Номер 44.5, страница 180, часть 2 - гдз по алгебре 10-11 класс задачник Мордкович, Семенов


Авторы: Мордкович А. Г., Семенов П. В., Денищева Л. О., Корешкова Т. А., Мишустина Т. Н., Тульчинская Е. Е.
Тип: Задачник
Издательство: Мнемозина
Год издания: 2019 - 2025
Уровень обучения: базовый
Часть: 2
Цвет обложки:
ISBN: 978-5-346-04509-0 (общ.), 978-5-346-04510-6 (ч. 1), 978-5-346-04511-3 (ч. 2)
Рекомендовано Министерством образования и науки Российской Федерации
Математика: алгебра и начала математического анализа, геометрия
Популярные ГДЗ в 10 классе
§44. Логарифмические уравнения. Глава 7. Показательная и логарифмическая функции. ч. 2 - номер 44.5, страница 180.
№44.5 (с. 180)
Условие. №44.5 (с. 180)
скриншот условия

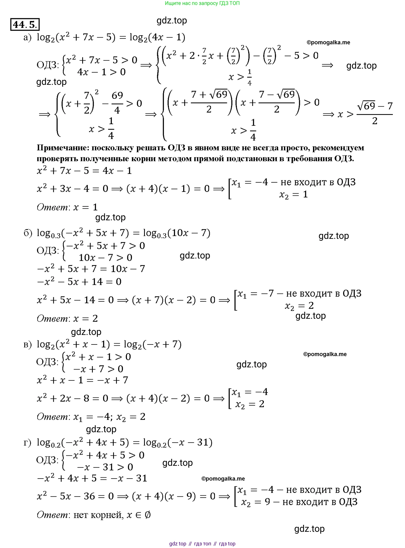
44.5 a) $log_2(x^2 + 7x - 5) = log_2(4x - 1);$
б) $log_{0,3}(-x^2 + 5x + 7) = log_{0,3}(10x - 7);$
в) $log_2(x^2 + x - 1) = log_2(-x + 7);$
г) $log_{0,2}(-x^2 + 4x + 5) = log_{0,2}(-x - 31).$
Решение 1. №44.5 (с. 180)

Решение 2. №44.5 (с. 180)


Решение 5. №44.5 (с. 180)



Решение 6. №44.5 (с. 180)
а) $ \log_2(x^2 + 7x - 5) = \log_2(4x - 1) $
Уравнение вида $ \log_a(f(x)) = \log_a(g(x)) $ равносильно системе, состоящей из уравнения $ f(x) = g(x) $ и одного из неравенств $ f(x) > 0 $ или $ g(x) > 0 $ (выбираем то, которое проще решать). Таким образом, данное уравнение равносильно системе:
$ \begin{cases} x^2 + 7x - 5 = 4x - 1 \\ 4x - 1 > 0 \end{cases} $
Сначала решим уравнение:
$ x^2 + 7x - 5 - 4x + 1 = 0 $
$ x^2 + 3x - 4 = 0 $
По теореме Виета, сумма корней равна $ -3 $, а их произведение равно $ -4 $. Корни уравнения: $ x_1 = 1 $ и $ x_2 = -4 $.
Теперь проверим, удовлетворяют ли найденные корни неравенству $ 4x - 1 > 0 $, то есть $ x > \frac{1}{4} $.
При $ x_1 = 1 $: $ 1 > \frac{1}{4} $. Это верное неравенство, значит, корень подходит.
При $ x_2 = -4 $: $ -4 > \frac{1}{4} $. Это неверное неравенство, значит, корень является посторонним.
Ответ: $ 1 $
б) $ \log_{0,3}(-x^2 + 5x + 7) = \log_{0,3}(10x - 7) $
Уравнение равносильно системе:
$ \begin{cases} -x^2 + 5x + 7 = 10x - 7 \\ 10x - 7 > 0 \end{cases} $
Решим уравнение:
$ -x^2 + 5x + 7 - 10x + 7 = 0 $
$ -x^2 - 5x + 14 = 0 $
Умножим обе части на $ -1 $:
$ x^2 + 5x - 14 = 0 $
По теореме Виета, сумма корней равна $ -5 $, а их произведение равно $ -14 $. Корни уравнения: $ x_1 = 2 $ и $ x_2 = -7 $.
Проверим корни по условию $ 10x - 7 > 0 $, то есть $ x > 0,7 $.
При $ x_1 = 2 $: $ 2 > 0,7 $. Это верно, корень подходит.
При $ x_2 = -7 $: $ -7 > 0,7 $. Это неверно, корень посторонний.
Ответ: $ 2 $
в) $ \log_2(x^2 + x - 1) = \log_2(-x + 7) $
Уравнение равносильно системе:
$ \begin{cases} x^2 + x - 1 = -x + 7 \\ -x + 7 > 0 \end{cases} $
Решим уравнение:
$ x^2 + x - 1 + x - 7 = 0 $
$ x^2 + 2x - 8 = 0 $
По теореме Виета, сумма корней равна $ -2 $, а их произведение равно $ -8 $. Корни уравнения: $ x_1 = 2 $ и $ x_2 = -4 $.
Проверим корни по условию $ -x + 7 > 0 $, то есть $ x < 7 $.
При $ x_1 = 2 $: $ 2 < 7 $. Это верно, корень подходит.
При $ x_2 = -4 $: $ -4 < 7 $. Это верно, корень также подходит.
Ответ: $ -4; 2 $
г) $ \log_{0,2}(-x^2 + 4x + 5) = \log_{0,2}(-x - 31) $
Уравнение равносильно системе:
$ \begin{cases} -x^2 + 4x + 5 = -x - 31 \\ -x - 31 > 0 \end{cases} $
Решим уравнение:
$ -x^2 + 4x + 5 + x + 31 = 0 $
$ -x^2 + 5x + 36 = 0 $
Умножим обе части на $ -1 $:
$ x^2 - 5x - 36 = 0 $
По теореме Виета, сумма корней равна $ 5 $, а их произведение равно $ -36 $. Корни уравнения: $ x_1 = 9 $ и $ x_2 = -4 $.
Проверим корни по условию $ -x - 31 > 0 $, то есть $ -x > 31 $, или $ x < -31 $.
При $ x_1 = 9 $: $ 9 < -31 $. Это неверно, корень не подходит.
При $ x_2 = -4 $: $ -4 < -31 $. Это неверно, корень также не подходит.
Так как ни один из найденных корней не удовлетворяет области определения логарифмов, уравнение не имеет решений.
Ответ: корней нет
Другие задания:
Помогло решение? Оставьте отзыв в комментариях ниже.
Мы подготовили для вас ответ c подробным объяснением домашего задания по алгебре за 10-11 класс, для упражнения номер 44.5 расположенного на странице 180 для 2-й части к задачнику 2019 года издания для учащихся школ и гимназий.
Теперь на нашем сайте ГДЗ.ТОП вы всегда легко и бесплатно найдёте условие с правильным ответом на вопрос «Как решить ДЗ» и «Как сделать» задание по алгебре к упражнению №44.5 (с. 180), авторов: Мордкович (Александр Григорьевич), Семенов (Павел Владимирович), Денищева (Лариса Олеговна), Корешкова (Т А), Мишустина (Татьяна Николаевна), Тульчинская (Елена Ефимовна), 2-й части ФГОС (старый) базовый уровень обучения учебного пособия издательства Мнемозина.