Номер 44.2, страница 180, часть 2 - гдз по алгебре 10-11 класс задачник Мордкович, Семенов


Авторы: Мордкович А. Г., Семенов П. В., Денищева Л. О., Корешкова Т. А., Мишустина Т. Н., Тульчинская Е. Е.
Тип: Задачник
Издательство: Мнемозина
Год издания: 2019 - 2025
Уровень обучения: базовый
Часть: 2
Цвет обложки:
ISBN: 978-5-346-04509-0 (общ.), 978-5-346-04510-6 (ч. 1), 978-5-346-04511-3 (ч. 2)
Рекомендовано Министерством образования и науки Российской Федерации
Математика: алгебра и начала математического анализа, геометрия
Популярные ГДЗ в 10 классе
§44. Логарифмические уравнения. Глава 7. Показательная и логарифмическая функции. ч. 2 - номер 44.2, страница 180.
№44.2 (с. 180)
Условие. №44.2 (с. 180)
скриншот условия

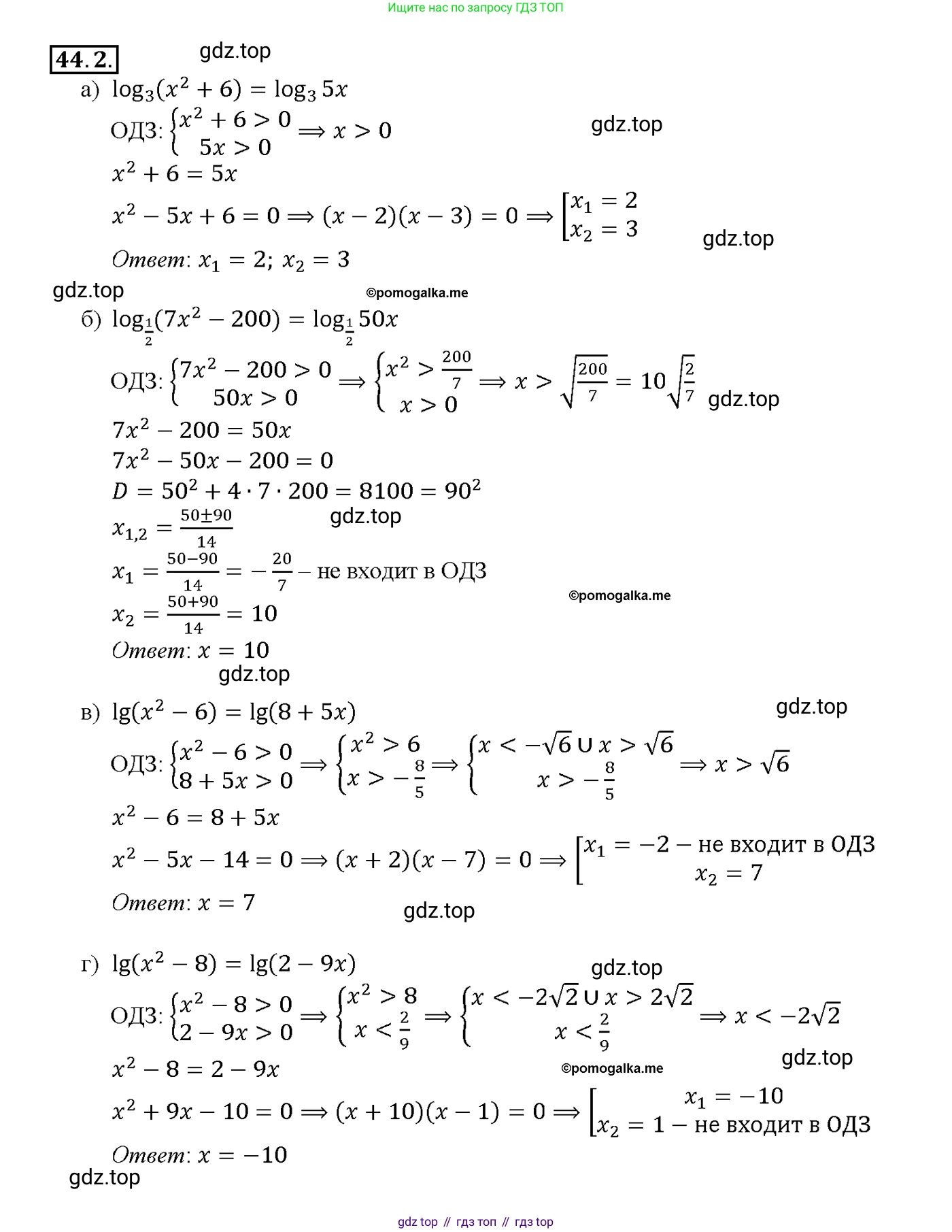
44.2 a) $\log_3(x^2 + 6) = \log_3 5x;$
Б) $\log_{\frac{1}{2}}(7x^2 - 200) = \log_{\frac{1}{2}} 50x;$
В) $\lg(x^2 - 6) = \lg(8 + 5x);$
Г) $\lg(x^2 - 8) = \lg(2 - 9x).$
Решение 1. №44.2 (с. 180)

Решение 2. №44.2 (с. 180)


Решение 5. №44.2 (с. 180)



