
 
                     
                     
                     
                     
                     
                     
                     
                     
                     
                     
                     
                     
                     
                     
                     
                     
                     
                     
                    