Номер 44.18, страница 182, часть 2 - гдз по алгебре 10-11 класс задачник Мордкович, Семенов


Авторы: Мордкович А. Г., Семенов П. В., Денищева Л. О., Корешкова Т. А., Мишустина Т. Н., Тульчинская Е. Е.
Тип: Задачник
Издательство: Мнемозина
Год издания: 2019 - 2025
Уровень обучения: базовый
Часть: 2
Цвет обложки:
ISBN: 978-5-346-04509-0 (общ.), 978-5-346-04510-6 (ч. 1), 978-5-346-04511-3 (ч. 2)
Рекомендовано Министерством образования и науки Российской Федерации
Математика: алгебра и начала математического анализа, геометрия
Популярные ГДЗ в 10 классе
§44. Логарифмические уравнения. Глава 7. Показательная и логарифмическая функции. ч. 2 - номер 44.18, страница 182.
№44.18 (с. 182)
Условие. №44.18 (с. 182)
скриншот условия

Решите систему уравнений:
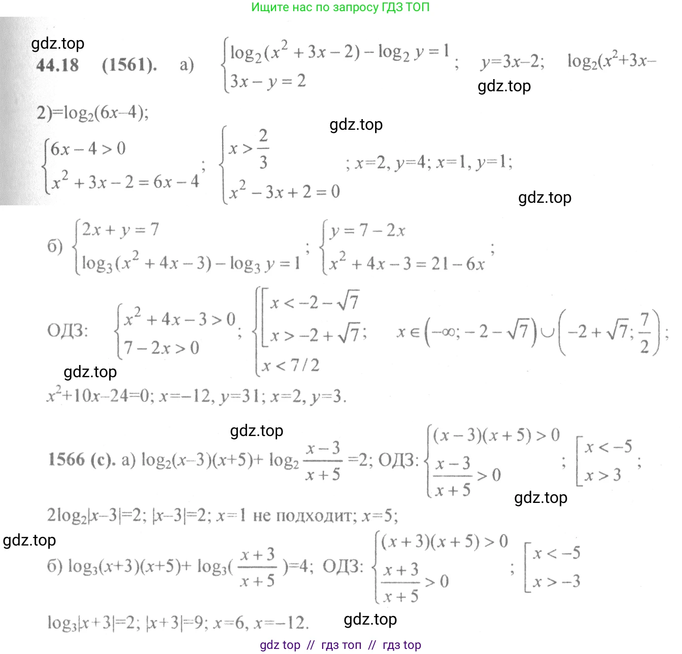
44.18 a) $\begin{cases} \log_2 (x^2 + 3x - 2) - \log_2 y = 1, \\ 3x - y = 2; \end{cases}$
б) $\begin{cases} 2x + y = 7, \\ \log_3 (x^2 + 4x - 3) - \log_3 y = 1. \end{cases}$
Решение 1. №44.18 (с. 182)

Решение 2. №44.18 (с. 182)


Решение 5. №44.18 (с. 182)


