Номер 31.8, страница 122, часть 2 - гдз по алгебре 10-11 класс задачник Мордкович, Семенов


Авторы: Мордкович А. Г., Семенов П. В., Денищева Л. О., Корешкова Т. А., Мишустина Т. Н., Тульчинская Е. Е.
Тип: Задачник
Издательство: Мнемозина
Год издания: 2019 - 2025
Уровень обучения: базовый
Часть: 2
Цвет обложки:
ISBN: 978-5-346-04509-0 (общ.), 978-5-346-04510-6 (ч. 1), 978-5-346-04511-3 (ч. 2)
Рекомендовано Министерством образования и науки Российской Федерации
Математика: алгебра и начала математического анализа, геометрия
Популярные ГДЗ в 10 классе
§31. Построение графиков функций. Глава 5. Производная. ч. 2 - номер 31.8, страница 122.
№31.8 (с. 122)
Условие. №31.8 (с. 122)
скриншот условия

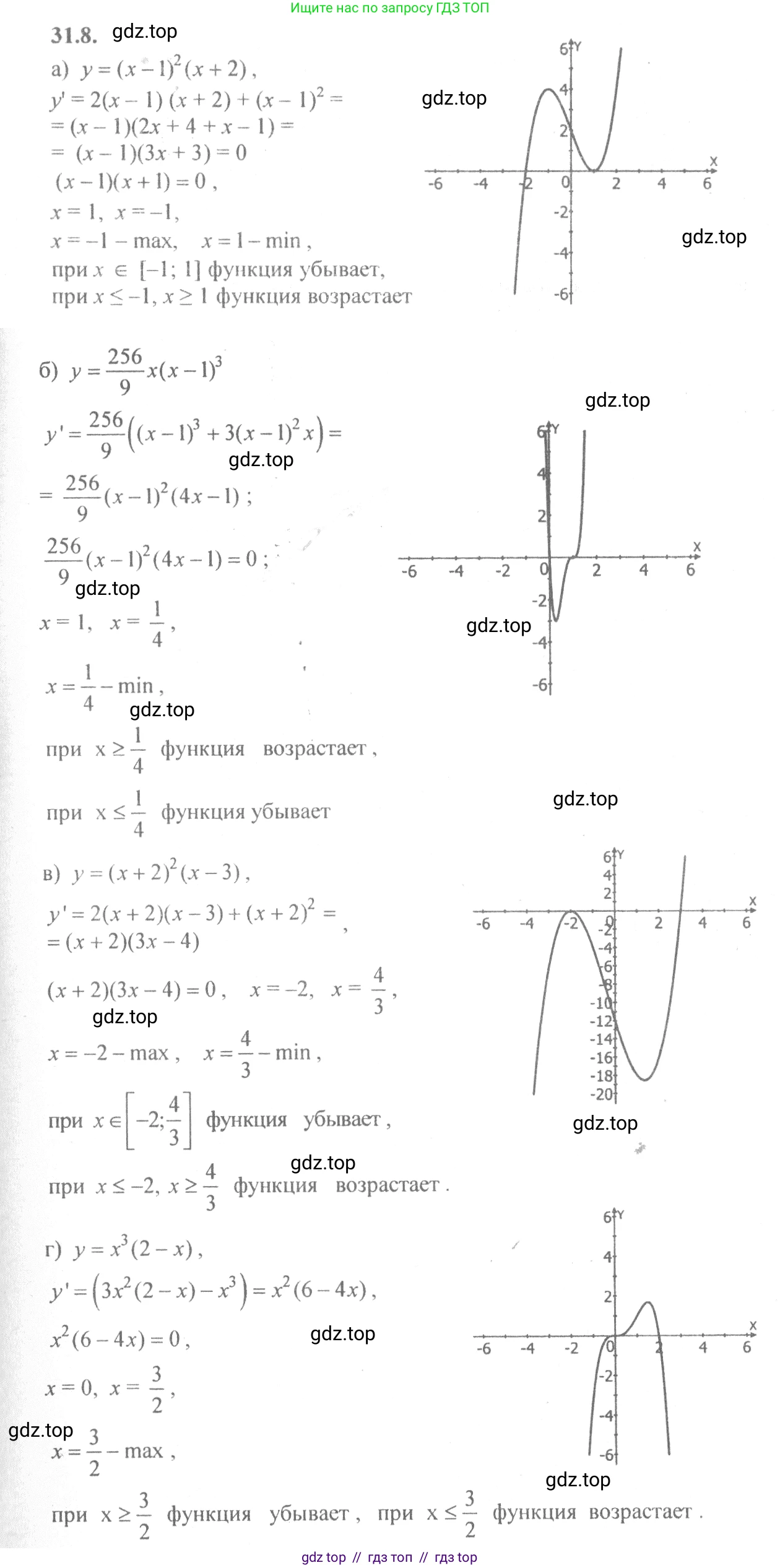
31.8 a) $y = (x - 1)^2 (x + 2);$
б) $y = \frac{256}{9}x(x - 1)^3;$
В) $y = (x + 2)^2 (x - 3);$
Г) $y = x^3(2 - x).$
Решение 1. №31.8 (с. 122)

