Номер 32.1, страница 123, часть 2 - гдз по алгебре 10-11 класс задачник Мордкович, Семенов


Авторы: Мордкович А. Г., Семенов П. В., Денищева Л. О., Корешкова Т. А., Мишустина Т. Н., Тульчинская Е. Е.
Тип: Задачник
Издательство: Мнемозина
Год издания: 2019 - 2025
Уровень обучения: базовый
Часть: 2
Цвет обложки:
ISBN: 978-5-346-04509-0 (общ.), 978-5-346-04510-6 (ч. 1), 978-5-346-04511-3 (ч. 2)
Рекомендовано Министерством образования и науки Российской Федерации
Математика: алгебра и начала математического анализа, геометрия
Популярные ГДЗ в 10 классе
§32. Нахождение наибольших и наименьших значений функции. Глава 5. Производная. ч. 2 - номер 32.1, страница 123.
№32.1 (с. 123)
Условие. №32.1 (с. 123)
скриншот условия

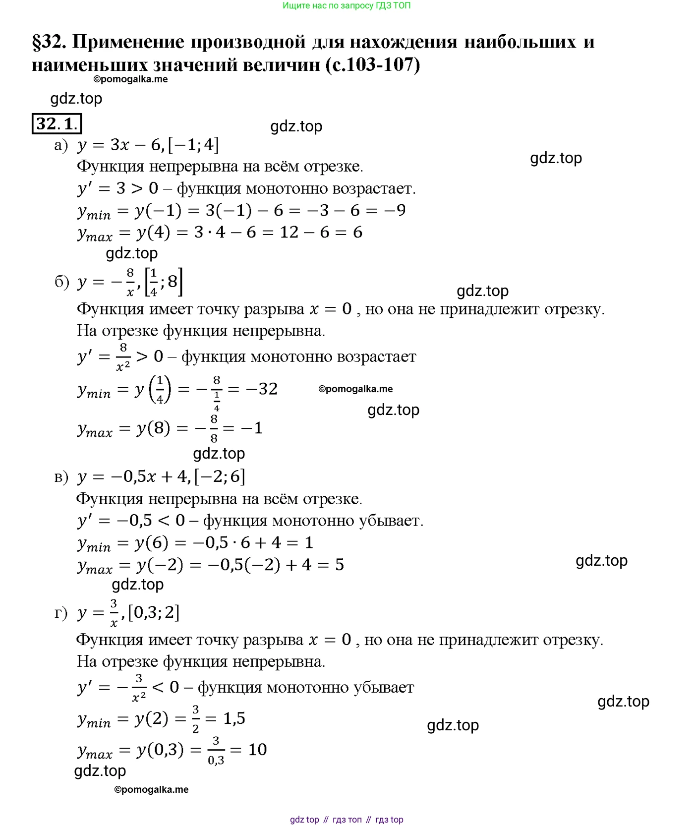
Найдите наибольшее и наименьшее значения заданной функции на заданном отрезке:
32.1 а) $y = 3x - 6, [-1; 4];$
б) $y = -\frac{8}{x}, [\frac{1}{4}; 8];$
в) $y = -0,5x + 4, [-2; 6];$
г) $y = \frac{3}{x}, [0,3; 2].$
Решение 1. №32.1 (с. 123)

Решение 2. №32.1 (с. 123)


Решение 3. №32.1 (с. 123)

Решение 5. №32.1 (с. 123)


