Страница 230, часть 1 - гдз по алгебре 10-11 класс задачник часть 1, 2 Мордкович, Семенов

Авторы: Мордкович А. Г., Семенов П. В., Денищева Л. О., Корешкова Т. А., Мишустина Т. Н., Тульчинская Е. Е.
Тип: Задачник
Издательство: Мнемозина
Год издания: 2019 - 2025
Уровень обучения: базовый
Часть: 1
Цвет обложки:
ISBN: 978-5-346-04509-0 (общ.), 978-5-346-04510-6 (ч. 1), 978-5-346-04511-3 (ч. 2)
Рекомендовано Министерством образования и науки Российской Федерации
Математика: алгебра и начала математического анализа, геометрия
Популярные ГДЗ в 10 классе
ч. 1. Cтраница 230

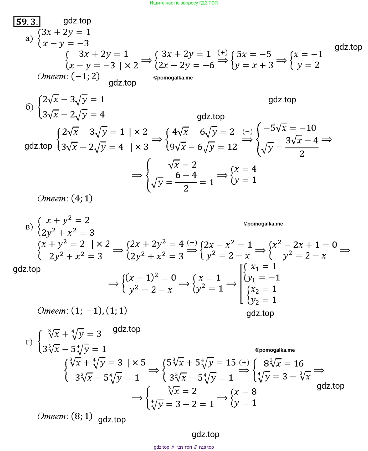
№59.3 (с. 230)
Условие. №59.3 (с. 230)
скриншот условия

Решите систему уравнений методом алгебраического сложения:
59.3 a) $ \begin{cases} 3x + 2y = 1, \\ x - y = -3; \end{cases} $
б) $ \begin{cases} 2\sqrt{x} - 3\sqrt{y} = 1, \\ 3\sqrt{x} - 2\sqrt{y} = 4; \end{cases} $
в) $ \begin{cases} x + y^2 = 2, \\ 2y^2 + x^2 = 3; \end{cases} $
г) $ \begin{cases} \sqrt[3]{x} + \sqrt[4]{y} = 3, \\ 3\sqrt[3]{x} - 5\sqrt[4]{y} = 1. \end{cases} $
Решение 1. №59.3 (с. 230)

Решение 2. №59.3 (с. 230)


Решение 5. №59.3 (с. 230)



Решение 6. №59.3 (с. 230)
а)
Дана система уравнений: $ \begin{cases} 3x + 2y = 1, \\ x - y = -3. \end{cases} $
Для использования метода алгебраического сложения, умножим второе уравнение на 2, чтобы коэффициенты при переменной $y$ стали противоположными по знаку:
$2(x - y) = 2(-3) \implies 2x - 2y = -6$.
Теперь сложим почленно первое уравнение исходной системы и преобразованное второе уравнение:
$(3x + 2y) + (2x - 2y) = 1 + (-6)$
$5x = -5$
$x = -1$
Подставим найденное значение $x = -1$ во второе уравнение исходной системы ($x - y = -3$):
$-1 - y = -3$
$-y = -3 + 1$
$-y = -2 \implies y = 2$.
Ответ: $(-1; 2)$.
б)
Дана система уравнений: $ \begin{cases} 2\sqrt{x} - 3\sqrt{y} = 1, \\ 3\sqrt{x} - 2\sqrt{y} = 4. \end{cases} $
Введем замену переменных: пусть $u = \sqrt{x}$ и $v = \sqrt{y}$, где $u \ge 0$ и $v \ge 0$. Система примет вид:
$ \begin{cases} 2u - 3v = 1, \\ 3u - 2v = 4. \end{cases} $
Умножим первое уравнение на 3, а второе на -2:
$ \begin{cases} 6u - 9v = 3, \\ -6u + 4v = -8. \end{cases} $
Сложим уравнения полученной системы:
$(6u - 9v) + (-6u + 4v) = 3 + (-8)$
$-5v = -5 \implies v = 1$.
Подставим $v = 1$ в первое уравнение для $u$ и $v$ ($2u - 3v = 1$):
$2u - 3(1) = 1 \implies 2u = 4 \implies u = 2$.
Выполним обратную замену:
$\sqrt{x} = u = 2 \implies x = 4$.
$\sqrt{y} = v = 1 \implies y = 1$.
Ответ: $(4; 1)$.
в)
Дана система уравнений: $ \begin{cases} x + y^2 = 2, \\ 2y^2 + x^2 = 3. \end{cases} $
Умножим первое уравнение на -2, чтобы при сложении с другим уравнением сократить члены с $y^2$:
$-2(x + y^2) = -2(2) \implies -2x - 2y^2 = -4$.
Сложим полученное уравнение со вторым уравнением исходной системы:
$(-2x - 2y^2) + (x^2 + 2y^2) = -4 + 3$
$x^2 - 2x = -1$
$x^2 - 2x + 1 = 0$
Полученное уравнение является полным квадратом: $(x-1)^2 = 0$, откуда $x = 1$.
Подставим $x = 1$ в первое уравнение исходной системы ($x + y^2 = 2$):
$1 + y^2 = 2 \implies y^2 = 1$.
Это уравнение имеет два корня: $y = 1$ и $y = -1$.
Таким образом, система имеет два решения.
Ответ: $(1; 1)$, $(1; -1)$.
г)
Дана система уравнений: $ \begin{cases} \sqrt[3]{x} + \sqrt[4]{y} = 3, \\ 3\sqrt[3]{x} - 5\sqrt[4]{y} = 1. \end{cases} $
Введем замену переменных: пусть $u = \sqrt[3]{x}$ и $v = \sqrt[4]{y}$, где $v \ge 0$. Система примет вид:
$ \begin{cases} u + v = 3, \\ 3u - 5v = 1. \end{cases} $
Умножим первое уравнение на -3:
$-3(u + v) = -3(3) \implies -3u - 3v = -9$.
Сложим полученное уравнение со вторым уравнением системы для $u$ и $v$:
$(-3u - 3v) + (3u - 5v) = -9 + 1$
$-8v = -8 \implies v = 1$.
Подставим $v = 1$ в уравнение $u+v=3$:
$u + 1 = 3 \implies u = 2$.
Выполним обратную замену:
$\sqrt[3]{x} = u = 2 \implies x = 2^3 = 8$.
$\sqrt[4]{y} = v = 1 \implies y = 1^4 = 1$.
Ответ: $(8; 1)$.
№59.4 (с. 230)
Условие. №59.4 (с. 230)
скриншот условия

