Номер 44.6, страница 180, часть 2 - гдз по алгебре 10-11 класс задачник Мордкович, Семенов


Авторы: Мордкович А. Г., Семенов П. В., Денищева Л. О., Корешкова Т. А., Мишустина Т. Н., Тульчинская Е. Е.
Тип: Задачник
Издательство: Мнемозина
Год издания: 2019 - 2025
Уровень обучения: базовый
Часть: 2
Цвет обложки:
ISBN: 978-5-346-04509-0 (общ.), 978-5-346-04510-6 (ч. 1), 978-5-346-04511-3 (ч. 2)
Рекомендовано Министерством образования и науки Российской Федерации
Математика: алгебра и начала математического анализа, геометрия
Популярные ГДЗ в 10 классе
§44. Логарифмические уравнения. Глава 7. Показательная и логарифмическая функции. ч. 2 - номер 44.6, страница 180.
№44.6 (с. 180)
Условие. №44.6 (с. 180)
скриншот условия

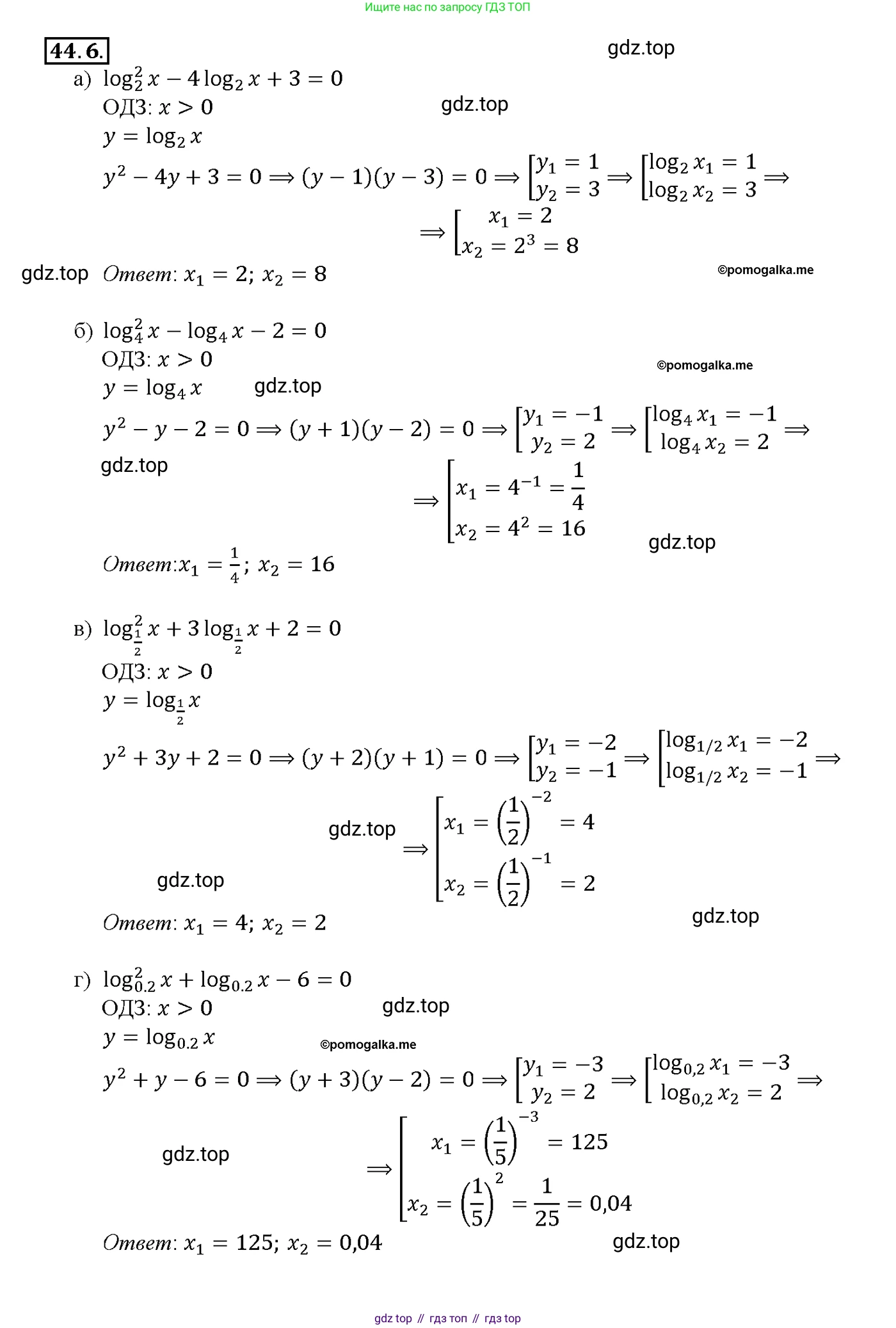
44.6 a) $\log_{2}^{2}x - 4\log_{2}x + 3 = 0;$
б) $\log_{4}^{2}x - \log_{4}x - 2 = 0;$
в) $\log_{\frac{1}{2}}^{2}x + 3\log_{\frac{1}{2}}x + 2 = 0;$
г) $\log_{0.2}^{2}x + \log_{0.2}x - 6 = 0.$
Решение 1. №44.6 (с. 180)