Решение 6. №32.1 (с. 123)
а) $y = 3x - 6$ на отрезке $[-1; 4]$.
Данная функция является линейной с угловым коэффициентом $k=3$. Так как $k > 0$, функция строго возрастает на всей своей области определения, в том числе и на отрезке $[-1; 4]$.
Для возрастающей функции на отрезке ее наименьшее значение достигается на левом конце отрезка, а наибольшее — на правом.
Вычислим значения функции на концах отрезка:
Наименьшее значение при $x = -1$: $y_{наим} = y(-1) = 3 \cdot (-1) - 6 = -3 - 6 = -9$.
Наибольшее значение при $x = 4$: $y_{наиб} = y(4) = 3 \cdot 4 - 6 = 12 - 6 = 6$.
Ответ: наименьшее значение функции -9, наибольшее значение 6.
б) $y = -\frac{8}{x}$ на отрезке $[\frac{1}{4}; 8]$.
Данная функция является обратной пропорциональностью и непрерывна на заданном отрезке, так как точка разрыва $x=0$ не принадлежит ему. Для определения характера монотонности функции найдем ее производную:
$y' = \left(-\frac{8}{x}\right)' = (-8x^{-1})' = -8 \cdot (-1)x^{-2} = \frac{8}{x^2}$.
На отрезке $[\frac{1}{4}; 8]$ производная $y' = \frac{8}{x^2}$ всегда положительна ($y' > 0$). Следовательно, функция строго возрастает на этом отрезке.
Таким образом, наименьшее значение достигается на левом конце отрезка, а наибольшее — на правом.
Вычислим значения:
Наименьшее значение при $x = \frac{1}{4}$: $y_{наим} = y\left(\frac{1}{4}\right) = -\frac{8}{1/4} = -32$.
Наибольшее значение при $x = 8$: $y_{наиб} = y(8) = -\frac{8}{8} = -1$.
Ответ: наименьшее значение функции -32, наибольшее значение -1.
в) $y = -0.5x + 4$ на отрезке $[-2; 6]$.
Это линейная функция с угловым коэффициентом $k=-0.5$. Так как $k < 0$, функция строго убывает на всей своей области определения, включая отрезок $[-2; 6]$.
Для убывающей функции на отрезке ее наибольшее значение достигается на левом конце отрезка, а наименьшее — на правом.
Найдем значения функции на концах отрезка:
Наибольшее значение при $x = -2$: $y_{наиб} = y(-2) = -0.5 \cdot (-2) + 4 = 1 + 4 = 5$.
Наименьшее значение при $x = 6$: $y_{наим} = y(6) = -0.5 \cdot 6 + 4 = -3 + 4 = 1$.
Ответ: наименьшее значение функции 1, наибольшее значение 5.
г) $y = \frac{3}{x}$ на отрезке $[0.3; 2]$.
Функция является обратной пропорциональностью и непрерывна на заданном отрезке, так как точка разрыва $x=0$ не принадлежит ему. Найдем производную для анализа монотонности:
$y' = \left(\frac{3}{x}\right)' = (3x^{-1})' = 3 \cdot (-1)x^{-2} = -\frac{3}{x^2}$.
На отрезке $[0.3; 2]$ производная $y' = -\frac{3}{x^2}$ всегда отрицательна ($y' < 0$). Следовательно, функция строго убывает на этом отрезке.
Таким образом, наибольшее значение достигается на левом конце отрезка, а наименьшее — на правом.
Вычислим значения:
Наибольшее значение при $x = 0.3$: $y_{наиб} = y(0.3) = \frac{3}{0.3} = 10$.
Наименьшее значение при $x = 2$: $y_{наим} = y(2) = \frac{3}{2} = 1.5$.
Ответ: наименьшее значение функции 1.5, наибольшее значение 10.
Другие задания:
Помогло решение? Оставьте отзыв в комментариях ниже.
Мы подготовили для вас ответ c подробным объяснением домашего задания по алгебре за 10-11 класс, для упражнения номер 32.1 расположенного на странице 123 для 2-й части к задачнику 2019 года издания для учащихся школ и гимназий.
Теперь на нашем сайте ГДЗ.ТОП вы всегда легко и бесплатно найдёте условие с правильным ответом на вопрос «Как решить ДЗ» и «Как сделать» задание по алгебре к упражнению №32.1 (с. 123), авторов: Мордкович (Александр Григорьевич), Семенов (Павел Владимирович), Денищева (Лариса Олеговна), Корешкова (Т А), Мишустина (Татьяна Николаевна), Тульчинская (Елена Ефимовна), 2-й части ФГОС (старый) базовый уровень обучения учебного пособия издательства Мнемозина.