Решение 2. №31.8 (с. 122)





Решение 3. №31.8 (с. 122)

Решение 5. №31.8 (с. 122)






Решение 6. №31.8 (с. 122)
а)
Проведем исследование функции $y = (x - 1)^2 (x + 2)$ на монотонность и экстремумы.
1. Область определения функции — все действительные числа, $D(y) = (-\infty; +\infty)$, так как это многочлен.
2. Для удобства дифференцирования раскроем скобки: $y = (x^2 - 2x + 1)(x + 2) = x^3 + 2x^2 - 2x^2 - 4x + x + 2 = x^3 - 3x + 2$.
3. Найдем производную функции: $y' = (x^3 - 3x + 2)' = 3x^2 - 3$.
4. Найдем критические точки, приравняв производную к нулю: $y' = 0$. Получаем $3x^2 - 3 = 0$, откуда $3(x^2 - 1) = 0$, $x^2 = 1$, и соответственно $x_1 = -1, x_2 = 1$.
5. Критические точки $x = -1$ и $x = 1$ разбивают числовую ось на три интервала: $(-\infty; -1)$, $(-1; 1)$ и $(1; +\infty)$. Определим знак производной $y' = 3(x - 1)(x + 1)$ на каждом интервале. На интервале $(-\infty; -1)$ производная положительна ($y' > 0$), значит, функция возрастает. На интервале $(-1; 1)$ производная отрицательна ($y' < 0$), значит, функция убывает. На интервале $(1; +\infty)$ производная положительна ($y' > 0$), значит, функция возрастает.
6. Найдем точки экстремума. В точке $x = -1$ производная меняет знак с «+» на «−», следовательно, это точка локального максимума. Значение функции в этой точке: $y_{max} = y(-1) = (-1 - 1)^2(-1 + 2) = (-2)^2(1) = 4$. В точке $x = 1$ производная меняет знак с «−» на «+», следовательно, это точка локального минимума. Значение функции в этой точке: $y_{min} = y(1) = (1 - 1)^2(1 + 2) = 0$.
Ответ: функция возрастает на промежутках $(-\infty; -1]$ и $[1; +\infty)$, убывает на промежутке $[-1; 1]$. Точка максимума $(-1; 4)$, точка минимума $(1; 0)$.
б)
Проведем исследование функции $y = \frac{256}{9}x(x - 1)^3$.
1. Область определения функции — все действительные числа, $D(y) = (-\infty; +\infty)$.
2. Найдем производную, используя правило дифференцирования произведения $(uv)'=u'v+uv'$: $y' = (\frac{256}{9}x)'(x-1)^3 + \frac{256}{9}x((x-1)^3)' = \frac{256}{9}(x-1)^3 + \frac{256}{9}x \cdot 3(x-1)^2$.
Вынесем общий множитель $\frac{256}{9}(x-1)^2$ за скобки: $y' = \frac{256}{9}(x-1)^2((x-1)+3x) = \frac{256}{9}(x-1)^2(4x-1)$.
3. Найдем критические точки из условия $y' = 0$: $\frac{256}{9}(x-1)^2(4x-1) = 0$. Отсюда $(x-1)^2 = 0$ или $4x-1=0$. Критические точки: $x_1 = 1$, $x_2 = \frac{1}{4}$.
4. Определим знаки производной на интервалах. Знак $y'$ зависит от знака выражения $(4x-1)$, так как множитель $(x-1)^2$ неотрицателен при всех $x$. На интервале $(-\infty; \frac{1}{4})$ выражение $4x-1 < 0$, поэтому $y' < 0$ и функция убывает. На интервалах $(\frac{1}{4}; 1)$ и $(1; +\infty)$ выражение $4x-1 > 0$, поэтому $y' > 0$ и функция возрастает.
5. Найдем точки экстремума. В точке $x = \frac{1}{4}$ производная меняет знак с «−» на «+», это точка локального минимума. $y_{min} = y(\frac{1}{4}) = \frac{256}{9} \cdot \frac{1}{4} (\frac{1}{4}-1)^3 = \frac{64}{9}(-\frac{3}{4})^3 = \frac{64}{9} \cdot (-\frac{27}{64}) = -3$. В точке $x=1$ производная не меняет знак, поэтому экстремума нет. Это стационарная точка, являющаяся точкой перегиба.
Ответ: функция убывает на промежутке $(-\infty; \frac{1}{4}]$ и возрастает на промежутке $[\frac{1}{4}; +\infty)$. Точка минимума $(\frac{1}{4}; -3)$.
в)
Проведем исследование функции $y = (x + 2)^2 (x - 3)$.
