Страница 104, часть 2 - гдз по алгебре 10-11 класс задачник часть 1, 2 Мордкович, Семенов


Авторы: Мордкович А. Г., Семенов П. В., Денищева Л. О., Корешкова Т. А., Мишустина Т. Н., Тульчинская Е. Е.
Тип: Задачник
Издательство: Мнемозина
Год издания: 2019 - 2025
Уровень обучения: базовый
Часть: 2
Цвет обложки:
ISBN: 978-5-346-04509-0 (общ.), 978-5-346-04510-6 (ч. 1), 978-5-346-04511-3 (ч. 2)
Рекомендовано Министерством образования и науки Российской Федерации
Математика: алгебра и начала математического анализа, геометрия
Популярные ГДЗ в 10 классе
ч. 2. Cтраница 104

№28.47 (с. 104)
Условие. №28.47 (с. 104)
скриншот условия

28.47 Найдите значения аргумента, удовлетворяющие условию $f'(x) \le g'(x)$, если:
a) $f(x) = \sin x \cos x, g(x) = \frac{1}{2}x + 61;$
б) $f(x) = \sin x \cos 2x + \sin 2x \cos x, g(x) = 35 - 3x;$
в) $f(x) = \sin^2 x - \cos^2 x, g(x) = -2x + 9;$
г) $f(x) = x \cos x, g(x) = \sin x.$
Решение 2. №28.47 (с. 104)



Решение 6. №28.47 (с. 104)
а)
Даны функции $f(x) = \sin x \cos x$ и $g(x) = \frac{1}{2}x + 61$.
Требуется найти значения аргумента $x$, удовлетворяющие условию $f'(x) \le g'(x)$.
Сначала упростим функцию $f(x)$, используя формулу синуса двойного угла $\sin(2\alpha) = 2\sin\alpha\cos\alpha$:
$f(x) = \frac{1}{2} \cdot 2\sin x \cos x = \frac{1}{2}\sin(2x)$.
Теперь найдем производные функций $f(x)$ и $g(x)$.
Производная $f(x)$ по правилу дифференцирования сложной функции: $f'(x) = \left(\frac{1}{2}\sin(2x)\right)' = \frac{1}{2}\cos(2x) \cdot (2x)' = \frac{1}{2}\cos(2x) \cdot 2 = \cos(2x)$.
Производная $g(x)$: $g'(x) = \left(\frac{1}{2}x + 61\right)' = \frac{1}{2}$.
Составим и решим неравенство $f'(x) \le g'(x)$:
$\cos(2x) \le \frac{1}{2}$.
Решением этого тригонометрического неравенства является совокупность промежутков, которую можно найти с помощью единичной окружности или графика косинуса. Значения $2x$, для которых косинус не превышает $\frac{1}{2}$, лежат в интервале $[\frac{\pi}{3}, \frac{5\pi}{3}]$ в пределах одного периода.
Общее решение: $\frac{\pi}{3} + 2\pi k \le 2x \le \frac{5\pi}{3} + 2\pi k$, где $k \in \mathbb{Z}$.
Разделим все части неравенства на 2, чтобы найти $x$:
$\frac{\pi}{6} + \pi k \le x \le \frac{5\pi}{6} + \pi k$, где $k \in \mathbb{Z}$.
Ответ: $x \in \left[\frac{\pi}{6} + \pi k, \frac{5\pi}{6} + \pi k\right]$, где $k \in \mathbb{Z}$.
б)
Даны функции $f(x) = \sin x \cos 2x + \sin 2x \cos x$ и $g(x) = 35 - 3x$.
Упростим функцию $f(x)$, используя формулу синуса суммы $\sin(\alpha + \beta) = \sin\alpha\cos\beta + \cos\alpha\sin\beta$:
$f(x) = \sin(x + 2x) = \sin(3x)$.
Найдем производные:
$f'(x) = (\sin(3x))' = \cos(3x) \cdot (3x)' = 3\cos(3x)$.
$g'(x) = (35 - 3x)' = -3$.
Составим и решим неравенство $f'(x) \le g'(x)$:
$3\cos(3x) \le -3$.