59.4 a) $\begin{cases} \log_2 x - \log_3 y = -5, \\ 2 \log_2 x + 3 \log_3 y = 0; \end{cases}$
б) $\begin{cases} \cos x + \cos 2y = -0.5, \\ 3 \cos 2y - \cos x = 2.5; \end{cases}$
в) $\begin{cases} 2^{2x+2y} - \sqrt{2x+y} = 6, \\ 3\sqrt{2x+y} - 2^{2x+2y} = -2; \end{cases}$
г) $\begin{cases} 2 \sin 2x + \operatorname{tg} 3y = 2, \\ 6 \sin 2x - 2 \operatorname{tg} 3y = 1. \end{cases}$
Решение 1. №59.4 (с. 230)

Решение 2. №59.4 (с. 230)


Решение 5. №59.4 (с. 230)



Решение 6. №59.4 (с. 230)
а)Исходная система уравнений:$ \begin{cases} \log_2 x - \log_3 y = -5, \\ 2 \log_2 x + 3 \log_3 y = 0; \end{cases} $
Эта система является линейной относительно $\log_2 x$ и $\log_3 y$. Введем замену переменных. Пусть $u = \log_2 x$ и $v = \log_3 y$. Тогда система примет вид:$ \begin{cases} u - v = -5, \\ 2u + 3v = 0; \end{cases} $
Из первого уравнения выразим $u$: $u = v - 5$.
Подставим это выражение во второе уравнение:
$2(v - 5) + 3v = 0$
$2v - 10 + 3v = 0$
$5v = 10$
$v = 2$
Теперь найдем $u$:
$u = 2 - 5 = -3$
Вернемся к исходным переменным $x$ и $y$:
$\log_2 x = u \implies \log_2 x = -3 \implies x = 2^{-3} = \frac{1}{8}$
$\log_3 y = v \implies \log_3 y = 2 \implies y = 3^2 = 9$
Проверим область допустимых значений логарифмов: $x > 0$ и $y > 0$. Найденные значения $x = \frac{1}{8}$ и $y = 9$ удовлетворяют этим условиям.
Ответ: $(\frac{1}{8}; 9)$.
б)Исходная система уравнений:$ \begin{cases} \cos x + \cos 2y = -0,5, \\ 3 \cos 2y - \cos x = 2,5; \end{cases} $
Эта система является линейной относительно $\cos x$ и $\cos 2y$. Введем замену переменных. Пусть $a = \cos x$ и $b = \cos 2y$. Система примет вид:$ \begin{cases} a + b = -0,5, \\ -a + 3b = 2,5; \end{cases} $
Сложим первое и второе уравнения системы:
$(a + b) + (-a + 3b) = -0,5 + 2,5$
$4b = 2$
$b = 0,5$
Подставим найденное значение $b$ в первое уравнение:
$a + 0,5 = -0,5$
$a = -1$
Вернемся к исходным переменным:
$\cos x = a \implies \cos x = -1$
$\cos 2y = b \implies \cos 2y = 0,5$
Решим полученные тригонометрические уравнения:
Из $\cos x = -1$ получаем $x = \pi + 2\pi k$, где $k \in \mathbb{Z}$.
Из $\cos 2y = 0,5$ (что равно $\frac{1}{2}$) получаем $2y = \pm \frac{\pi}{3} + 2\pi n$, где $n \in \mathbb{Z}$.
Разделив на 2, находим $y$: $y = \pm \frac{\pi}{6} + \pi n$, где $n \in \mathbb{Z}$.
Ответ: $x = \pi + 2\pi k, y = \pm \frac{\pi}{6} + \pi n$, где $k, n \in \mathbb{Z}$.
в)Исходная система уравнений:$ \begin{cases} 2^{x+2y} - \sqrt{2x+y} = 6, \\ 3\sqrt{2x+y} - 2^{x+2y} = -2; \end{cases} $
Введем замену переменных. Пусть $a = 2^{x+2y}$ и $b = \sqrt{2x+y}$. Заметим, что по определению показательной функции $a>0$ и по определению арифметического корня $b \ge 0$. Система примет вид:$ \begin{cases} a - b = 6, \\ -a + 3b = -2; \end{cases} $
Сложим уравнения системы:
$(a - b) + (-a + 3b) = 6 - 2$
$2b = 4$
$b = 2$
Подставим $b=2$ в первое уравнение:
$a - 2 = 6$
$a = 8$
Найденные значения $a=8$ и $b=2$ удовлетворяют условиям $a>0$ и $b \ge 0$.
Вернемся к исходным переменным:
$2^{x+2y} = 8 \implies 2^{x+2y} = 2^3 \implies x + 2y = 3$
$\sqrt{2x+y} = 2 \implies 2x+y = 2^2 \implies 2x+y = 4$
Получили новую систему линейных уравнений для $x$ и $y$:$ \begin{cases} x + 2y = 3, \\ 2x + y = 4; \end{cases} $
Из первого уравнения выразим $x$: $x = 3 - 2y$.
Подставим во второе уравнение:
$2(3 - 2y) + y = 4$
$6 - 4y + y = 4$
$6 - 3y = 4$
$3y = 2 \implies y = \frac{2}{3}$
Теперь найдем $x$:
$x = 3 - 2 \cdot \frac{2}{3} = 3 - \frac{4}{3} = \frac{9}{3} - \frac{4}{3} = \frac{5}{3}$
Проверим ОДЗ для корня: $2x+y \ge 0$.
$2(\frac{5}{3}) + \frac{2}{3} = \frac{10}{3} + \frac{2}{3} = \frac{12}{3} = 4 \ge 0$. Условие выполнено.
Ответ: $(\frac{5}{3}; \frac{2}{3})$.
г)Исходная система уравнений:$ \begin{cases} 2 \sin 2x + \tg 3y = 2, \\ 6 \sin 2x - 2 \tg 3y = 1; \end{cases} $
Эта система является линейной относительно $\sin 2x$ и $\tg 3y$. Введем замену переменных. Пусть $a = \sin 2x$ и $b = \tg 3y$. Система примет вид:$ \begin{cases} 2a + b = 2, \\ 6a - 2b = 1; \end{cases} $
Умножим первое уравнение на 2:
$4a + 2b = 4$
Сложим полученное уравнение со вторым уравнением исходной системы:
$(4a + 2b) + (6a - 2b) = 4 + 1$
$10a = 5$
$a = 0,5$
Подставим $a=0,5$ в первое уравнение $2a+b=2$:
$2(0,5) + b = 2$
$1 + b = 2$
$b = 1$
Вернемся к исходным переменным:
$\sin 2x = a \implies \sin 2x = 0,5$
$\tg 3y = b \implies \tg 3y = 1$
Решим полученные тригонометрические уравнения.
Из $\sin 2x = 0,5$ (что равно $\frac{1}{2}$) получаем $2x = (-1)^k \frac{\pi}{6} + \pi k$, где $k \in \mathbb{Z}$.
Отсюда $x = (-1)^k \frac{\pi}{12} + \frac{\pi k}{2}$, где $k \in \mathbb{Z}$.
Из $\tg 3y = 1$ получаем $3y = \frac{\pi}{4} + \pi n$, где $n \in \mathbb{Z}$.
Отсюда $y = \frac{\pi}{12} + \frac{\pi n}{3}$, где $n \in \mathbb{Z}$.
Условие существования тангенса $\cos 3y \ne 0$, т.е. $3y \ne \frac{\pi}{2} + \pi m$. Наши решения $3y = \frac{\pi}{4} + \pi n$ не совпадают с запрещенными значениями, так что ОДЗ выполняется.
Ответ: $x = (-1)^k \frac{\pi}{12} + \frac{\pi k}{2}, y = \frac{\pi}{12} + \frac{\pi n}{3}$, где $k, n \in \mathbb{Z}$.
№59.5 (с. 230)
Условие. №59.5 (с. 230)
скриншот условия