1. Область определения функции — $D(y) = (-\infty; +\infty)$.
2. Найдем производную по правилу произведения: $y' = ((x+2)^2)'(x-3) + (x+2)^2(x-3)' = 2(x+2)(x-3) + (x+2)^2$.
Вынесем общий множитель $(x+2)$: $y' = (x+2)(2(x-3) + (x+2)) = (x+2)(2x-6+x+2) = (x+2)(3x-4)$.
3. Найдем критические точки из условия $y' = 0$: $(x+2)(3x-4) = 0$. Критические точки: $x_1 = -2$, $x_2 = \frac{4}{3}$.
4. Определим знаки производной $y'=(x+2)(3x-4)$. Это парабола с ветвями вверх, пересекающая ось абсцисс в точках $x=-2$ и $x=\frac{4}{3}$. Следовательно, на интервале $(-\infty; -2)$ производная $y' > 0$ (функция возрастает), на интервале $(-2; \frac{4}{3})$ производная $y' < 0$ (функция убывает), на интервале $(\frac{4}{3}; +\infty)$ производная $y' > 0$ (функция возрастает).
5. Найдем точки экстремума. В точке $x = -2$ производная меняет знак с «+» на «−», это точка локального максимума. $y_{max} = y(-2) = (-2+2)^2(-2-3) = 0$. В точке $x = \frac{4}{3}$ производная меняет знак с «−» на «+», это точка локального минимума. $y_{min} = y(\frac{4}{3}) = (\frac{4}{3}+2)^2(\frac{4}{3}-3) = (\frac{10}{3})^2(-\frac{5}{3}) = \frac{100}{9} \cdot (-\frac{5}{3}) = -\frac{500}{27}$.
Ответ: функция возрастает на промежутках $(-\infty; -2]$ и $[\frac{4}{3}; +\infty)$, убывает на промежутке $[-2; \frac{4}{3}]$. Точка максимума $(-2; 0)$, точка минимума $(\frac{4}{3}; -\frac{500}{27})$.
г)
Проведем исследование функции $y = x^3(2-x)$.
1. Область определения функции — $D(y) = (-\infty; +\infty)$.
2. Раскроем скобки: $y = 2x^3 - x^4$.
3. Найдем производную: $y' = (2x^3 - x^4)' = 6x^2 - 4x^3$.
4. Найдем критические точки из условия $y' = 0$: $6x^2 - 4x^3 = 0 \implies 2x^2(3-2x) = 0$. Критические точки: $x_1 = 0$, $x_2 = \frac{3}{2}$.
5. Определим знаки производной $y' = 2x^2(3-2x)$ на интервалах. Знак $y'$ совпадает со знаком выражения $(3-2x)$, так как множитель $2x^2 \ge 0$. На интервалах $(-\infty; 0)$ и $(0; \frac{3}{2})$ выражение $3-2x > 0$, поэтому $y' > 0$ и функция возрастает. На интервале $(\frac{3}{2}; +\infty)$ выражение $3-2x < 0$, поэтому $y' < 0$ и функция убывает.
6. Найдем точки экстремума. В точке $x = \frac{3}{2}$ производная меняет знак с «+» на «−», это точка локального максимума. $y_{max} = y(\frac{3}{2}) = (\frac{3}{2})^3 (2 - \frac{3}{2}) = \frac{27}{8} \cdot \frac{1}{2} = \frac{27}{16}$. В точке $x = 0$ производная не меняет знак, поэтому экстремума нет. Это стационарная точка, являющаяся точкой перегиба.
Ответ: функция возрастает на промежутке $(-\infty; \frac{3}{2}]$ и убывает на промежутке $[\frac{3}{2}; +\infty)$. Точка максимума $(\frac{3}{2}; \frac{27}{16})$.
Другие задания:
Помогло решение? Оставьте отзыв в комментариях ниже.
Мы подготовили для вас ответ c подробным объяснением домашего задания по алгебре за 10-11 класс, для упражнения номер 31.8 расположенного на странице 122 для 2-й части к задачнику 2019 года издания для учащихся школ и гимназий.
Теперь на нашем сайте ГДЗ.ТОП вы всегда легко и бесплатно найдёте условие с правильным ответом на вопрос «Как решить ДЗ» и «Как сделать» задание по алгебре к упражнению №31.8 (с. 122), авторов: Мордкович (Александр Григорьевич), Семенов (Павел Владимирович), Денищева (Лариса Олеговна), Корешкова (Т А), Мишустина (Татьяна Николаевна), Тульчинская (Елена Ефимовна), 2-й части ФГОС (старый) базовый уровень обучения учебного пособия издательства Мнемозина.