Разделим обе части на 3:
$\cos(3x) \le -1$.
Поскольку область значений функции косинус $[-1, 1]$, данное неравенство может выполняться только в том случае, когда $\cos(3x) = -1$.
Решим уравнение: $3x = \pi + 2\pi k$, где $k \in \mathbb{Z}$.
Разделим на 3:
$x = \frac{\pi}{3} + \frac{2\pi k}{3}$, где $k \in \mathbb{Z}$.
Ответ: $x = \frac{\pi}{3} + \frac{2\pi k}{3}$, где $k \in \mathbb{Z}$.
в)
Даны функции $f(x) = \sin^2 x - \cos^2 x$ и $g(x) = -2x + 9$.
Упростим функцию $f(x)$, используя формулу косинуса двойного угла $\cos(2\alpha) = \cos^2\alpha - \sin^2\alpha$:
$f(x) = -(\cos^2 x - \sin^2 x) = -\cos(2x)$.
Найдем производные:
$f'(x) = (-\cos(2x))' = -(-\sin(2x) \cdot (2x)') = \sin(2x) \cdot 2 = 2\sin(2x)$.
$g'(x) = (-2x + 9)' = -2$.
Составим и решим неравенство $f'(x) \le g'(x)$:
$2\sin(2x) \le -2$.
Разделим обе части на 2:
$\sin(2x) \le -1$.
Поскольку область значений функции синус $[-1, 1]$, данное неравенство может выполняться только в том случае, когда $\sin(2x) = -1$.
Решим уравнение: $2x = -\frac{\pi}{2} + 2\pi k$, где $k \in \mathbb{Z}$.
Разделим на 2:
$x = -\frac{\pi}{4} + \pi k$, где $k \in \mathbb{Z}$.
Ответ: $x = -\frac{\pi}{4} + \pi k$, где $k \in \mathbb{Z}$.
г)
Даны функции $f(x) = x \cos x$ и $g(x) = \sin x$.
Найдем производные. Для $f(x)$ используем правило производной произведения $(uv)'=u'v+uv'$:
$f'(x) = (x \cos x)' = (x)'\cos x + x(\cos x)' = 1 \cdot \cos x + x \cdot (-\sin x) = \cos x - x \sin x$.
$g'(x) = (\sin x)' = \cos x$.
Составим и решим неравенство $f'(x) \le g'(x)$:
$\cos x - x \sin x \le \cos x$.
Вычтем $\cos x$ из обеих частей:
$-x \sin x \le 0$.
Умножим обе части на -1, изменив знак неравенства на противоположный:
$x \sin x \ge 0$.
Это неравенство выполняется в двух случаях: когда оба множителя $x$ и $\sin x$ имеют одинаковый знак (оба $\ge 0$ или оба $\le 0$).
1. $x \ge 0$ и $\sin x \ge 0$. Условие $\sin x \ge 0$ выполняется для $x \in [2\pi k, \pi + 2\pi k]$ при $k \in \mathbb{Z}$. Учитывая, что $x \ge 0$, получаем решения для $k \ge 0$: $x \in [2\pi k, \pi + 2\pi k]$, где $k=0, 1, 2, \dots$
2. $x \le 0$ и $\sin x \le 0$. Условие $\sin x \le 0$ выполняется для $x \in [-\pi + 2\pi n, 2\pi n]$ при $n \in \mathbb{Z}$. Учитывая, что $x \le 0$, получаем решения для $n \le 0$: $x \in [-\pi + 2\pi n, 2\pi n]$, где $n=0, -1, -2, \dots$
Объединяя эти два случая, получаем искомые значения аргумента. Например, при $k=0$ из первого случая имеем $[0, \pi]$, а при $n=0$ из второго случая имеем $[-\pi, 0]$. Вместе они образуют отрезок $[-\pi, \pi]$.
Ответ: $x \in \bigcup_{k=0}^{\infty} [2k\pi, (2k+1)\pi] \cup \bigcup_{k=1}^{\infty} [-(2k-1)\pi, -2(k-1)\pi]$.
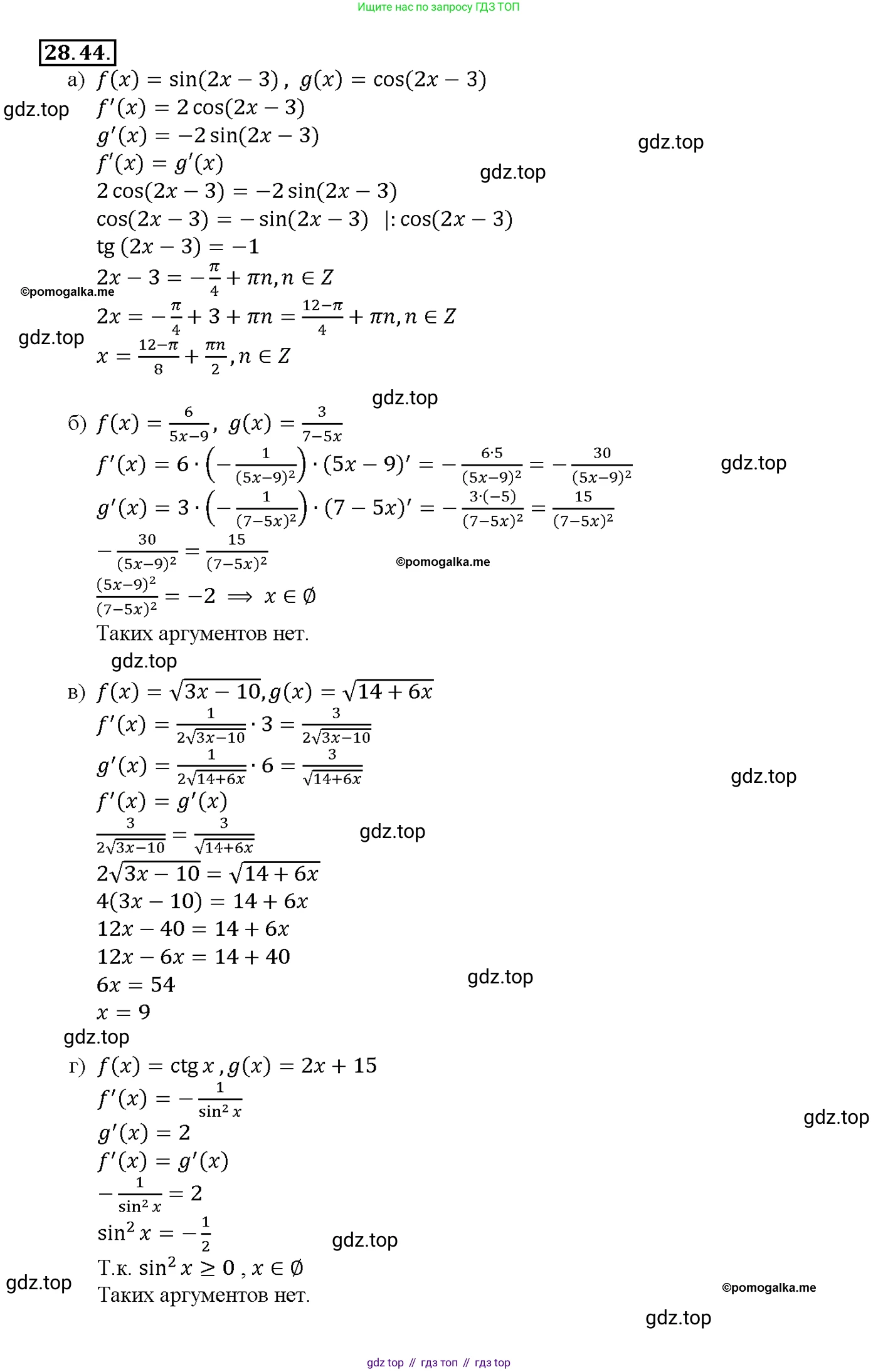
№28.44 (с. 104)
Условие. №28.44 (с. 104)
скриншот условия