Решение 2. №44.6 (с. 180)


Решение 5. №44.6 (с. 180)



Решение 6. №44.6 (с. 180)
а) Исходное уравнение: $log_2^2 x - 4\log_2 x + 3 = 0$.
Данное уравнение является квадратным относительно $\log_2 x$. Область допустимых значений (ОДЗ) для логарифма: $x > 0$.
Сделаем замену переменной. Пусть $t = \log_2 x$. Тогда уравнение принимает вид: $t^2 - 4t + 3 = 0$.
Это приведенное квадратное уравнение. По теореме Виета, сумма корней $t_1 + t_2 = 4$, а их произведение $t_1 \cdot t_2 = 3$. Отсюда находим корни: $t_1 = 1$ и $t_2 = 3$.
Выполним обратную замену:
1) Если $t = 1$, то $\log_2 x = 1$, откуда $x = 2^1 = 2$.
2) Если $t = 3$, то $\log_2 x = 3$, откуда $x = 2^3 = 8$.
Оба корня $x=2$ и $x=8$ удовлетворяют ОДЗ ($x > 0$).
Ответ: $2; 8$.
б) Исходное уравнение: $\log_4^2 x - \log_4 x - 2 = 0$.
Это квадратное уравнение относительно $\log_4 x$. ОДЗ: $x > 0$.
Пусть $t = \log_4 x$. Уравнение преобразуется к виду: $t^2 - t - 2 = 0$.
Решим квадратное уравнение. По теореме Виета, $t_1 + t_2 = 1$ и $t_1 \cdot t_2 = -2$. Корни: $t_1 = 2$ и $t_2 = -1$.
Вернемся к исходной переменной:
1) Если $t = 2$, то $\log_4 x = 2$, откуда $x = 4^2 = 16$.
2) Если $t = -1$, то $\log_4 x = -1$, откуда $x = 4^{-1} = \frac{1}{4}$.
Оба корня $x=16$ и $x=1/4$ принадлежат ОДЗ.
Ответ: $\frac{1}{4}; 16$.
в) Исходное уравнение: $\log_{\frac{1}{2}}^2 x + 3\log_{\frac{1}{2}} x + 2 = 0$.
Уравнение является квадратным относительно $\log_{\frac{1}{2}} x$. ОДЗ: $x > 0$.
Введем замену $t = \log_{\frac{1}{2}} x$. Получим уравнение: $t^2 + 3t + 2 = 0$.
Корни этого уравнения по теореме Виета: $t_1 + t_2 = -3$ и $t_1 \cdot t_2 = 2$. Корни: $t_1 = -1$ и $t_2 = -2$.
Сделаем обратную замену:
1) Если $t = -1$, то $\log_{\frac{1}{2}} x = -1$, откуда $x = (\frac{1}{2})^{-1} = 2$.
2) Если $t = -2$, то $\log_{\frac{1}{2}} x = -2$, откуда $x = (\frac{1}{2})^{-2} = 2^2 = 4$.
Корни $x=2$ и $x=4$ удовлетворяют ОДЗ.
Ответ: $2; 4$.
г) Исходное уравнение: $\log_{0,2}^2 x + \log_{0,2} x - 6 = 0$.
Это квадратное уравнение относительно $\log_{0,2} x$. ОДЗ: $x > 0$.
Пусть $t = \log_{0,2} x$. Тогда получим: $t^2 + t - 6 = 0$.
По теореме Виета, $t_1 + t_2 = -1$ и $t_1 \cdot t_2 = -6$. Корни уравнения: $t_1 = 2$ и $t_2 = -3$.
Выполним обратную замену:
1) Если $t = 2$, то $\log_{0,2} x = 2$, откуда $x = (0,2)^2 = (\frac{1}{5})^2 = \frac{1}{25}$.
2) Если $t = -3$, то $\log_{0,2} x = -3$, откуда $x = (0,2)^{-3} = (\frac{1}{5})^{-3} = 5^3 = 125$.
Оба корня $x=1/25$ и $x=125$ удовлетворяют ОДЗ.
Ответ: $\frac{1}{25}; 125$.
Другие задания:
Помогло решение? Оставьте отзыв в комментариях ниже.
Мы подготовили для вас ответ c подробным объяснением домашего задания по алгебре за 10-11 класс, для упражнения номер 44.6 расположенного на странице 180 для 2-й части к задачнику 2019 года издания для учащихся школ и гимназий.
Теперь на нашем сайте ГДЗ.ТОП вы всегда легко и бесплатно найдёте условие с правильным ответом на вопрос «Как решить ДЗ» и «Как сделать» задание по алгебре к упражнению №44.6 (с. 180), авторов: Мордкович (Александр Григорьевич), Семенов (Павел Владимирович), Денищева (Лариса Олеговна), Корешкова (Т А), Мишустина (Татьяна Николаевна), Тульчинская (Елена Ефимовна), 2-й части ФГОС (старый) базовый уровень обучения учебного пособия издательства Мнемозина.