Решите систему уравнений методом введения новых переменных:
59.5 а) $\begin{cases}\frac{5}{3x - y} + \frac{3}{x - 3y} = -2, \\ \frac{15}{3x - y} + \frac{2}{x - 3y} = 1;\end{cases}$
б) $\begin{cases}\frac{3}{x + y} + \frac{6}{x - y} = -1, \\ \frac{5}{x + y} + \frac{9}{x - y} = -2.\end{cases}$
Решение 1. №59.5 (с. 230)

Решение 2. №59.5 (с. 230)


Решение 5. №59.5 (с. 230)



Решение 6. №59.5 (с. 230)
a)
Дана система уравнений:
$$\begin{cases}\frac{5}{3x-y} + \frac{3}{x-3y} = -2 \\\frac{15}{3x-y} + \frac{2}{x-3y} = 1\end{cases}$$
Введем новые переменные. Пусть $u = \frac{1}{3x-y}$ и $v = \frac{1}{x-3y}$. Тогда система примет вид:
$$\begin{cases}5u + 3v = -2 \\15u + 2v = 1\end{cases}$$
Для решения этой системы методом сложения, умножим первое уравнение на -3:
$$\begin{cases}-15u - 9v = 6 \\15u + 2v = 1\end{cases}$$
Теперь сложим уравнения системы:
$(-15u - 9v) + (15u + 2v) = 6 + 1$
$-7v = 7$
$v = -1$
Подставим найденное значение $v$ в первое уравнение системы для новых переменных ($5u + 3v = -2$):
$5u + 3(-1) = -2$
$5u - 3 = -2$
$5u = 1$
$u = \frac{1}{5}$
Теперь, когда мы нашли значения $u$ и $v$, выполним обратную замену, чтобы найти $x$ и $y$:
$$\begin{cases}\frac{1}{3x-y} = u \\\frac{1}{x-3y} = v\end{cases}\implies\begin{cases}\frac{1}{3x-y} = \frac{1}{5} \\\frac{1}{x-3y} = -1\end{cases}$$
Из этого получаем новую систему линейных уравнений:
$$\begin{cases}3x - y = 5 \\x - 3y = -1\end{cases}$$
Из первого уравнения выразим $y$: $y = 3x - 5$.
Подставим это выражение во второе уравнение:
$x - 3(3x - 5) = -1$
$x - 9x + 15 = -1$
$-8x = -16$
$x = 2$
Теперь найдем $y$, подставив значение $x$ в выражение $y = 3x - 5$:
$y = 3(2) - 5 = 6 - 5 = 1$
Таким образом, решение системы: $(2, 1)$.
Ответ: $(2, 1)$.
б)
Дана система уравнений:
$$\begin{cases}\frac{3}{x+y} + \frac{6}{x-y} = -1 \\\frac{5}{x+y} + \frac{9}{x-y} = -2\end{cases}$$
Введем новые переменные. Пусть $a = \frac{1}{x+y}$ и $b = \frac{1}{x-y}$. Система уравнений преобразуется к виду:
$$\begin{cases}3a + 6b = -1 \\5a + 9b = -2\end{cases}$$
Решим эту систему методом сложения. Умножим первое уравнение на -3, а второе на 2, чтобы коэффициенты при $b$ стали противоположными числами:
$$\begin{cases}-9a - 18b = 3 \\10a + 18b = -4\end{cases}$$
Сложим уравнения полученной системы:
$(-9a - 18b) + (10a + 18b) = 3 + (-4)$
$a = -1$
Подставим значение $a = -1$ в первое уравнение системы для новых переменных ($3a + 6b = -1$):
$3(-1) + 6b = -1$
$-3 + 6b = -1$
$6b = 2$
$b = \frac{2}{6} = \frac{1}{3}$
Выполним обратную замену:
$$\begin{cases}\frac{1}{x+y} = a \\\frac{1}{x-y} = b\end{cases}\implies\begin{cases}\frac{1}{x+y} = -1 \\\frac{1}{x-y} = \frac{1}{3}\end{cases}$$
Отсюда получаем систему линейных уравнений относительно $x$ и $y$:
$$\begin{cases}x + y = -1 \\x - y = 3\end{cases}$$
Сложим два уравнения этой системы:
$(x + y) + (x - y) = -1 + 3$
$2x = 2$
$x = 1$
Подставим найденное значение $x$ в первое уравнение ($x + y = -1$):
$1 + y = -1$
$y = -2$
Решение системы: $(1, -2)$.
Ответ: $(1, -2)$.
№59.6 (с. 230)
Условие. №59.6 (с. 230)
скриншот условия

59.6 a) $ \begin{cases} 2x + 3y = 12, \\ \log_{6}^{2} xy + 1 = 2 \log_{6} xy; \end{cases} $
б) $ \begin{cases} \sqrt{x} \cdot \sqrt{y} = 10 - 3 \sqrt[4]{xy}, \\ 2x - 5y = 6. \end{cases} $
Решение 1. №59.6 (с. 230)

Решение 2. №59.6 (с. 230)


Решение 5. №59.6 (с. 230)