28.44 Найдите значения аргумента, удовлетворяющие условию $f'(x) = g'(x)$, если:
а) $f(x) = \sin(2x - 3)$, $g(x) = \cos(2x - 3)$;
б) $f(x) = \frac{6}{5x - 9}$, $g(x) = \frac{3}{7 - 5x}$;
в) $f(x) = \sqrt{3x - 10}$, $g(x) = \sqrt{14 + 6x}$;
г) $f(x) = \text{ctg} x$, $g(x) = 2x + 15$.
Решение 1. №28.44 (с. 104)

Решение 2. №28.44 (с. 104)


Решение 3. №28.44 (с. 104)

Решение 5. №28.44 (с. 104)



Решение 6. №28.44 (с. 104)
а) Даны функции $f(x) = \sin(2x - 3)$ и $g(x) = \cos(2x - 3)$.
Чтобы найти значения аргумента, удовлетворяющие условию $f'(x) = g'(x)$, сначала найдем производные этих функций.
Производная функции $f(x)$ находится по правилу дифференцирования сложной функции:
$f'(x) = (\sin(2x - 3))' = \cos(2x - 3) \cdot (2x - 3)' = 2\cos(2x - 3)$.
Аналогично, производная функции $g(x)$:
$g'(x) = (\cos(2x - 3))' = -\sin(2x - 3) \cdot (2x - 3)' = -2\sin(2x - 3)$.
Теперь приравняем производные:
$2\cos(2x - 3) = -2\sin(2x - 3)$.
Разделим обе части уравнения на 2:
$\cos(2x - 3) = -\sin(2x - 3)$.
Если $\cos(2x - 3) \neq 0$, разделим обе части на $\cos(2x - 3)$:
$1 = -\frac{\sin(2x - 3)}{\cos(2x - 3)}$.
$1 = -\tan(2x - 3)$, что равносильно $\tan(2x - 3) = -1$.
(Заметим, что если $\cos(2x - 3) = 0$, то $\sin(2x - 3) = \pm 1$, и исходное уравнение $\cos(2x - 3) = -\sin(2x - 3)$ примет вид $0 = \mp 1$, что неверно. Значит, деление на $\cos(2x-3)$ было правомерно).
Решаем уравнение $\tan(2x - 3) = -1$:
$2x - 3 = \arctan(-1) + \pi n$, где $n \in \mathbb{Z}$.
$2x - 3 = -\frac{\pi}{4} + \pi n$.
Выразим $x$:
$2x = 3 - \frac{\pi}{4} + \pi n$.
$x = \frac{3}{2} - \frac{\pi}{8} + \frac{\pi n}{2}$, где $n \in \mathbb{Z}$.
Ответ: $x = \frac{3}{2} - \frac{\pi}{8} + \frac{\pi n}{2}, n \in \mathbb{Z}$.
б) Даны функции $f(x) = \frac{6}{5x - 9}$ и $g(x) = \frac{3}{7 - 5x}$.
Найдем производные данных функций. Удобно использовать правило $(\frac{k}{u})' = -\frac{k \cdot u'}{u^2}$.
Производная функции $f(x)$:
$f'(x) = \left(\frac{6}{5x - 9}\right)' = -\frac{6 \cdot (5x - 9)'}{(5x - 9)^2} = -\frac{6 \cdot 5}{(5x - 9)^2} = -\frac{30}{(5x - 9)^2}$.
Производная функции $g(x)$:
$g'(x) = \left(\frac{3}{7 - 5x}\right)' = -\frac{3 \cdot (7 - 5x)'}{(7 - 5x)^2} = -\frac{3 \cdot (-5)}{(7 - 5x)^2} = \frac{15}{(7 - 5x)^2}$.
Приравняем производные $f'(x) = g'(x)$:
$-\frac{30}{(5x - 9)^2} = \frac{15}{(7 - 5x)^2}$.
Область допустимых значений для этого уравнения определяется условиями $5x - 9 \neq 0$ и $7 - 5x \neq 0$, то есть $x \neq \frac{9}{5}$ и $x \neq \frac{7}{5}$.
В этой области знаменатели $(5x - 9)^2$ и $(7 - 5x)^2$ всегда строго положительны.
Следовательно, левая часть уравнения $-\frac{30}{(5x - 9)^2}$ всегда отрицательна, а правая часть $\frac{15}{(7 - 5x)^2}$ всегда положительна.
Отрицательное число не может равняться положительному, поэтому уравнение не имеет решений.
Ответ: таких значений аргумента не существует.
в) Даны функции $f(x) = \sqrt{3x - 10}$ и $g(x) = \sqrt{14 + 6x}$.
Найдем производные. Используем правило дифференцирования сложной функции $(\sqrt{u})' = \frac{u'}{2\sqrt{u}}$.
Производная функции $f(x)$:
$f'(x) = (\sqrt{3x - 10})' = \frac{(3x - 10)'}{2\sqrt{3x - 10}} = \frac{3}{2\sqrt{3x - 10}}$.
Производная определена при $3x - 10 > 0$, то есть $x > \frac{10}{3}$.
Производная функции $g(x)$:
$g'(x) = (\sqrt{14 + 6x})' = \frac{(14 + 6x)'}{2\sqrt{14 + 6x}} = \frac{6}{2\sqrt{14 + 6x}} = \frac{3}{\sqrt{14 + 6x}}$.
Производная определена при $14 + 6x > 0$, то есть $x > -\frac{7}{3}$.
Приравняем производные $f'(x) = g'(x)$:
$\frac{3}{2\sqrt{3x - 10}} = \frac{3}{\sqrt{14 + 6x}}$.
Область определения уравнения — это пересечение областей определения производных: $x > \frac{10}{3}$.
Разделим обе части на 3:
$\frac{1}{2\sqrt{3x - 10}} = \frac{1}{\sqrt{14 + 6x}}$.
Отсюда следует, что $2\sqrt{3x - 10} = \sqrt{14 + 6x}$.
Возведем обе части уравнения в квадрат:
$(2\sqrt{3x - 10})^2 = (\sqrt{14 + 6x})^2$.
$4(3x - 10) = 14 + 6x$.
$12x - 40 = 14 + 6x$.
$12x - 6x = 14 + 40$.
$6x = 54$.
$x = 9$.
Проверим, удовлетворяет ли корень $x=9$ области определения $x > \frac{10}{3}$. Поскольку $9 > \frac{10}{3}$ ($9 > 3.33...$), решение является верным.
Ответ: $x=9$.
г) Даны функции $f(x) = \text{ctg}\,x$ и $g(x) = 2x + 15$.
Найдем производные этих функций.
Производная функции $f(x)$:
$f'(x) = (\text{ctg}\,x)' = -\frac{1}{\sin^2 x}$.
Производная определена при $\sin x \neq 0$, то есть $x \neq \pi k$, где $k \in \mathbb{Z}$.
Производная функции $g(x)$:
$g'(x) = (2x + 15)' = 2$.
Приравняем производные $f'(x) = g'(x)$:
$-\frac{1}{\sin^2 x} = 2$.
Выразим $\sin^2 x$:
$\sin^2 x = -\frac{1}{2}$.
Квадрат любого действительного числа не может быть отрицательным, а $\sin x$ является действительным числом. Следовательно, $\sin^2 x \ge 0$.
Уравнение $\sin^2 x = -\frac{1}{2}$ не имеет действительных решений.
Ответ: таких значений аргумента не существует.
№28.48 (с. 104)
Условие. №28.48 (с. 104)
скриншот условия

28.48 а) При каких значениях $a$ касательные к графикам функций $y = x^7$ и $y = x^8$ в точке $x = a$ не имеют общих точек?
б) При каких значениях $a$ касательные к графикам функций $y = \sqrt{x}$ и $y = 2\sqrt{x} + 8$ в точке $x = a$ не имеют общих точек?
Решение 2. №28.48 (с. 104)


