Номер 59.4, страница 230, часть 2 - гдз по алгебре 10-11 класс задачник Мордкович, Семенов


Авторы: Мордкович А. Г., Семенов П. В., Денищева Л. О., Корешкова Т. А., Мишустина Т. Н., Тульчинская Е. Е.
Тип: Задачник
Издательство: Мнемозина
Год издания: 2019 - 2025
Уровень обучения: базовый
Часть: 2
Цвет обложки:
ISBN: 978-5-346-04509-0 (общ.), 978-5-346-04510-6 (ч. 1), 978-5-346-04511-3 (ч. 2)
Рекомендовано Министерством образования и науки Российской Федерации
Математика: алгебра и начала математического анализа, геометрия
Популярные ГДЗ в 10 классе
§59. Системы уравнений. Глава 10. Уравнения и неравенства. Системы уравнений и неравенств. ч. 2 - номер 59.4, страница 230.
№59.4 (с. 230)
Условие. №59.4 (с. 230)
скриншот условия

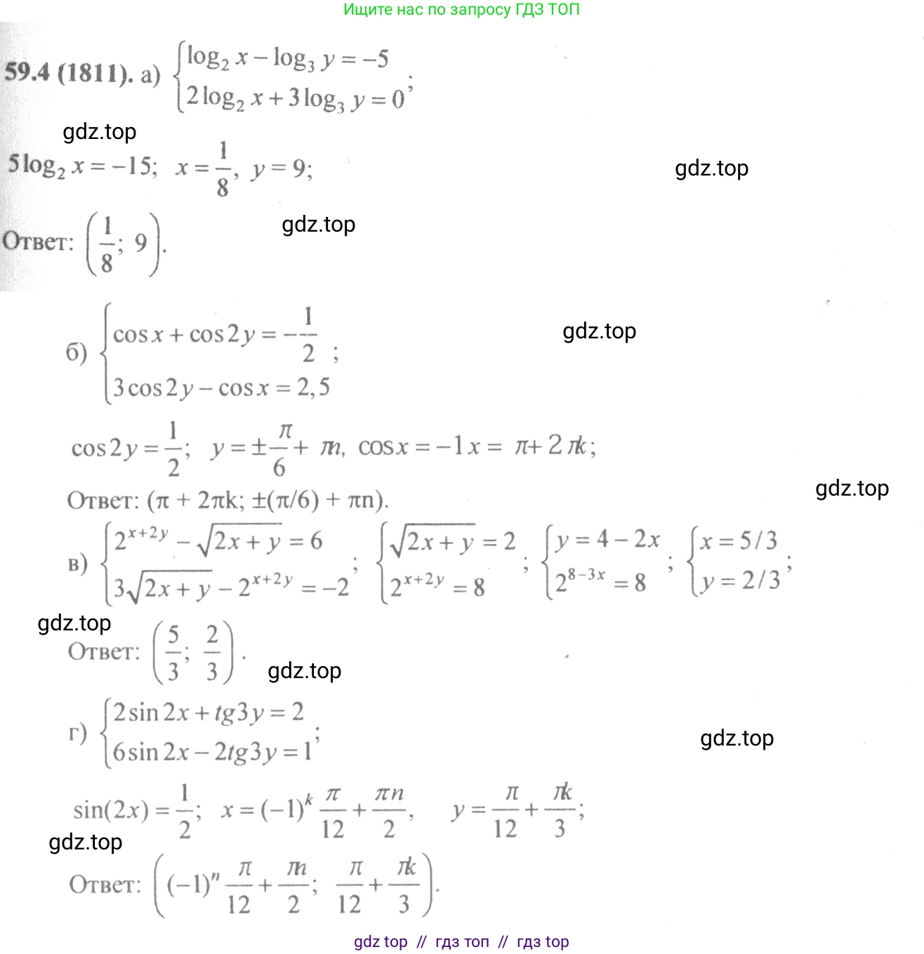
59.4 a) $\begin{cases} \log_2 x - \log_3 y = -5, \\ 2 \log_2 x + 3 \log_3 y = 0; \end{cases}$
б) $\begin{cases} \cos x + \cos 2y = -0.5, \\ 3 \cos 2y - \cos x = 2.5; \end{cases}$
в) $\begin{cases} 2^{2x+2y} - \sqrt{2x+y} = 6, \\ 3\sqrt{2x+y} - 2^{2x+2y} = -2; \end{cases}$
г) $\begin{cases} 2 \sin 2x + \operatorname{tg} 3y = 2, \\ 6 \sin 2x - 2 \operatorname{tg} 3y = 1. \end{cases}$
Решение 1. №59.4 (с. 230)