Решение 6. №59.6 (с. 230)
а)
Дана система уравнений:
$\begin{cases} 2x + 3y = 12, \\ \log_6^2(xy) + 1 = 2\log_6(xy) \end{cases}$
Область допустимых значений (ОДЗ) для второго уравнения определяется условием $xy > 0$.
Рассмотрим второе уравнение. Сделаем замену $t = \log_6(xy)$. Уравнение примет вид:
$t^2 + 1 = 2t$
Перенесем все слагаемые в левую часть:
$t^2 - 2t + 1 = 0$
Это формула квадрата разности:
$(t-1)^2 = 0$
Следовательно, $t = 1$.
Выполним обратную замену:
$\log_6(xy) = 1$
Из определения логарифма следует:
$xy = 6^1 = 6$
Теперь исходная система эквивалентна следующей системе:
$\begin{cases} 2x + 3y = 12, \\ xy = 6 \end{cases}$
Из второго уравнения выразим $y$ через $x$: $y = \frac{6}{x}$ (поскольку $xy=6$, то $x \neq 0$).
Подставим это выражение в первое уравнение:
$2x + 3 \left(\frac{6}{x}\right) = 12$
$2x + \frac{18}{x} = 12$
Умножим обе части уравнения на $x$:
$2x^2 + 18 = 12x$
Перенесем все в левую часть и разделим на 2:
$2x^2 - 12x + 18 = 0$
$x^2 - 6x + 9 = 0$
Свернем левую часть по формуле квадрата разности:
$(x-3)^2 = 0$
Отсюда находим $x = 3$.
Теперь найдем соответствующее значение $y$:
$y = \frac{6}{x} = \frac{6}{3} = 2$
Получили решение $(3; 2)$. Проверим, удовлетворяет ли оно ОДЗ: $xy = 3 \cdot 2 = 6 > 0$. Условие выполнено.
Подставим найденные значения в исходные уравнения для проверки:
1) $2(3) + 3(2) = 6 + 6 = 12$ (верно).
2) $\log_6^2(3 \cdot 2) + 1 = \log_6^2(6) + 1 = 1^2 + 1 = 2$. $2\log_6(3 \cdot 2) = 2\log_6(6) = 2 \cdot 1 = 2$. Равенство $2=2$ верно.
Ответ: $(3; 2)$.
б)
Дана система уравнений:
$\begin{cases} \sqrt{x} \cdot \sqrt{y} = 10 - 3\sqrt[4]{xy}, \\ 2x - 5y = 6 \end{cases}$
Область допустимых значений (ОДЗ) определяется условиями $x \ge 0$ и $y \ge 0$.
Преобразуем первое уравнение. Так как $x \ge 0$ и $y \ge 0$, то $\sqrt{x} \cdot \sqrt{y} = \sqrt{xy}$.
$\sqrt{xy} = 10 - 3\sqrt[4]{xy}$
Сделаем замену $u = \sqrt[4]{xy}$. Тогда $\sqrt{xy} = (\sqrt[4]{xy})^2 = u^2$. Из ОДЗ следует, что $u \ge 0$.
Уравнение принимает вид:
$u^2 = 10 - 3u$
Перенесем все слагаемые в левую часть:
$u^2 + 3u - 10 = 0$
Решим это квадратное уравнение. По теореме Виета, корни уравнения: $u_1 = 2$ и $u_2 = -5$.
Поскольку $u = \sqrt[4]{xy} \ge 0$, корень $u_2 = -5$ является посторонним.
Таким образом, $u = 2$.
Выполним обратную замену:
$\sqrt[4]{xy} = 2$
Возведем обе части в четвертую степень:
$xy = 2^4 = 16$
Теперь исходная система эквивалентна следующей системе:
$\begin{cases} xy = 16, \\ 2x - 5y = 6 \end{cases}$
Из первого уравнения выразим $y$ через $x$: $y = \frac{16}{x}$ (поскольку $xy=16$, то $x \neq 0$).
Подставим это выражение во второе уравнение:
$2x - 5 \left(\frac{16}{x}\right) = 6$
$2x - \frac{80}{x} = 6$
Умножим обе части уравнения на $x$:
$2x^2 - 80 = 6x$
Перенесем все в левую часть и разделим на 2:
$2x^2 - 6x - 80 = 0$
$x^2 - 3x - 40 = 0$
Решим это квадратное уравнение с помощью дискриминанта:
$D = b^2 - 4ac = (-3)^2 - 4 \cdot 1 \cdot (-40) = 9 + 160 = 169 = 13^2$
$x_{1,2} = \frac{-b \pm \sqrt{D}}{2a} = \frac{3 \pm 13}{2}$
Находим два корня:
$x_1 = \frac{3 + 13}{2} = \frac{16}{2} = 8$
$x_2 = \frac{3 - 13}{2} = \frac{-10}{2} = -5$
Согласно ОДЗ ($x \ge 0$), корень $x_2 = -5$ является посторонним.
Единственное возможное значение для $x$ - это $8$.
Найдем соответствующее значение $y$:
$y = \frac{16}{x} = \frac{16}{8} = 2$
Получили решение $(8; 2)$. Проверим, удовлетворяет ли оно ОДЗ: $x=8 \ge 0$ и $y=2 \ge 0$. Условия выполнены.
Подставим найденные значения в исходные уравнения для проверки:
1) $\sqrt{8} \cdot \sqrt{2} = \sqrt{16} = 4$. $10 - 3\sqrt[4]{8 \cdot 2} = 10 - 3\sqrt[4]{16} = 10 - 3 \cdot 2 = 10 - 6 = 4$. Равенство $4=4$ верно.
2) $2(8) - 5(2) = 16 - 10 = 6$ (верно).
Ответ: $(8; 2)$.
№59.7 (с. 230)
Условие. №59.7 (с. 230)
скриншот условия

59.7 a) $\begin{cases}3\sqrt[3]{x+y} = \log_2 16x^2, \\\log_2 x^2 + 2\sqrt[3]{x+y} = 6;\end{cases}$
б) $\begin{cases}3^{x-y} - 7|2y-x| = 2, \\|2y-x| - 3^{x-y-1} = -2.\end{cases}$
Решение 1. №59.7 (с. 230)

Решение 2. №59.7 (с. 230)


Решение 5. №59.7 (с. 230)