Решение 6. №28.48 (с. 104)
Две прямые не имеют общих точек, если они параллельны, но не совпадают. Уравнение касательной к графику функции $y=f(x)$ в точке $x=a$ имеет вид $y = f(a) + f'(a)(x-a)$.
1. Найдем уравнение касательной $y_1$ к графику функции $f(x) = x^7$ в точке $x=a$.
Производная функции: $f'(x) = 7x^6$.
В точке $x=a$: $f(a) = a^7$, $f'(a) = 7a^6$.
Уравнение касательной:
$y_1 = a^7 + 7a^6(x-a) = a^7 + 7a^6x - 7a^7 = 7a^6x - 6a^7$.
Это прямая с угловым коэффициентом $k_1 = 7a^6$ и свободным членом $b_1 = -6a^7$.
2. Найдем уравнение касательной $y_2$ к графику функции $g(x) = x^8$ в точке $x=a$.
Производная функции: $g'(x) = 8x^7$.
В точке $x=a$: $g(a) = a^8$, $g'(a) = 8a^7$.
Уравнение касательной:
$y_2 = a^8 + 8a^7(x-a) = a^8 + 8a^7x - 8a^8 = 8a^7x - 7a^8$.
Это прямая с угловым коэффициентом $k_2 = 8a^7$ и свободным членом $b_2 = -7a^8$.
3. Для того чтобы касательные не имели общих точек, они должны быть параллельны и не совпадать, то есть их угловые коэффициенты должны быть равны ($k_1=k_2$), а свободные члены — различны ($b_1 \neq b_2$).
Приравняем угловые коэффициенты: $k_1 = k_2 \Rightarrow 7a^6 = 8a^7$.
$8a^7 - 7a^6 = 0$
$a^6(8a - 7) = 0$
Это уравнение имеет два решения: $a=0$ и $a=\frac{7}{8}$.
4. Проверим для каждого значения $a$ условие $b_1 \neq b_2$.
При $a=0$:
$b_1 = -6(0)^7 = 0$
$b_2 = -7(0)^8 = 0$
Так как $b_1 = b_2$, касательные совпадают (обе имеют уравнение $y=0$) и имеют бесконечно много общих точек. Этот случай не подходит.
При $a=\frac{7}{8}$:
$b_1 = -6(\frac{7}{8})^7$
$b_2 = -7(\frac{7}{8})^8$
Сравним $b_1$ и $b_2$. Предположим, что они равны: $-6(\frac{7}{8})^7 = -7(\frac{7}{8})^8$.
Так как $a \neq 0$, можно разделить обе части на $-(\frac{7}{8})^7$:
$6 = 7(\frac{7}{8})$
$6 = \frac{49}{8}$
$48 = 49$, что является ложным утверждением. Следовательно, $b_1 \neq b_2$.
Таким образом, при $a=\frac{7}{8}$ касательные параллельны и не совпадают, а значит, не имеют общих точек.
Ответ: $a=\frac{7}{8}$.
б)Для существования касательных в точке $x=a$ необходимо, чтобы точка $a$ принадлежала области определения функций и их производных. Для $y=\sqrt{x}$: $a>0$. Для $y=2\sqrt{x+8}$: $x+8>0 \Rightarrow a>-8$. Общая область допустимых значений для $a$ — это $a>0$.
1. Найдем уравнение касательной $y_1$ к графику функции $f(x) = \sqrt{x}$ в точке $x=a$.
Производная: $f'(x) = \frac{1}{2\sqrt{x}}$.
Уравнение касательной: $y_1 = f(a) + f'(a)(x-a) = \sqrt{a} + \frac{1}{2\sqrt{a}}(x-a) = \frac{x}{2\sqrt{a}} - \frac{a}{2\sqrt{a}} + \sqrt{a} = \frac{1}{2\sqrt{a}}x + \frac{\sqrt{a}}{2}$.
Угловой коэффициент $k_1 = \frac{1}{2\sqrt{a}}$, свободный член $b_1 = \frac{\sqrt{a}}{2}$.
2. Найдем уравнение касательной $y_2$ к графику функции $g(x) = 2\sqrt{x+8}$ в точке $x=a$.
Производная: $g'(x) = 2 \cdot \frac{1}{2\sqrt{x+8}} = \frac{1}{\sqrt{x+8}}$.
Уравнение касательной: $y_2 = g(a) + g'(a)(x-a) = 2\sqrt{a+8} + \frac{1}{\sqrt{a+8}}(x-a) = \frac{x}{\sqrt{a+8}} + 2\sqrt{a+8} - \frac{a}{\sqrt{a+8}}$.
Упростим свободный член: $b_2 = \frac{2(a+8) - a}{\sqrt{a+8}} = \frac{a+16}{\sqrt{a+8}}$.
Уравнение касательной: $y_2 = \frac{1}{\sqrt{a+8}}x + \frac{a+16}{\sqrt{a+8}}$.
Угловой коэффициент $k_2 = \frac{1}{\sqrt{a+8}}$.
3. Касательные не имеют общих точек, если $k_1=k_2$ и $b_1 \neq b_2$.
Приравняем угловые коэффициенты: $\frac{1}{2\sqrt{a}} = \frac{1}{\sqrt{a+8}}$.
Так как $a>0$, обе стороны уравнения положительны, можно возвести их в квадрат:
$\frac{1}{4a} = \frac{1}{a+8}$
$a+8 = 4a$
$3a=8 \Rightarrow a=\frac{8}{3}$.
Это значение удовлетворяет условию $a>0$.
4. Проверим, что при $a=\frac{8}{3}$ свободные члены не равны.
$b_1 = \frac{\sqrt{a}}{2} = \frac{\sqrt{8/3}}{2} = \frac{2\sqrt{2}/\sqrt{3}}{2} = \frac{\sqrt{2}}{\sqrt{3}} = \frac{\sqrt{6}}{3}$.
$b_2 = \frac{a+16}{\sqrt{a+8}} = \frac{8/3+16}{\sqrt{8/3+8}} = \frac{56/3}{\sqrt{32/3}} = \frac{56/3}{4\sqrt{2}/\sqrt{3}} = \frac{56\sqrt{3}}{12\sqrt{2}} = \frac{14\sqrt{6}}{6} = \frac{7\sqrt{6}}{3}$.
Сравнивая $b_1$ и $b_2$, видим, что $\frac{\sqrt{6}}{3} \neq \frac{7\sqrt{6}}{3}$. Условие $b_1 \neq b_2$ выполняется.
При $a=\frac{8}{3}$ касательные параллельны и не совпадают, следовательно, не имеют общих точек.
Ответ: $a=\frac{8}{3}$.
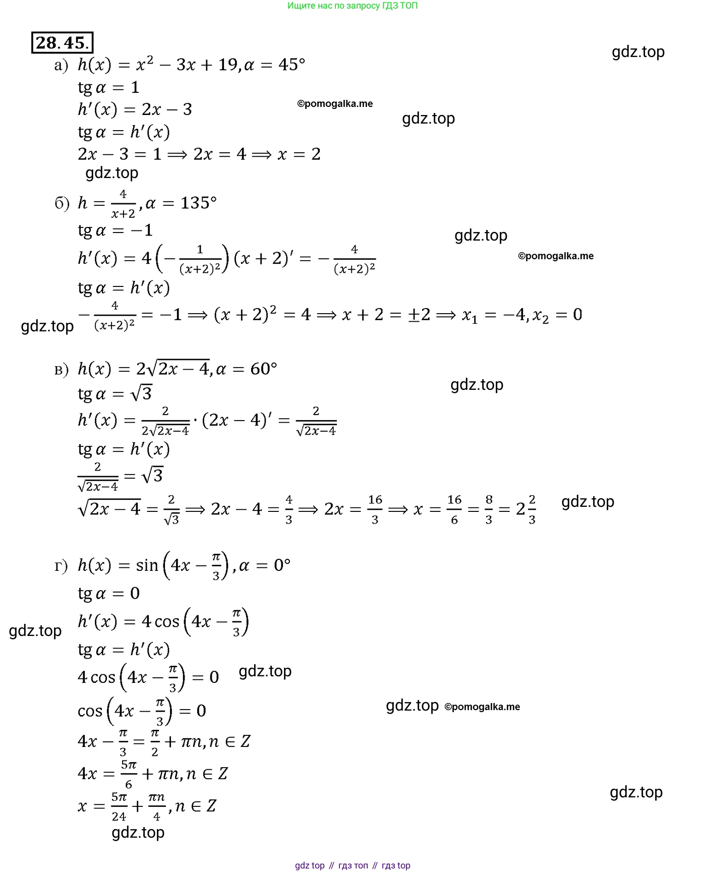
№28.45 (с. 104)
Условие. №28.45 (с. 104)
скриншот условия