Решение 2. №59.4 (с. 230)


Решение 5. №59.4 (с. 230)



Решение 6. №59.4 (с. 230)
а)Исходная система уравнений:$ \begin{cases} \log_2 x - \log_3 y = -5, \\ 2 \log_2 x + 3 \log_3 y = 0; \end{cases} $
Эта система является линейной относительно $\log_2 x$ и $\log_3 y$. Введем замену переменных. Пусть $u = \log_2 x$ и $v = \log_3 y$. Тогда система примет вид:$ \begin{cases} u - v = -5, \\ 2u + 3v = 0; \end{cases} $
Из первого уравнения выразим $u$: $u = v - 5$.
Подставим это выражение во второе уравнение:
$2(v - 5) + 3v = 0$
$2v - 10 + 3v = 0$
$5v = 10$
$v = 2$
Теперь найдем $u$:
$u = 2 - 5 = -3$
Вернемся к исходным переменным $x$ и $y$:
$\log_2 x = u \implies \log_2 x = -3 \implies x = 2^{-3} = \frac{1}{8}$
$\log_3 y = v \implies \log_3 y = 2 \implies y = 3^2 = 9$
Проверим область допустимых значений логарифмов: $x > 0$ и $y > 0$. Найденные значения $x = \frac{1}{8}$ и $y = 9$ удовлетворяют этим условиям.
Ответ: $(\frac{1}{8}; 9)$.
б)Исходная система уравнений:$ \begin{cases} \cos x + \cos 2y = -0,5, \\ 3 \cos 2y - \cos x = 2,5; \end{cases} $
Эта система является линейной относительно $\cos x$ и $\cos 2y$. Введем замену переменных. Пусть $a = \cos x$ и $b = \cos 2y$. Система примет вид:$ \begin{cases} a + b = -0,5, \\ -a + 3b = 2,5; \end{cases} $
Сложим первое и второе уравнения системы:
$(a + b) + (-a + 3b) = -0,5 + 2,5$
$4b = 2$
$b = 0,5$
Подставим найденное значение $b$ в первое уравнение:
$a + 0,5 = -0,5$
$a = -1$
Вернемся к исходным переменным:
$\cos x = a \implies \cos x = -1$
$\cos 2y = b \implies \cos 2y = 0,5$
Решим полученные тригонометрические уравнения:
Из $\cos x = -1$ получаем $x = \pi + 2\pi k$, где $k \in \mathbb{Z}$.
Из $\cos 2y = 0,5$ (что равно $\frac{1}{2}$) получаем $2y = \pm \frac{\pi}{3} + 2\pi n$, где $n \in \mathbb{Z}$.
Разделив на 2, находим $y$: $y = \pm \frac{\pi}{6} + \pi n$, где $n \in \mathbb{Z}$.
Ответ: $x = \pi + 2\pi k, y = \pm \frac{\pi}{6} + \pi n$, где $k, n \in \mathbb{Z}$.
в)Исходная система уравнений:$ \begin{cases} 2^{x+2y} - \sqrt{2x+y} = 6, \\ 3\sqrt{2x+y} - 2^{x+2y} = -2; \end{cases} $
Введем замену переменных. Пусть $a = 2^{x+2y}$ и $b = \sqrt{2x+y}$. Заметим, что по определению показательной функции $a>0$ и по определению арифметического корня $b \ge 0$. Система примет вид:$ \begin{cases} a - b = 6, \\ -a + 3b = -2; \end{cases} $
Сложим уравнения системы:
$(a - b) + (-a + 3b) = 6 - 2$
$2b = 4$
$b = 2$
Подставим $b=2$ в первое уравнение:
$a - 2 = 6$
$a = 8$
Найденные значения $a=8$ и $b=2$ удовлетворяют условиям $a>0$ и $b \ge 0$.
Вернемся к исходным переменным:
$2^{x+2y} = 8 \implies 2^{x+2y} = 2^3 \implies x + 2y = 3$
$\sqrt{2x+y} = 2 \implies 2x+y = 2^2 \implies 2x+y = 4$