Решение 6. №59.7 (с. 230)
а)
Дана система уравнений:
$ \begin{cases} 3\sqrt[3]{x} + y = \log_2 16x^2, \\ \log_2 x^2 + 2\sqrt[3]{x} + y = 6 \end{cases} $
Область допустимых значений для переменной $x$ определяется из условия существования логарифмов: $16x^2 > 0$ и $x^2 > 0$. Оба условия выполняются при $x \neq 0$.
Упростим первое уравнение, используя свойство логарифма произведения: $\log_a(bc) = \log_a b + \log_a c$.
$\log_2 16x^2 = \log_2 16 + \log_2 x^2 = 4 + \log_2 x^2$.
Подставим это выражение в первое уравнение системы. Система примет вид:
$ \begin{cases} 3\sqrt[3]{x} + y = 4 + \log_2 x^2, \\ \log_2 x^2 + 2\sqrt[3]{x} + y = 6 \end{cases} $
Для удобства введем замены: пусть $u = \sqrt[3]{x}$ и $v = \log_2 x^2$.
Система в новых переменных:
$ \begin{cases} 3u + y = 4 + v \\ 2u + y + v = 6 \end{cases} $
Вычтем второе уравнение из первого. Для этого сначала приведем их к удобному для вычитания виду:
$y = 4 + v - 3u$
$y = 6 - v - 2u$
Приравняем правые части выражений для $y$:
$4 + v - 3u = 6 - v - 2u$
Перенесем слагаемые с $v$ в левую часть, а с $u$ и константы — в правую:
$v + v = 6 - 4 + 3u - 2u$
$2v = 2 + u$
Теперь выполним обратную замену, подставив $u = \sqrt[3]{x}$ и $v = \log_2 x^2$:
$2\log_2 x^2 = 2 + \sqrt[3]{x}$
Используем свойство логарифма степени $\log_a b^c = c\log_a|b|$ (модуль необходим, так как $x^2$ положительно и при отрицательных $x$):
$2(2\log_2|x|) = 2 + \sqrt[3]{x}$
$4\log_2|x| = 2 + \sqrt[3]{x}$
Мы получили трансцендентное уравнение, которое связывает логарифмическую и степенную функции. Такие уравнения, как правило, не решаются аналитически в элементарных функциях. Проверка простых значений (целые числа, степени двойки) не дает решений. Вероятно, в условии задачи допущена опечатка. Решение исходной системы в том виде, как она дана, требует применения численных методов.
Ответ: Решение системы сводится к решению трансцендентного уравнения $4\log_2|x| - \sqrt[3]{x} = 2$, которое не решается аналитически в элементарных функциях.
б)
Дана система уравнений:
$ \begin{cases} 3^{x-y} - 7|2y-x| = 2, \\ |2y-x| - 3^{x-y-1} = -2 \end{cases} $
Заметим, что в системе присутствуют повторяющиеся выражения. Сделаем замену переменных для упрощения системы:
Пусть $a = 3^{x-y}$ и $b = |2y-x|$.
Выражение $3^{x-y-1}$ можно представить через $a$:
$3^{x-y-1} = 3^{x-y} \cdot 3^{-1} = \frac{3^{x-y}}{3} = \frac{a}{3}$.
Теперь система уравнений в переменных $a$ и $b$ выглядит так:
$ \begin{cases} a - 7b = 2, \\ b - \frac{a}{3} = -2 \end{cases} $
Решим эту линейную систему. Из второго уравнения выразим $b$:
$b = \frac{a}{3} - 2$.
Подставим это выражение для $b$ в первое уравнение:
$a - 7\left(\frac{a}{3} - 2\right) = 2$
$a - \frac{7a}{3} + 14 = 2$
Чтобы избавиться от дроби, умножим обе части уравнения на 3:
$3a - 7a + 42 = 6$
$-4a = 6 - 42$
$-4a = -36$
$a = 9$.
Теперь найдем значение $b$:
$b = \frac{a}{3} - 2 = \frac{9}{3} - 2 = 3 - 2 = 1$.
Вернемся к исходным переменным $x$ и $y$:
$a = 3^{x-y} = 9 \implies 3^{x-y} = 3^2 \implies x-y=2$.
$b = |2y-x| = 1$.
Уравнение с модулем дает два случая:
1) $2y - x = 1$
2) $2y - x = -1$
Решим две системы линейных уравнений.
Случай 1:
$ \begin{cases} x - y = 2 \\ 2y - x = 1 \end{cases} $
Из первого уравнения $x = y+2$. Подставим во второе:
$2y - (y+2) = 1$
$y - 2 = 1 \implies y = 3$.
Тогда $x = 3+2 = 5$. Первое решение: $(5, 3)$.
Случай 2:
$ \begin{cases} x - y = 2 \\ 2y - x = -1 \end{cases} $
Из первого уравнения $x = y+2$. Подставим во второе:
$2y - (y+2) = -1$
$y - 2 = -1 \implies y = 1$.
Тогда $x = 1+2 = 3$. Второе решение: $(3, 1)$.
Ответ: $(5, 3), (3, 1)$.
№59.8 (с. 230)
Условие. №59.8 (с. 230)
скриншот условия

59.8 Применяя графический метод, определите, сколько решений имеет система уравнений:
а) $\begin{cases} y = x^2, \\ y = \cos x; \end{cases}$
б) $\begin{cases} x^2 + y^2 = 4, \\ y = 2 - x^2; \end{cases}$
в) $\begin{cases} y = \sin x, \\ y = 0,1x; \end{cases}$
г) $\begin{cases} y + 2 = \sqrt{x + 4}, \\ y + x^3 = 0. \end{cases}$
Решение 1. №59.8 (с. 230)

Решение 2. №59.8 (с. 230)




Решение 5. №59.8 (с. 230)