28.45 Определите абсциссы точек, в которых касательные к графику функции $y = h(x)$ образуют с положительным направлением оси абсцисс заданный угол $\alpha$:
а) $h(x) = x^2 - 3x + 19, \alpha = 45^\circ;$
б) $h(x) = \frac{4}{x+2}, \alpha = 135^\circ;$
в) $h(x) = 2\sqrt{2x - 4}, \alpha = 60^\circ;$
г) $h(x) = \sin \left(4x - \frac{\pi}{3}\right), \alpha = 0^\circ.$
Решение 1. №28.45 (с. 104)

Решение 2. №28.45 (с. 104)


Решение 3. №28.45 (с. 104)

Решение 5. №28.45 (с. 104)



Решение 6. №28.45 (с. 104)
Геометрический смысл производной заключается в том, что значение производной функции $h(x)$ в точке $x_0$ равно угловому коэффициенту (тангенсу угла наклона) касательной, проведенной к графику функции в этой точке. Угловой коэффициент $k$ связан с углом наклона $\alpha$ касательной к положительному направлению оси абсцисс соотношением $k = \tan(\alpha)$. Таким образом, чтобы найти абсциссы $x$ интересующих нас точек, нужно решить уравнение $h'(x) = \tan(\alpha)$.
а) $h(x) = x^2 - 3x + 19, \alpha = 45^\circ$
Сначала найдем тангенс заданного угла: $k = \tan(45^\circ) = 1$.
Далее найдем производную функции $h(x)$: $h'(x) = (x^2 - 3x + 19)' = 2x - 3$.
Теперь приравняем производную к значению тангенса и решим полученное уравнение:
$h'(x) = k$
$2x - 3 = 1$
$2x = 4$
$x = 2$
Область определения функции — все действительные числа, поэтому найденное значение является решением.
Ответ: $x=2$.
б) $h(x) = \frac{4}{x+2}, \alpha = 135^\circ$
Найдем тангенс заданного угла: $k = \tan(135^\circ) = \tan(180^\circ - 45^\circ) = -\tan(45^\circ) = -1$.
Найдем производную функции $h(x)$: $h'(x) = \left(\frac{4}{x+2}\right)' = (4(x+2)^{-1})' = -4(x+2)^{-2} = -\frac{4}{(x+2)^2}$.
Приравняем производную к значению тангенса и решим уравнение:
$h'(x) = k$
$-\frac{4}{(x+2)^2} = -1$
$(x+2)^2 = 4$
Отсюда получаем два возможных случая:
$x+2 = 2 \implies x_1 = 0$
$x+2 = -2 \implies x_2 = -4$
Область определения функции $h(x)$ — все $x$, кроме $x=-2$. Оба корня удовлетворяют этому условию.
Ответ: $x=0; x=-4$.
в) $h(x) = 2\sqrt{2x-4}, \alpha = 60^\circ$
Найдем тангенс заданного угла: $k = \tan(60^\circ) = \sqrt{3}$.
Найдем производную функции $h(x)$. Область определения функции задается условием $2x-4 \ge 0$, то есть $x \ge 2$.
$h'(x) = (2\sqrt{2x-4})' = 2 \cdot \frac{1}{2\sqrt{2x-4}} \cdot (2x-4)' = \frac{2}{\sqrt{2x-4}}$.
Область определения производной: $2x-4 > 0$, то есть $x > 2$.
Приравняем производную к значению тангенса и решим уравнение:
$h'(x) = k$
$\frac{2}{\sqrt{2x-4}} = \sqrt{3}$
Возведем обе части в квадрат (они обе положительны):
$\frac{4}{2x-4} = 3$
$4 = 3(2x-4)$
$4 = 6x - 12$
$6x = 16$
$x = \frac{16}{6} = \frac{8}{3}$
Проверим, удовлетворяет ли корень условию $x > 2$. $x = \frac{8}{3} = 2\frac{2}{3}$, что больше 2. Следовательно, решение подходит.
Ответ: $x=\frac{8}{3}$.
г) $h(x) = \sin\left(4x - \frac{\pi}{3}\right), \alpha = 0^\circ$
Найдем тангенс заданного угла: $k = \tan(0^\circ) = 0$.
Найдем производную функции $h(x)$ по правилу дифференцирования сложной функции:
$h'(x) = \left(\sin\left(4x - \frac{\pi}{3}\right)\right)' = \cos\left(4x - \frac{\pi}{3}\right) \cdot (4x)' = 4\cos\left(4x - \frac{\pi}{3}\right)$.
Приравняем производную к нулю и решим тригонометрическое уравнение:
$h'(x) = k$
$4\cos\left(4x - \frac{\pi}{3}\right) = 0$
$\cos\left(4x - \frac{\pi}{3}\right) = 0$
Это частный случай, решение которого имеет вид: $4x - \frac{\pi}{3} = \frac{\pi}{2} + \pi n$, где $n \in \mathbb{Z}$ (множество целых чисел).
Выразим $x$:
$4x = \frac{\pi}{2} + \frac{\pi}{3} + \pi n$
$4x = \frac{3\pi+2\pi}{6} + \pi n$
$4x = \frac{5\pi}{6} + \pi n$
$x = \frac{5\pi}{24} + \frac{\pi n}{4}, n \in \mathbb{Z}$
Область определения функции — все действительные числа, поэтому все найденные значения являются решениями.
Ответ: $x = \frac{5\pi}{24} + \frac{\pi n}{4}, n \in \mathbb{Z}$.
№28.49 (с. 104)
Условие. №28.49 (с. 104)
скриншот условия