Получили новую систему линейных уравнений для $x$ и $y$:$ \begin{cases} x + 2y = 3, \\ 2x + y = 4; \end{cases} $
Из первого уравнения выразим $x$: $x = 3 - 2y$.
Подставим во второе уравнение:
$2(3 - 2y) + y = 4$
$6 - 4y + y = 4$
$6 - 3y = 4$
$3y = 2 \implies y = \frac{2}{3}$
Теперь найдем $x$:
$x = 3 - 2 \cdot \frac{2}{3} = 3 - \frac{4}{3} = \frac{9}{3} - \frac{4}{3} = \frac{5}{3}$
Проверим ОДЗ для корня: $2x+y \ge 0$.
$2(\frac{5}{3}) + \frac{2}{3} = \frac{10}{3} + \frac{2}{3} = \frac{12}{3} = 4 \ge 0$. Условие выполнено.
Ответ: $(\frac{5}{3}; \frac{2}{3})$.
г)Исходная система уравнений:$ \begin{cases} 2 \sin 2x + \tg 3y = 2, \\ 6 \sin 2x - 2 \tg 3y = 1; \end{cases} $
Эта система является линейной относительно $\sin 2x$ и $\tg 3y$. Введем замену переменных. Пусть $a = \sin 2x$ и $b = \tg 3y$. Система примет вид:$ \begin{cases} 2a + b = 2, \\ 6a - 2b = 1; \end{cases} $
Умножим первое уравнение на 2:
$4a + 2b = 4$
Сложим полученное уравнение со вторым уравнением исходной системы:
$(4a + 2b) + (6a - 2b) = 4 + 1$
$10a = 5$
$a = 0,5$
Подставим $a=0,5$ в первое уравнение $2a+b=2$:
$2(0,5) + b = 2$
$1 + b = 2$
$b = 1$
Вернемся к исходным переменным:
$\sin 2x = a \implies \sin 2x = 0,5$
$\tg 3y = b \implies \tg 3y = 1$
Решим полученные тригонометрические уравнения.
Из $\sin 2x = 0,5$ (что равно $\frac{1}{2}$) получаем $2x = (-1)^k \frac{\pi}{6} + \pi k$, где $k \in \mathbb{Z}$.
Отсюда $x = (-1)^k \frac{\pi}{12} + \frac{\pi k}{2}$, где $k \in \mathbb{Z}$.
Из $\tg 3y = 1$ получаем $3y = \frac{\pi}{4} + \pi n$, где $n \in \mathbb{Z}$.
Отсюда $y = \frac{\pi}{12} + \frac{\pi n}{3}$, где $n \in \mathbb{Z}$.
Условие существования тангенса $\cos 3y \ne 0$, т.е. $3y \ne \frac{\pi}{2} + \pi m$. Наши решения $3y = \frac{\pi}{4} + \pi n$ не совпадают с запрещенными значениями, так что ОДЗ выполняется.
Ответ: $x = (-1)^k \frac{\pi}{12} + \frac{\pi k}{2}, y = \frac{\pi}{12} + \frac{\pi n}{3}$, где $k, n \in \mathbb{Z}$.
Другие задания:
Помогло решение? Оставьте отзыв в комментариях ниже.
Мы подготовили для вас ответ c подробным объяснением домашего задания по алгебре за 10-11 класс, для упражнения номер 59.4 расположенного на странице 230 для 2-й части к задачнику 2019 года издания для учащихся школ и гимназий.
Теперь на нашем сайте ГДЗ.ТОП вы всегда легко и бесплатно найдёте условие с правильным ответом на вопрос «Как решить ДЗ» и «Как сделать» задание по алгебре к упражнению №59.4 (с. 230), авторов: Мордкович (Александр Григорьевич), Семенов (Павел Владимирович), Денищева (Лариса Олеговна), Корешкова (Т А), Мишустина (Татьяна Николаевна), Тульчинская (Елена Ефимовна), 2-й части ФГОС (старый) базовый уровень обучения учебного пособия издательства Мнемозина.