Решение 6. №59.8 (с. 230)
а) Для определения количества решений системы необходимо построить в одной системе координат графики функций $y = x^2$ и $y = \cos(x)$ и найти количество точек их пересечения. График функции $y = x^2$ — это парабола с вершиной в начале координат, ветви которой направлены вверх. График функции $y = \cos(x)$ — это косинусоида, периодическая функция, значения которой лежат в отрезке $[-1, 1]$. Обе функции являются четными, следовательно, их графики симметричны относительно оси OY. Это означает, что если есть решение $(x_0, y_0)$ при $x_0 \ne 0$, то есть и решение $(-x_0, y_0)$. Рассмотрим поведение графиков при $x \ge 0$. В точке $x=0$ парабола имеет значение $y=0^2=0$, а косинусоида $y=\cos(0)=1$. При $x>0$ парабола $y=x^2$ возрастает. На интервале $(0, \pi/2)$ функция $y=\cos(x)$ убывает от 1 до 0. Так как в точке $x=0$ парабола ниже косинусоиды ($0<1$), а в точке $x=\pi/2 \approx 1.57$ парабола выше косинусоиды ($( \pi/2 )^2 \approx 2.47 > 0$), на интервале $(0, \pi/2)$ графики пересекаются в одной точке. При $x \ge \pi/2$, значение $y=x^2 \ge (\pi/2)^2 \approx 2.47$, в то время как $y=\cos(x) \le 1$. Следовательно, при $x \ge \pi/2$ пересечений быть не может. Таким образом, существует одна точка пересечения для $x>0$. В силу симметрии, существует еще одна точка пересечения для $x<0$. Всего система имеет два решения.
Ответ: 2.
б) Для решения данной системы построим графики обоих уравнений. Первое уравнение $x^2 + y^2 = 4$ — это уравнение окружности с центром в начале координат $(0, 0)$ и радиусом $R = \sqrt{4} = 2$. Второе уравнение $y = 2 - x^2$ — это парабола, ветви которой направлены вниз, а вершина находится в точке $(0, 2)$. Построим эти графики в одной системе координат. Вершина параболы, точка $(0, 2)$, лежит на окружности, так как $0^2 + 2^2 = 4$. Это первая точка пересечения. Чтобы найти другие точки пересечения, подставим выражение для $y$ из второго уравнения в первое: $x^2 + (2 - x^2)^2 = 4$ $x^2 + 4 - 4x^2 + x^4 = 4$ $x^4 - 3x^2 = 0$ Вынесем $x^2$ за скобки: $x^2(x^2 - 3) = 0$ Это уравнение имеет решения: 1) $x^2 = 0 \implies x = 0$. Этому значению соответствует $y = 2 - 0^2 = 2$. Точка $(0, 2)$, которую мы уже нашли. 2) $x^2 - 3 = 0 \implies x^2 = 3 \implies x = \sqrt{3}$ или $x = -\sqrt{3}$. Если $x = \sqrt{3}$, то $y = 2 - (\sqrt{3})^2 = 2 - 3 = -1$. Точка $(\sqrt{3}, -1)$. Если $x = -\sqrt{3}$, то $y = 2 - (-\sqrt{3})^2 = 2 - 3 = -1$. Точка $(-\sqrt{3}, -1)$. Таким образом, графики пересекаются в трех точках.
Ответ: 3.
в) Построим графики функций $y = \sin(x)$ и $y = 0,1x$. Количество решений системы равно количеству точек пересечения этих графиков. График $y = \sin(x)$ — синусоида, значения которой находятся в пределах от -1 до 1. График $y = 0,1x$ — прямая, проходящая через начало координат с угловым коэффициентом $0,1$. Обе функции нечетные, поэтому их графики симметричны относительно начала координат. Очевидно, что точка $(0, 0)$ является решением системы. Рассмотрим количество пересечений для $x > 0$. Пересечения могут существовать только пока $|0,1x| \le 1$, то есть для $x \le 10$. - Производная $(\sin x)' = \cos x$, в точке $x=0$ она равна $1$. Производная $(0,1x)' = 0,1$. Так как $1 > 0,1$, вблизи нуля график синуса лежит выше прямой. - На интервале $(0, \pi)$: $\sin(\pi)=0$, а $0,1\pi \approx 0,314 > 0$. Так как в начале интервала синусоида выше, а в конце — ниже, на этом интервале есть одна точка пересечения. - На интервале $[\pi, 2\pi]$: $\sin(x) \le 0$, а $0,1x > 0$, поэтому пересечений нет. - На интервале $(2\pi, 3\pi) \approx (6.28, 9.42)$: $\sin(x)$ снова положителен. Максимум синуса равен 1 в точке $x=5\pi/2 \approx 7,85$. В этой точке значение прямой $y = 0,1 \cdot (5\pi/2) \approx 0,785$. Так как максимум синусоиды (1) выше значения прямой (0,785) в этой точке, а на концах интервала синус равен 0 (ниже прямой), то прямая пересекает этот "горб" синусоиды дважды. - При $x > 10$ значение $y=0,1x$ становится больше 1, в то время как $\sin(x) \le 1$, поэтому других пересечений для $x>0$ нет. Итак, для $x > 0$ имеется $1 + 2 = 3$ точки пересечения. В силу симметрии, для $x < 0$ также будет 3 точки пересечения. Общее число решений: 3 (при $x > 0$) + 3 (при $x < 0$) + 1 (при $x=0$) = 7.
Ответ: 7.
г) Преобразуем уравнения системы для построения графиков функций: 1) $y + 2 = \sqrt{x + 4} \implies y = \sqrt{x + 4} - 2$ 2) $y + x^3 = 0 \implies y = -x^3$ График функции $y = \sqrt{x + 4} - 2$ — это график функции $y=\sqrt{x}$, смещенный на 4 единицы влево и 2 единицы вниз. Область определения функции: $x \ge -4$. Эта функция является монотонно возрастающей на всей своей области определения. График функции $y = -x^3$ — это кубическая парабола, которая является монотонно убывающей на всей числовой оси. Монотонно возрастающая и монотонно убывающая функции могут пересечься не более одного раза. Найдем точку пересечения, подставив $x=0$ в оба уравнения: 1) $y = \sqrt{0 + 4} - 2 = 2 - 2 = 0$ 2) $y = -0^3 = 0$ Оба уравнения удовлетворяются при $x=0, y=0$. Следовательно, точка $(0, 0)$ является точкой пересечения. Так как возрастающая и убывающая функции могут иметь не более одной общей точки, это единственное решение системы.
Ответ: 1.
№59.9 (с. 230)
Условие. №59.9 (с. 230)
скриншот условия

Решите графически систему уравнений:
59.9 a) $\begin{cases} y + x = 3, \\ xy = 2; \end{cases}$
б) $\begin{cases} y = x(x - 4), \\ y + 8 = 2x. \end{cases}$
Решение 1. №59.9 (с. 230)

Решение 2. №59.9 (с. 230)


Решение 5. №59.9 (с. 230)