Укажите, какой формулой можно задать функцию $y = f(x)$, если:
28.49 a) $f'(x) = 6(2x - 1)^2$;
б) $f'(x) = -20(4 - 5x)^3$.
Решение 2. №28.49 (с. 104)

Решение 6. №28.49 (с. 104)
Чтобы найти функцию $y=f(x)$ по её производной $f'(x)$, необходимо найти первообразную для $f'(x)$, то есть вычислить неопределённый интеграл.
а) Дана производная $f'(x) = 6(2x - 1)^2$.
Найдём функцию $f(x)$, вычислив интеграл:
$f(x) = \int 6(2x - 1)^2 dx$
Для вычисления этого интеграла воспользуемся методом замены переменной. Пусть $u = 2x - 1$. Тогда производная от $u$ по $x$ равна $du = (2x-1)'dx = 2dx$. Отсюда выразим $dx = \frac{du}{2}$.
Подставим $u$ и $dx$ в интеграл:
$\int 6(u)^2 \frac{du}{2} = \int 3u^2 du$
Теперь вычислим интеграл по таблице интегралов ($\int u^n du = \frac{u^{n+1}}{n+1} + C$):
$3 \cdot \frac{u^3}{3} + C = u^3 + C$
где $C$ – произвольная постоянная интегрирования.
Теперь выполним обратную замену, подставив $u = 2x - 1$:
$f(x) = (2x - 1)^3 + C$
Таким образом, функция $y=f(x)$ может быть задана формулой $y = (2x - 1)^3 + C$, где $C$ — любое действительное число.
Ответ: $y = (2x - 1)^3 + C$, где $C$ – любое число.
б) Дана производная $f'(x) = -20(4 - 5x)^3$.
Найдём функцию $f(x)$, вычислив интеграл:
$f(x) = \int -20(4 - 5x)^3 dx$
Снова используем метод замены переменной. Пусть $u = 4 - 5x$. Тогда $du = (4 - 5x)'dx = -5dx$. Отсюда выразим $dx = \frac{du}{-5}$.
Подставим $u$ и $dx$ в интеграл:
$\int -20(u)^3 \frac{du}{-5} = \int 4u^3 du$
Вычислим полученный интеграл:
$4 \cdot \frac{u^4}{4} + C = u^4 + C$
где $C$ – произвольная постоянная интегрирования.
Выполним обратную замену, подставив $u = 4 - 5x$:
$f(x) = (4 - 5x)^4 + C$
Следовательно, функция $y=f(x)$ может быть задана формулой $y = (4 - 5x)^4 + C$, где $C$ — любое действительное число.
Ответ: $y = (4 - 5x)^4 + C$, где $C$ – любое число.
№28.46 (с. 104)
Условие. №28.46 (с. 104)
скриншот условия

28.46 a) Найдите корни уравнения $f(x) = 0$, принадлежащие отрезку $[0; 2]$, если известно, что $f(x) = \cos^2 x + 1 + \sin x$.
б) Найдите корни уравнения $f'(x) = 0$, принадлежащие отрезку $[\frac{\pi}{2}; \frac{3\pi}{2}]$, если известно, что $f(x) = \sin^2 x - \cos x - 1$.
Решение 1. №28.46 (с. 104)

Решение 2. №28.46 (с. 104)


Решение 3. №28.46 (с. 104)

Решение 6. №28.46 (с. 104)
а) Нам нужно найти корни уравнения $f(x) = 0$ на отрезке $[0; 2]$. Уравнение имеет вид:$ \cos^2 x + 1 + \sin x = 0 $Используем основное тригонометрическое тождество $\cos^2 x = 1 - \sin^2 x$, чтобы привести уравнение к переменной $\sin x$:$ (1 - \sin^2 x) + 1 + \sin x = 0 $$ -\sin^2 x + \sin x + 2 = 0 $Умножим обе части на $-1$:$ \sin^2 x - \sin x - 2 = 0 $Сделаем замену переменной. Пусть $t = \sin x$. Поскольку область значений синуса $[-1; 1]$, то $t \in [-1; 1]$. Получаем квадратное уравнение относительно $t$:$ t^2 - t - 2 = 0 $Решим его, например, с помощью теоремы Виета или через дискриминант. Корнями являются $t_1 = 2$ и $t_2 = -1$.Вернемся к замене:1. $ \sin x = 2 $. Это уравнение не имеет решений, так как значение синуса не может превышать 1.2. $ \sin x = -1 $. Общее решение этого уравнения имеет вид $x = -\frac{\pi}{2} + 2\pi k$, где $k$ — любое целое число.Теперь необходимо отобрать корни, принадлежащие отрезку $[0; 2]$. Для этого решим двойное неравенство:$ 0 \le -\frac{\pi}{2} + 2\pi k \le 2 $Приближенно считая $\pi \approx 3.14$, получаем:$ 0 \le -1.57 + 6.28k \le 2 $$ 1.57 \le 6.28k \le 3.57 $$ \frac{1.57}{6.28} \le k \le \frac{3.57}{6.28} $$ 0.25 \le k \le 0.568 $В данном промежутке нет ни одного целого значения $k$. Следовательно, на отрезке $[0; 2]$ уравнение не имеет корней.
Ответ: нет корней.
б) Нам нужно найти корни уравнения $f'(x) = 0$ на отрезке $[\frac{\pi}{2}; \frac{3\pi}{2}]$.Сначала найдем производную функции $f(x) = \sin^2 x - \cos x - 1$.$ f'(x) = (\sin^2 x)' - (\cos x)' - (1)' $Используя правило дифференцирования сложной функции и производные тригонометрических функций, получаем:$ f'(x) = 2\sin x \cdot (\sin x)' - (-\sin x) - 0 = 2\sin x \cos x + \sin x $Теперь решим уравнение $f'(x) = 0$:$ 2\sin x \cos x + \sin x = 0 $Вынесем общий множитель $\sin x$ за скобки:$ \sin x (2\cos x + 1) = 0 $Произведение равно нулю, если хотя бы один из множителей равен нулю.1. $ \sin x = 0 $Общее решение: $x = \pi k$, где $k \in \mathbb{Z}$.Отберем корни, принадлежащие отрезку $[\frac{\pi}{2}; \frac{3\pi}{2}]$:При $k=1$, $x=\pi$. Так как $\frac{\pi}{2} \le \pi \le \frac{3\pi}{2}$, этот корень подходит.Другие целые значения $k$ дают корни вне указанного отрезка.2. $ 2\cos x + 1 = 0 \implies \cos x = -\frac{1}{2} $Общие решения: $x = \pm\frac{2\pi}{3} + 2\pi n$, где $n \in \mathbb{Z}$.Отберем корни, принадлежащие отрезку $[\frac{\pi}{2}; \frac{3\pi}{2}]$:Из серии $x = \frac{2\pi}{3} + 2\pi n$:При $n=0, x = \frac{2\pi}{3}$. Так как $\frac{\pi}{2} < \frac{2\pi}{3} < \frac{3\pi}{2}$, этот корень подходит.Из серии $x = -\frac{2\pi}{3} + 2\pi n$:При $n=1, x = -\frac{2\pi}{3} + 2\pi = \frac{4\pi}{3}$. Так как $\frac{\pi}{2} < \frac{4\pi}{3} \le \frac{3\pi}{2}$, этот корень подходит.Другие целые значения $n$ дают корни вне указанного отрезка.Объединяем все найденные корни: $\pi, \frac{2\pi}{3}, \frac{4\pi}{3}$.
Ответ: $\frac{2\pi}{3}, \pi, \frac{4\pi}{3}$.
№1 (с. 104)
Условие. №1 (с. 104)
скриншот условия