Решение 6. №44.18 (с. 182)
а)
Дана система уравнений:
$$ \begin{cases} \log_2(x^2 + 3x - 2) - \log_2 y = 1, \\ 3x - y = 2; \end{cases} $$
Сначала определим область допустимых значений (ОДЗ). Аргументы логарифмов должны быть строго положительны:
$$ \begin{cases} x^2 + 3x - 2 > 0, \\ y > 0. \end{cases} $$
Из второго уравнения системы выразим $y$:
$3x - y = 2 \implies y = 3x - 2$.
Подставим это выражение в первое уравнение системы:
$\log_2(x^2 + 3x - 2) - \log_2(3x - 2) = 1$.
Воспользуемся свойством разности логарифмов $\log_a b - \log_a c = \log_a (b/c)$:
$\log_2 \frac{x^2 + 3x - 2}{3x - 2} = 1$.
По определению логарифма:
$\frac{x^2 + 3x - 2}{3x - 2} = 2^1 = 2$.
Решим полученное уравнение:
$x^2 + 3x - 2 = 2(3x - 2)$
$x^2 + 3x - 2 = 6x - 4$
$x^2 - 3x + 2 = 0$.
Найдем корни этого квадратного уравнения. По теореме Виета, сумма корней равна 3, а произведение равно 2. Следовательно, корни:
$x_1 = 1$, $x_2 = 2$.
Теперь необходимо проверить, удовлетворяют ли найденные корни ОДЗ. Для этого найдем соответствующие значения $y$ и проверим все условия.
1. Для $x_1 = 1$:
$y_1 = 3x_1 - 2 = 3(1) - 2 = 1$.
Проверяем условия ОДЗ для пары $(1, 1)$:
$y_1 = 1 > 0$ (верно).
$x_1^2 + 3x_1 - 2 = 1^2 + 3(1) - 2 = 1+3-2 = 2 > 0$ (верно).
Следовательно, пара $(1, 1)$ является решением.
2. Для $x_2 = 2$:
$y_2 = 3x_2 - 2 = 3(2) - 2 = 4$.
Проверяем условия ОДЗ для пары $(2, 4)$:
$y_2 = 4 > 0$ (верно).
$x_2^2 + 3x_2 - 2 = 2^2 + 3(2) - 2 = 4+6-2 = 8 > 0$ (верно).
Следовательно, пара $(2, 4)$ также является решением.
Ответ: $(1, 1)$, $(2, 4)$.
б)
Дана система уравнений:
$$ \begin{cases} 2x + y = 7, \\ \log_3(x^2 + 4x - 3) - \log_3 y = 1. \end{cases} $$
Определим область допустимых значений (ОДЗ):
$$ \begin{cases} x^2 + 4x - 3 > 0, \\ y > 0. \end{cases} $$
Из первого уравнения системы выразим $y$:
$2x + y = 7 \implies y = 7 - 2x$.
Подставим это выражение во второе уравнение системы:
$\log_3(x^2 + 4x - 3) - \log_3(7 - 2x) = 1$.
Используем свойство разности логарифмов:
$\log_3 \frac{x^2 + 4x - 3}{7 - 2x} = 1$.
По определению логарифма:
$\frac{x^2 + 4x - 3}{7 - 2x} = 3^1 = 3$.
Решим полученное уравнение:
$x^2 + 4x - 3 = 3(7 - 2x)$
$x^2 + 4x - 3 = 21 - 6x$
$x^2 + 10x - 24 = 0$.
Найдем корни этого квадратного уравнения, используя формулу для корней:
$D = b^2 - 4ac = 10^2 - 4(1)(-24) = 100 + 96 = 196 = 14^2$.
$x = \frac{-b \pm \sqrt{D}}{2a} = \frac{-10 \pm 14}{2}$.
$x_1 = \frac{-10 + 14}{2} = \frac{4}{2} = 2$.
$x_2 = \frac{-10 - 14}{2} = \frac{-24}{2} = -12$.
Проверим найденные корни на соответствие ОДЗ. Найдем соответствующие значения $y$:
1. Для $x_1 = 2$:
$y_1 = 7 - 2x_1 = 7 - 2(2) = 3$.
Проверяем условия ОДЗ для пары $(2, 3)$:
$y_1 = 3 > 0$ (верно).
$x_1^2 + 4x_1 - 3 = 2^2 + 4(2) - 3 = 4+8-3 = 9 > 0$ (верно).
Следовательно, пара $(2, 3)$ является решением.
2. Для $x_2 = -12$:
$y_2 = 7 - 2x_2 = 7 - 2(-12) = 7 + 24 = 31$.
Проверяем условия ОДЗ для пары $(-12, 31)$:
$y_2 = 31 > 0$ (верно).
$x_2^2 + 4x_2 - 3 = (-12)^2 + 4(-12) - 3 = 144 - 48 - 3 = 93 > 0$ (верно).
Следовательно, пара $(-12, 31)$ также является решением.
Ответ: $(2, 3)$, $(-12, 31)$.
Другие задания:
Помогло решение? Оставьте отзыв в комментариях ниже.
Мы подготовили для вас ответ c подробным объяснением домашего задания по алгебре за 10-11 класс, для упражнения номер 44.18 расположенного на странице 182 для 2-й части к задачнику 2019 года издания для учащихся школ и гимназий.
Теперь на нашем сайте ГДЗ.ТОП вы всегда легко и бесплатно найдёте условие с правильным ответом на вопрос «Как решить ДЗ» и «Как сделать» задание по алгебре к упражнению №44.18 (с. 182), авторов: Мордкович (Александр Григорьевич), Семенов (Павел Владимирович), Денищева (Лариса Олеговна), Корешкова (Т А), Мишустина (Татьяна Николаевна), Тульчинская (Елена Ефимовна), 2-й части ФГОС (старый) базовый уровень обучения учебного пособия издательства Мнемозина.