Решение 6. №59.9 (с. 230)
а) Чтобы решить систему уравнений графически, необходимо построить графики каждого уравнения в одной системе координат и найти их точки пересечения.
1. Построим график первого уравнения: $y + x = 3$.
Выразим $y$ через $x$, чтобы получить уравнение функции: $y = -x + 3$.
Это линейная функция, её график — прямая. Для построения прямой достаточно найти координаты двух точек.
При $x=0$, $y = -0 + 3 = 3$. Получаем точку $(0, 3)$.
При $x=3$, $y = -3 + 3 = 0$. Получаем точку $(3, 0)$.
2. Построим график второго уравнения: $xy = 2$.
Выразим $y$ через $x$: $y = \frac{2}{x}$.
Это обратная пропорциональность, её график — гипербола. Ветви гиперболы расположены в I и III координатных четвертях. Найдем несколько точек для построения графика:
при $x=1, y=2$; точка $(1, 2)$.
при $x=2, y=1$; точка $(2, 1)$.
при $x=-1, y=-2$; точка $(-1, -2)$.
при $x=-2, y=-1$; точка $(-2, -1)$.
3. Построив оба графика в одной системе координат, мы находим их точки пересечения. Координаты этих точек и являются решением системы.
Графики пересекаются в двух точках: $(1, 2)$ и $(2, 1)$.
Ответ: $(1, 2), (2, 1)$.
б) Решим вторую систему уравнений графическим методом.
1. Построим график первого уравнения: $y = x(x - 4)$.
Раскроем скобки: $y = x^2 - 4x$.
Это квадратичная функция, её график — парабола, ветви которой направлены вверх (коэффициент при $x^2$ положителен).
Найдем координаты вершины параболы по формуле $x_{в} = -\frac{b}{2a}$:
$x_{в} = -\frac{-4}{2 \cdot 1} = 2$.
Подставим $x_{в}$ в уравнение, чтобы найти $y_{в}$:
$y_{в} = 2^2 - 4 \cdot 2 = 4 - 8 = -4$.
Вершина параболы находится в точке $(2, -4)$.
Найдем нули функции (точки пересечения с осью Ox), приравняв $y$ к нулю: $x(x-4) = 0$. Отсюда $x=0$ и $x=4$. Точки пересечения с осью Ox: $(0, 0)$ и $(4, 0)$.
2. Построим график второго уравнения: $y + 8 = 2x$.
Выразим $y$ через $x$: $y = 2x - 8$.
Это линейная функция, её график — прямая. Для построения прямой найдем две точки:
При $x=0$, $y = 2 \cdot 0 - 8 = -8$. Получаем точку $(0, -8)$.
При $x=4$, $y = 2 \cdot 4 - 8 = 0$. Получаем точку $(4, 0)$.
3. Построив параболу и прямую в одной системе координат, найдем их точки пересечения.
Графики пересекаются в двух точках: $(2, -4)$ и $(4, 0)$.
Ответ: $(2, -4), (4, 0)$.
№11 (с. 230)
Условие. №11 (с. 230)
скриншот условия

11. Функция $y = f(x)$ непрерывна на интервале $(2; 5)$. Может ли она на этом интервале не достигать ни своего наименьшего, ни своего наибольшего значения? Приведите пример.
Решение 6. №11 (с. 230)
Да, функция $y=f(x)$, непрерывная на интервале $(2; 5)$, может не достигать на этом интервале ни своего наименьшего, ни своего наибольшего значения.
Это возможно потому, что интервал $(2; 5)$ является открытым, то есть не включает свои граничные точки $x=2$ и $x=5$. Теорема Вейерштрасса, которая гарантирует существование наименьшего и наибольшего значений (экстремумов), применима только к непрерывным функциям на замкнутых отрезках (например, на $[2; 5]$). В случае открытого интервала, значения функции могут неограниченно приближаться к своим точным верхней и нижней граням (супремуму и инфимуму) на границах интервала, но никогда их не достигать, так как сами граничные точки не входят в область определения.
Приведем пример такой функции. Рассмотрим простейшую линейную функцию $f(x) = x$ на интервале $(2; 5)$.
Эта функция непрерывна для любого действительного значения $x$ и, следовательно, непрерывна на интервале $(2; 5)$. Множество значений, которые принимает функция $f(x) = x$ для всех $x$ из интервала $(2; 5)$, есть в точности сам интервал $(2; 5)$.
- Наименьшее значение: Точная нижняя грань (инфимум) множества значений функции равна 2. Однако не существует такого $x$ в интервале $(2; 5)$, для которого $f(x) = 2$. Это значение достигалось бы только при $x=2$, но эта точка не принадлежит заданному интервалу. Следовательно, функция не достигает своего наименьшего значения.
- Наибольшее значение: Точная верхняя грань (супремум) множества значений функции равна 5. Аналогично, не существует такого $x$ в интервале $(2; 5)$, для которого $f(x) = 5$, так как это потребовало бы $x=5$, а эта точка также не принадлежит интервалу. Следовательно, функция не достигает своего наибольшего значения.
Таким образом, мы показали, что непрерывная на интервале $(2; 5)$ функция $f(x)=x$ не достигает на нем ни своего наименьшего, ни своего наибольшего значения.
Ответ: Да, может. Например, функция $f(x) = x$ на интервале $(2; 5)$. Она непрерывна, но множество ее значений — это интервал $(2; 5)$. Точная нижняя грань значений (инфимум) равна 2, а точная верхняя грань (супремум) равна 5, но ни одно из этих значений не достигается, так как точки $x=2$ и $x=5$ не входят в интервал определения функции.
№12 (с. 230)
Условие. №12 (с. 230)
скриншот условия

12. Функция $y = f(x)$ непрерывна на интервале $(2; 5)$. Может ли она на этом интервале достигать своего наименьшего и не достигать своего наибольшего значения? Приведите пример.
Решение 6. №12 (с. 230)
Да, функция, непрерывная на интервале, может достигать своего наименьшего значения и не достигать своего наибольшего.
Это возможно, так как классическая теорема Вейерштрасса о достижении функцией своих экстремумов (наибольшего и наименьшего значений) справедлива для непрерывной функции на замкнутом отрезке $[a, b]$. В условии задачи дан открытый интервал $(2, 5)$, для которого утверждение теоремы Вейерштрасса не всегда выполняется.
Для того чтобы функция достигала своего наименьшего значения, необходимо, чтобы точка глобального минимума на этом интервале находилась внутри самого интервала. Чтобы функция не достигала своего наибольшего значения, необходимо, чтобы она либо была неограничена сверху на этом интервале, либо ее точная верхняя грань (супремум) соответствовала значению функции на одной из границ интервала (в точках $x=2$ или $x=5$), которые не включены в данный интервал.
Приведем пример.
Рассмотрим квадратичную функцию $f(x) = (x - 3.5)^2$ на интервале $(2, 5)$.
- Эта функция является многочленом, следовательно, она непрерывна на всей числовой оси, включая интервал $(2, 5)$.
- Графиком этой функции является парабола, ветви которой направлены вверх. Ее вершина находится в точке, где достигается минимум. Координата $x$ вершины равна $3.5$. Так как $2 < 3.5 < 5$, точка минимума принадлежит интервалу $(2, 5)$. Наименьшее значение функции на этом интервале равно $f(3.5) = (3.5 - 3.5)^2 = 0$. Таким образом, функция достигает своего наименьшего значения.
- Так как ветви параболы направлены вверх, значения функции увеличиваются по мере удаления от вершины. На интервале $(2, 5)$ значения функции будут стремиться к своим предельным значениям на концах интервала. Найдем эти пределы:
$\lim_{x \to 2^+} f(x) = (2 - 3.5)^2 = (-1.5)^2 = 2.25$
$\lim_{x \to 5^-} f(x) = (5 - 3.5)^2 = (1.5)^2 = 2.25$
Точная верхняя грань (супремум) значений функции на интервале $(2, 5)$ равна $2.25$. Однако, это значение не достигается, так как $x$ никогда не равен $2$ или $5$. Для любой точки $x \in (2, 5)$ выполняется неравенство $f(x) < 2.25$. Следовательно, функция не достигает своего наибольшего значения на данном интервале.
Таким образом, функция $f(x) = (x - 3.5)^2$ на интервале $(2, 5)$ является примером функции, которая непрерывна, достигает своего наименьшего значения, но не достигает наибольшего.
Ответ: Да, может. Пример: функция $f(x) = (x - 3.5)^2$ на интервале $(2, 5)$.
№13 (с. 230)
Условие. №13 (с. 230)
скриншот условия