1. Что такое $arccos a$?
Решение 6. №1 (с. 104)
Арккосинус числа $a$ (обозначается как $\arccos a$) — это одна из обратных тригонометрических функций (аркфункций), а именно, функция, обратная к косинусу.
Чтобы понять, что такое арккосинус, сначала вспомним функцию косинуса $y = \cos x$. Эта функция является периодической с периодом $2\pi$, то есть она принимает одни и те же значения бесконечное число раз. Например, $\cos(0) = 1$, $\cos(2\pi) = 1$, $\cos(4\pi) = 1$ и так далее. Из-за этой многозначности, чтобы определить обратную функцию, которая была бы однозначной, необходимо ограничить область определения косинуса. По общепринятому соглашению, для определения арккосинуса выбирается отрезок $[0, \pi]$. На этом отрезке функция $y = \cos x$ монотонно убывает от $1$ до $-1$ и принимает все свои значения ровно один раз.
Таким образом, арккосинусом числа $a$ называется такое число (угол в радианах) $y$ из отрезка $[0, \pi]$, косинус которого равен $a$.
Формально определение можно записать в виде системы:
$y = \arccos a \iff \begin{cases} \cos y = a \\ 0 \le y \le \pi \end{cases}$
Из этого определения следуют важные свойства:
- Область определения: Арккосинус определен для чисел $a$, которые могут быть значениями косинуса. Поскольку $-1 \le \cos y \le 1$, то и аргумент арккосинуса должен лежать в тех же пределах: $-1 \le a \le 1$. То есть область определения функции $y = \arccos a$ — это отрезок $[-1, 1]$.
- Область значений: По определению, значения арккосинуса лежат в отрезке $[0, \pi]$. Это и есть область значений функции $y = \arccos a$.
Примеры вычисления:
- $\arccos(1) = 0$, так как $\cos(0) = 1$ и $0 \in [0, \pi]$.
- $\arccos\left(\frac{\sqrt{3}}{2}\right) = \frac{\pi}{6}$, так как $\cos\left(\frac{\pi}{6}\right) = \frac{\sqrt{3}}{2}$ и $\frac{\pi}{6} \in [0, \pi]$.
- $\arccos\left(\frac{1}{2}\right) = \frac{\pi}{3}$, так как $\cos\left(\frac{\pi}{3}\right) = \frac{1}{2}$ и $\frac{\pi}{3} \in [0, \pi]$.
- $\arccos(0) = \frac{\pi}{2}$, так как $\cos\left(\frac{\pi}{2}\right) = 0$ и $\frac{\pi}{2} \in [0, \pi]$.
- $\arccos\left(-\frac{1}{2}\right) = \frac{2\pi}{3}$, так как $\cos\left(\frac{2\pi}{3}\right) = -\frac{1}{2}$ и $\frac{2\pi}{3} \in [0, \pi]$.
- $\arccos(-1) = \pi$, так как $\cos(\pi) = -1$ и $\pi \in [0, \pi]$.
В общем виде, арккосинус $a$ отвечает на вопрос: «какой угол из отрезка от 0 до $\pi$ радиан имеет косинус, равный $a$?»
Ответ: Арккосинусом числа $a$ ($\arccos a$) называется такое число (угол) $y$ из отрезка $[0, \pi]$, что его косинус равен $a$. То есть, $y = \arccos a$ равносильно системе: $\cos y = a$ и $0 \le y \le \pi$. Функция определена для $a \in [-1, 1]$.
№2 (с. 104)
Условие. №2 (с. 104)
скриншот условия

2. Какие из приведённых ниже чисел принадлежат области определения функции $y = \arccos x$: $-\frac{1}{7}, \frac{4}{3}, -\sqrt{2}, \frac{\sqrt{5}}{3}$?
Решение 6. №2 (с. 104)
Областью определения функции $y = \arccos x$ является отрезок $[-1, 1]$. Это означает, что аргумент функции, $x$, должен удовлетворять двойному неравенству: $-1 \le x \le 1$. Проверим каждое из предложенных чисел на соответствие этому условию.
$-\frac{1}{7}$
Проверим, выполняется ли неравенство $-1 \le -\frac{1}{7} \le 1$. Левая часть неравенства: $-1 \le -\frac{1}{7}$. Это верно, так как $-1 = -\frac{7}{7}$, а $-\frac{7}{7} < -\frac{1}{7}$. Правая часть неравенства: $-\frac{1}{7} \le 1$. Это также верно, поскольку отрицательное число всегда меньше положительного. Оба условия выполняются, следовательно, число принадлежит области определения.
Ответ: принадлежит области определения.
$\frac{4}{3}$
Проверим, выполняется ли неравенство $-1 \le \frac{4}{3} \le 1$. Число $\frac{4}{3}$ равно $1\frac{1}{3}$. Так как $1\frac{1}{3} > 1$, правая часть неравенства $\frac{4}{3} \le 1$ не выполняется. Следовательно, число не принадлежит области определения.
Ответ: не принадлежит области определения.
$-\sqrt{2}$
Проверим, выполняется ли неравенство $-1 \le -\sqrt{2} \le 1$. Приближенное значение $\sqrt{2} \approx 1.414$, значит $-\sqrt{2} \approx -1.414$. Так как $-1.414 < -1$, левая часть неравенства $-1 \le -\sqrt{2}$ не выполняется. Также можно сравнить квадраты чисел: $(-\sqrt{2})^2 = 2$ и $(-1)^2 = 1$. Поскольку $2 > 1$, то $|\sqrt{2}| > |1|$, и так как число отрицательное, $-\sqrt{2} < -1$. Следовательно, число не принадлежит области определения.
Ответ: не принадлежит области определения.
$\frac{\sqrt{5}}{3}$
Проверим, выполняется ли неравенство $-1 \le \frac{\sqrt{5}}{3} \le 1$. Поскольку число положительное, левая часть $-1 \le \frac{\sqrt{5}}{3}$ верна. Проверим правую часть: $\frac{\sqrt{5}}{3} \le 1$. Так как обе части положительны, можно возвести их в квадрат: $(\frac{\sqrt{5}}{3})^2 \le 1^2$, что дает $\frac{5}{9} \le 1$. Это неравенство верно, так как $5 < 9$. Следовательно, число принадлежит области определения.
Ответ: принадлежит области определения.
№3 (с. 104)
Условие. №3 (с. 104)
скриншот условия

