Номер 44.7, страница 180, часть 2 - гдз по алгебре 10-11 класс задачник Мордкович, Семенов


Авторы: Мордкович А. Г., Семенов П. В., Денищева Л. О., Корешкова Т. А., Мишустина Т. Н., Тульчинская Е. Е.
Тип: Задачник
Издательство: Мнемозина
Год издания: 2019 - 2025
Уровень обучения: базовый
Часть: 2
Цвет обложки:
ISBN: 978-5-346-04509-0 (общ.), 978-5-346-04510-6 (ч. 1), 978-5-346-04511-3 (ч. 2)
Рекомендовано Министерством образования и науки Российской Федерации
Математика: алгебра и начала математического анализа, геометрия
Популярные ГДЗ в 10 классе
§44. Логарифмические уравнения. Глава 7. Показательная и логарифмическая функции. ч. 2 - номер 44.7, страница 180.
№44.7 (с. 180)
Условие. №44.7 (с. 180)
скриншот условия

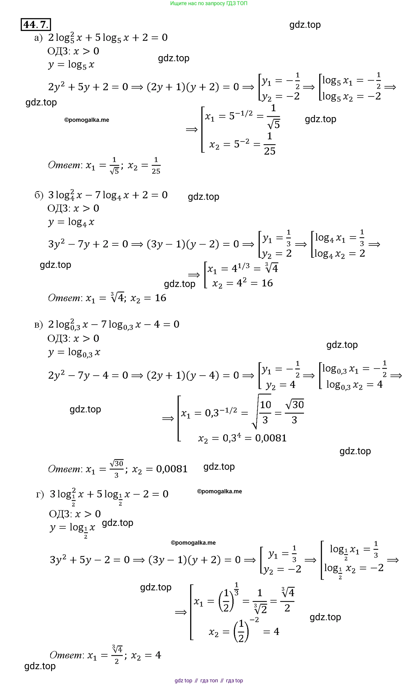
44.7 a) $2 \log_5^2 x + 5 \log_5 x + 2 = 0;$
б) $3 \log_4^2 x - 7 \log_4 x + 2 = 0;$
в) $2 \log_{0.3}^2 x - 7 \log_{0.3} x - 4 = 0;$
г) $3 \log_{\frac{1}{2}}^2 x + 5 \log_{\frac{1}{2}} x - 2 = 0.$
Решение 1. №44.7 (с. 180)

Решение 2. №44.7 (с. 180)



Решение 5. №44.7 (с. 180)