13. Функция $y = f(x)$ непрерывна на интервале $(2; 5)$. Может ли она на этом интервале достигать своего наибольшего и не достигать своего наименьшего значения? Приведите пример.
Решение 6. №13 (с. 230)
Да, такая ситуация возможна. Это связано с тем, что функция рассматривается на открытом интервале $(2; 5)$. Согласно теореме Вейерштрасса, любая непрерывная функция на замкнутом отрезке $[a; b]$ обязательно достигает своих наибольшего и наименьшего значений. Однако для открытого интервала это утверждение не всегда верно. Функция может достигать своего максимума во внутренней точке интервала, в то время как её значения могут лишь стремиться к наименьшему значению (точной нижней грани) на одном из концов интервала, никогда его не достигая.
В качестве примера рассмотрим функцию $f(x) = -(x - 3.5)^2 + 10$ на интервале $(2; 5)$.
Эта функция является квадратичной и, следовательно, непрерывна на всей числовой прямой, включая интервал $(2; 5)$. Её график — парабола с ветвями, направленными вниз. Максимальное значение достигается в вершине параболы. Координата вершины по оси абсцисс $x_0 = 3.5$. Поскольку $2 < 3.5 < 5$, точка максимума находится внутри заданного интервала. Наибольшее значение функции равно $f(3.5) = -(3.5 - 3.5)^2 + 10 = 10$. Таким образом, функция достигает своего наибольшего значения на интервале $(2; 5)$.
Теперь рассмотрим наименьшее значение. Так как максимум находится в точке $x=3.5$, функция убывает по мере приближения $x$ к концам интервала. Найдём предельные значения функции на концах интервала:$\lim_{x \to 2^+} f(x) = -(2 - 3.5)^2 + 10 = -(-1.5)^2 + 10 = -2.25 + 10 = 7.75$.$\lim_{x \to 5^-} f(x) = -(5 - 3.5)^2 + 10 = -(1.5)^2 + 10 = -2.25 + 10 = 7.75$.Множество значений функции на интервале $(2; 5)$ представляет собой полуинтервал $(7.75; 10]$. Точная нижняя грань (инфимум) значений функции равна $7.75$. Однако не существует такого значения $x$ в интервале $(2; 5)$, при котором $f(x) = 7.75$. Значение функции лишь стремится к $7.75$ при $x \to 2^+$ и $x \to 5^-$, но никогда его не достигает. Следовательно, функция не достигает своего наименьшего значения.
Ответ: Да, может. Примером такой функции является $f(x) = -(x - 3.5)^2 + 10$ на интервале $(2; 5)$.
№14 (с. 230)
Условие. №14 (с. 230)
скриншот условия

14. Начертите график непрерывной на интервале $(2; 5)$ функции, которая имеет внутри интервала одну критическую и две стационарные точки, но не достигает на этом интервале ни своего наименьшего, ни своего наибольшего значения.
Решение 6. №14 (с. 230)
Для построения графика функции, удовлетворяющей заданным условиям, необходимо последовательно реализовать каждое требование.
- Непрерывность на интервале $(2; 5)$. Это означает, что график функции должен быть единой сплошной линией на всем промежутке от $x=2$ до $x=5$, без каких-либо разрывов.
- Одна критическая и две стационарные точки.
- Стационарная точка — это точка, в которой производная функции равна нулю, то есть $f'(x) = 0$. На графике это соответствует точке с горизонтальной касательной (локальный минимум или максимум). По условию, таких точек должно быть две.
- Критическая точка — это точка из области определения функции, в которой производная равна нулю или не существует. Так как в условии уже упомянуты две стационарные точки (где производная равна нулю), то под "одной критической точкой" имеется в виду точка, где производная не существует. Графически это может быть точка "излома" (угловая точка) или "остриё" (касп).
- Таким образом, на графике внутри интервала $(2; 5)$ должны быть три особые точки: две с горизонтальной касательной и одна с изломом.
- Функция не достигает ни своего наименьшего, ни своего наибольшего значения. Для непрерывной функции на открытом интервале это возможно, если на границах интервала значения функции стремятся к бесконечности. Если функция уходит в $+\infty$ на одной из границ, у нее не будет наибольшего значения. Если она уходит в $-\infty$ на другой границе, у нее не будет наименьшего значения.
Исходя из этого, можно предложить следующий план построения графика:
- Чтобы функция не достигала экстремальных значений, зададим ей вертикальные асимптоты на границах интервала: $\lim_{x \to 2^+} f(x) = +\infty$ и $\lim_{x \to 5^-} f(x) = -\infty$.
- Выберем три точки внутри интервала $(2; 5)$, например, $x=3$, $x=3.5$ и $x=4$.
- В точках $x=3$ и $x=4$ расположим стационарные точки: в $x=3$ — локальный минимум, а в $x=4$ — локальный максимум. В этих точках касательная к графику будет горизонтальной.
- В точке $x=3.5$ расположим критическую точку, где производная не существует. Это будет излом на графике.
- Соединим все участки плавной непрерывной линией:
- На интервале $(2; 3)$ функция убывает от $+\infty$ до локального минимума.
- На интервале $(3; 4)$ функция возрастает от локального минимума к локальному максимуму, проходя через точку излома при $x=3.5$.
- На интервале $(4; 5)$ функция убывает от локального максимума к $-\infty$.
Ниже представлен график, построенный в соответствии с этим планом.
На данном графике:
- Точка A (при $x=3$) — стационарная точка, являющаяся локальным минимумом ($f'(3)=0$).
- Точка B (при $x=3.5$) — критическая точка, где график имеет излом, а производная не существует.
- Точка C (при $x=4$) — стационарная точка, являющаяся локальным максимумом ($f'(4)=0$).
Ответ: Представленный график и его описание являются решением задачи. Он изображает непрерывную на интервале $(2; 5)$ функцию, которая имеет две стационарные точки (A и C) и одну критическую точку (B), но не достигает на этом интервале ни своего наименьшего, ни своего наибольшего значения благодаря наличию вертикальных асимптот на границах интервала.
Помогло решение? Оставьте отзыв в комментариях ниже.