Решение 6. №44.2 (с. 180)
а) $log_3(x^2 + 6) = log_3(5x)$
Так как основания логарифмов равны, приравниваем их аргументы. Уравнение равносильно системе, где мы должны учесть область допустимых значений (ОДЗ), а именно, что аргумент логарифма должен быть строго больше нуля.
$$ \begin{cases} x^2 + 6 = 5x, \\ 5x > 0. \end{cases} $$ Заметим, что условие $x^2 + 6 > 0$ выполняется для любого действительного числа $x$, так как $x^2 \ge 0$, а значит $x^2 + 6$ всегда положительно. Поэтому его можно не включать в систему.
Решим первое уравнение системы, которое является квадратным: $x^2 - 5x + 6 = 0$. По теореме Виета, сумма корней равна 5, а их произведение равно 6. Отсюда находим корни: $x_1 = 2$, $x_2 = 3$.
Теперь проверим, удовлетворяют ли найденные корни второму условию системы $5x > 0$, что эквивалентно $x > 0$.
При $x_1 = 2$: $2 > 0$. Корень подходит.
При $x_2 = 3$: $3 > 0$. Корень также подходит.
Ответ: 2; 3.
б) $log_{\frac{1}{2}}(7x^2 - 200) = log_{\frac{1}{2}}(50x)$
Данное уравнение равносильно системе: $$ \begin{cases} 7x^2 - 200 = 50x, \\ 50x > 0. \end{cases} $$ (Из равенства $7x^2 - 200 = 50x$ и условия $50x > 0$ автоматически следует, что $7x^2 - 200 > 0$, поэтому это условие можно не проверять отдельно).
Решим квадратное уравнение: $7x^2 - 50x - 200 = 0$. Вычислим дискриминант: $D = b^2 - 4ac = (-50)^2 - 4 \cdot 7 \cdot (-200) = 2500 + 5600 = 8100 = 90^2$. Найдем корни уравнения: $x_1 = \frac{50 - 90}{2 \cdot 7} = \frac{-40}{14} = -\frac{20}{7}$. $x_2 = \frac{50 + 90}{2 \cdot 7} = \frac{140}{14} = 10$.
Проверим найденные корни на соответствие условию $50x > 0$, то есть $x > 0$:
Корень $x_1 = -\frac{20}{7}$ не удовлетворяет условию $x > 0$, так как $-\frac{20}{7} < 0$. Это посторонний корень.
Корень $x_2 = 10$ удовлетворяет условию $x > 0$, так как $10 > 0$.
Ответ: 10.
в) $lg(x^2 - 6) = lg(8 + 5x)$
Уравнение равносильно системе: $$ \begin{cases} x^2 - 6 = 8 + 5x, \\ x^2 - 6 > 0, \\ 8 + 5x > 0. \end{cases} $$ Сначала решим уравнение: $x^2 - 5x - 14 = 0$. По теореме Виета, сумма корней равна 5, а произведение -14. Корни: $x_1 = 7$, $x_2 = -2$.
Теперь необходимо проверить найденные корни, подставив их в неравенства ОДЗ.
Проверка для $x_1 = 7$: $7^2 - 6 = 49 - 6 = 43 > 0$ (верно). $8 + 5 \cdot 7 = 8 + 35 = 43 > 0$ (верно). Следовательно, $x = 7$ является решением.
Проверка для $x_2 = -2$: $(-2)^2 - 6 = 4 - 6 = -2$. Так как $-2 < 0$, условие $x^2 - 6 > 0$ не выполняется. Следовательно, $x = -2$ является посторонним корнем.
Ответ: 7.
г) $lg(x^2 - 8) = lg(2 - 9x)$
Уравнение равносильно системе: $$ \begin{cases} x^2 - 8 = 2 - 9x, \\ x^2 - 8 > 0, \\ 2 - 9x > 0. \end{cases} $$ Решим уравнение из системы: $x^2 + 9x - 10 = 0$. По теореме Виета, сумма корней равна -9, а произведение -10. Корни: $x_1 = 1$, $x_2 = -10$.
Проверим найденные корни на соответствие условиям ОДЗ.
Проверка для $x_1 = 1$: $1^2 - 8 = 1 - 8 = -7$. Так как $-7 < 0$, условие $x^2 - 8 > 0$ не выполняется. Следовательно, $x = 1$ является посторонним корнем.
Проверка для $x_2 = -10$: $(-10)^2 - 8 = 100 - 8 = 92 > 0$ (верно). $2 - 9(-10) = 2 + 90 = 92 > 0$ (верно). Следовательно, $x = -10$ является решением.
Ответ: -10.
Другие задания:
Помогло решение? Оставьте отзыв в комментариях ниже.
Мы подготовили для вас ответ c подробным объяснением домашего задания по алгебре за 10-11 класс, для упражнения номер 44.2 расположенного на странице 180 для 2-й части к задачнику 2019 года издания для учащихся школ и гимназий.
Теперь на нашем сайте ГДЗ.ТОП вы всегда легко и бесплатно найдёте условие с правильным ответом на вопрос «Как решить ДЗ» и «Как сделать» задание по алгебре к упражнению №44.2 (с. 180), авторов: Мордкович (Александр Григорьевич), Семенов (Павел Владимирович), Денищева (Лариса Олеговна), Корешкова (Т А), Мишустина (Татьяна Николаевна), Тульчинская (Елена Ефимовна), 2-й части ФГОС (старый) базовый уровень обучения учебного пособия издательства Мнемозина.