Решение 6. №44.7 (с. 180)
а) $2\log_5^2 x + 5\log_5 x + 2 = 0$
Область допустимых значений (ОДЗ): $x > 0$.
Это квадратное уравнение относительно $\log_5 x$. Сделаем замену переменной: пусть $t = \log_5 x$.
Уравнение примет вид: $2t^2 + 5t + 2 = 0$.
Решим это квадратное уравнение. Найдем дискриминант:
$D = 5^2 - 4 \cdot 2 \cdot 2 = 25 - 16 = 9$.
Корни уравнения для $t$:
$t_1 = \frac{-5 - \sqrt{9}}{2 \cdot 2} = \frac{-5 - 3}{4} = -2$.
$t_2 = \frac{-5 + \sqrt{9}}{2 \cdot 2} = \frac{-5 + 3}{4} = -\frac{1}{2}$.
Выполним обратную замену:
1) $\log_5 x = -2 \implies x_1 = 5^{-2} = \frac{1}{25}$.
2) $\log_5 x = -\frac{1}{2} \implies x_2 = 5^{-1/2} = \frac{1}{\sqrt{5}}$.
Оба корня положительны и удовлетворяют ОДЗ.
Ответ: $\frac{1}{25}; \frac{1}{\sqrt{5}}$.
б) $3\log_4^2 x - 7\log_4 x + 2 = 0$
ОДЗ: $x > 0$.
Сделаем замену переменной: пусть $t = \log_4 x$.
Уравнение примет вид: $3t^2 - 7t + 2 = 0$.
Решим это квадратное уравнение. Найдем дискриминант:
$D = (-7)^2 - 4 \cdot 3 \cdot 2 = 49 - 24 = 25$.
Корни уравнения для $t$:
$t_1 = \frac{7 - \sqrt{25}}{2 \cdot 3} = \frac{7 - 5}{6} = \frac{2}{6} = \frac{1}{3}$.
$t_2 = \frac{7 + \sqrt{25}}{2 \cdot 3} = \frac{7 + 5}{6} = \frac{12}{6} = 2$.
Выполним обратную замену:
1) $\log_4 x = \frac{1}{3} \implies x_1 = 4^{1/3} = \sqrt[3]{4}$.
2) $\log_4 x = 2 \implies x_2 = 4^2 = 16$.
Оба корня положительны и удовлетворяют ОДЗ.
Ответ: $\sqrt[3]{4}; 16$.
в) $2\log_{0,3}^2 x - 7\log_{0,3} x - 4 = 0$
ОДЗ: $x > 0$.
Сделаем замену переменной: пусть $t = \log_{0,3} x$.
Уравнение примет вид: $2t^2 - 7t - 4 = 0$.
Решим это квадратное уравнение. Найдем дискриминант:
$D = (-7)^2 - 4 \cdot 2 \cdot (-4) = 49 + 32 = 81$.
Корни уравнения для $t$:
$t_1 = \frac{7 - \sqrt{81}}{2 \cdot 2} = \frac{7 - 9}{4} = -\frac{2}{4} = -\frac{1}{2}$.
$t_2 = \frac{7 + \sqrt{81}}{2 \cdot 2} = \frac{7 + 9}{4} = \frac{16}{4} = 4$.
Выполним обратную замену:
1) $\log_{0,3} x = -\frac{1}{2} \implies x_1 = (0,3)^{-1/2} = (\frac{3}{10})^{-1/2} = (\frac{10}{3})^{1/2} = \sqrt{\frac{10}{3}}$.
2) $\log_{0,3} x = 4 \implies x_2 = (0,3)^4 = (\frac{3}{10})^4 = \frac{81}{10000} = 0,0081$.
Оба корня положительны и удовлетворяют ОДЗ.
Ответ: $\sqrt{\frac{10}{3}}; 0,0081$.
г) $3\log_{\frac{1}{2}}^2 x + 5\log_{\frac{1}{2}} x - 2 = 0$
ОДЗ: $x > 0$.
Сделаем замену переменной: пусть $t = \log_{\frac{1}{2}} x$.
Уравнение примет вид: $3t^2 + 5t - 2 = 0$.
Решим это квадратное уравнение. Найдем дискриминант:
$D = 5^2 - 4 \cdot 3 \cdot (-2) = 25 + 24 = 49$.
Корни уравнения для $t$:
$t_1 = \frac{-5 - \sqrt{49}}{2 \cdot 3} = \frac{-5 - 7}{6} = \frac{-12}{6} = -2$.
$t_2 = \frac{-5 + \sqrt{49}}{2 \cdot 3} = \frac{-5 + 7}{6} = \frac{2}{6} = \frac{1}{3}$.
Выполним обратную замену:
1) $\log_{\frac{1}{2}} x = -2 \implies x_1 = (\frac{1}{2})^{-2} = 2^2 = 4$.
2) $\log_{\frac{1}{2}} x = \frac{1}{3} \implies x_2 = (\frac{1}{2})^{1/3} = \sqrt[3]{\frac{1}{2}}$.
Оба корня положительны и удовлетворяют ОДЗ.
Ответ: $4; \sqrt[3]{\frac{1}{2}}$.
Другие задания:
Помогло решение? Оставьте отзыв в комментариях ниже.
Мы подготовили для вас ответ c подробным объяснением домашего задания по алгебре за 10-11 класс, для упражнения номер 44.7 расположенного на странице 180 для 2-й части к задачнику 2019 года издания для учащихся школ и гимназий.
Теперь на нашем сайте ГДЗ.ТОП вы всегда легко и бесплатно найдёте условие с правильным ответом на вопрос «Как решить ДЗ» и «Как сделать» задание по алгебре к упражнению №44.7 (с. 180), авторов: Мордкович (Александр Григорьевич), Семенов (Павел Владимирович), Денищева (Лариса Олеговна), Корешкова (Т А), Мишустина (Татьяна Николаевна), Тульчинская (Елена Ефимовна), 2-й части ФГОС (старый) базовый уровень обучения учебного пособия издательства Мнемозина.