3. Какие из приведённых ниже чисел принадлежат области значений функции $y = \arccos x$: $1, 3, -2, \frac{1}{3}, 3\frac{3}{7}$?
Решение 6. №3 (с. 104)
По определению, область значений функции $y = \arccos x$ — это отрезок $[0; \pi]$. Чтобы выяснить, какие из заданных чисел принадлежат этой области, необходимо проверить, попадает ли каждое из них в данный отрезок. Для этого будем сравнивать числа с границами отрезка $[0; \pi]$, используя приближенное значение $\pi \approx 3.14159$. Искомые числа должны удовлетворять двойному неравенству $0 \le y \le \pi$.
Проверка числа 1
Сравним число 1 с границами отрезка: $0 \le 1 \le \pi$. Это неравенство является верным, так как $1$ больше нуля и меньше $\pi \approx 3.14159$. Следовательно, число 1 принадлежит области значений функции.
Проверка числа 3
Сравним число 3 с границами отрезка: $0 \le 3 \le \pi$. Это неравенство является верным, так как $3$ больше нуля и меньше $\pi \approx 3.14159$. Следовательно, число 3 принадлежит области значений функции.
Проверка числа -2
Сравним число -2 с границами отрезка: $0 \le -2 \le \pi$. Это неравенство является неверным, поскольку $-2 < 0$. Следовательно, число -2 не принадлежит области значений функции.
Проверка числа $\frac{1}{3}$
Сравним число $\frac{1}{3}$ с границами отрезка: $0 \le \frac{1}{3} \le \pi$. Это неравенство является верным, так как $\frac{1}{3} \approx 0.333$, и это значение находится между 0 и $\pi$. Следовательно, число $\frac{1}{3}$ принадлежит области значений функции.
Проверка числа $3\frac{3}{7}$
Сравним число $3\frac{3}{7}$ с границами отрезка. $3\frac{3}{7} = \frac{3 \cdot 7 + 3}{7} = \frac{24}{7}$. Приближенное значение дроби $\frac{24}{7} \approx 3.42857$. Сравним с $\pi$: $3.42857 > 3.14159$, значит $3\frac{3}{7} > \pi$. Неравенство $0 \le 3\frac{3}{7} \le \pi$ является неверным. Следовательно, число $3\frac{3}{7}$ не принадлежит области значений функции.
Таким образом, из приведенного списка чисел области значений функции $y=\arccos x$ принадлежат $1, 3$ и $\frac{1}{3}$.
Ответ: $1, 3, \frac{1}{3}$.
№4 (с. 104)
Условие. №4 (с. 104)
скриншот условия

4. Как связаны между собой числа $arccos\,a$ и $arccos(-a)$, где $|a| \le 1$?
Решение 6. №4 (с. 104)
Для того чтобы найти связь между числами $\arccos(a)$ и $\arccos(-a)$, где $|a| \le 1$, мы воспользуемся определением функции арккосинуса и известными тригонометрическими тождествами.
1. По определению арккосинуса, если мы обозначим $\alpha = \arccos(a)$, то это будет означать два факта:
- $\cos(\alpha) = a$
- $0 \le \alpha \le \pi$
2. Аналогично, если мы обозначим $\beta = \arccos(-a)$, то это означает:
- $\cos(\beta) = -a$
- $0 \le \beta \le \pi$
3. Теперь подставим значение $a$ из первого пункта в равенство для $\cos(\beta)$ из второго пункта:$\cos(\beta) = -(\cos(\alpha))$
4. Мы получили соотношение $\cos(\beta) = -\cos(\alpha)$. Воспользуемся формулой приведения для косинуса, которая гласит: $\cos(\pi - x) = -\cos(x)$. Применив эту формулу, мы можем переписать наше уравнение в виде:$\cos(\beta) = \cos(\pi - \alpha)$
5. Из равенства косинусов двух углов не всегда следует равенство самих углов. Однако функция косинуса является строго монотонной (убывающей) на отрезке $[0, \pi]$, а значит, на этом отрезке каждому значению косинуса соответствует единственное значение угла. Нам нужно убедиться, что оба угла, $\beta$ и $(\pi - \alpha)$, принадлежат этому отрезку.
Проверим диапазон для $(\pi - \alpha)$. Мы знаем, что $0 \le \alpha \le \pi$.
Умножив неравенство на $-1$, получим: $-\pi \le -\alpha \le 0$.
Прибавив $\pi$ ко всем частям, получим: $\pi - \pi \le \pi - \alpha \le \pi + 0$, что дает $0 \le \pi - \alpha \le \pi$.
Поскольку оба угла, $\beta$ (по определению) и $(\pi - \alpha)$ (как мы только что показали), лежат в отрезке $[0, \pi]$, из равенства $\cos(\beta) = \cos(\pi - \alpha)$ следует равенство самих углов:$\beta = \pi - \alpha$
6. Наконец, подставим обратно исходные выражения для $\alpha$ и $\beta$:$\arccos(-a) = \pi - \arccos(a)$
Это равенство можно также записать в симметричной форме, перенеся $\arccos(a)$ в левую часть:$\arccos(a) + \arccos(-a) = \pi$
Ответ: Числа $\arccos(a)$ и $\arccos(-a)$ для любого $a$ из отрезка $[-1, 1]$ связаны тождеством $\arccos(a) + \arccos(-a) = \pi$.
№5 (с. 104)
Условие. №5 (с. 104)
скриншот условия

5. С помощью числовой окружности ответьте на следующий вопрос:
если $t_0$ — одно из решений уравнения $\cos t = \frac{1}{3}$, то как записать все остальные решения?
Решение 6. №5 (с. 104)
Для того чтобы найти все решения уравнения $\cos t = \frac{1}{3}$, зная одно из решений $t_0$, воспользуемся числовой окружностью.
1. На числовой окружности значение косинуса угла соответствует абсциссе (координате x) точки. Уравнение $\cos t = \frac{1}{3}$ означает, что мы ищем все такие углы $t$, которым на окружности соответствуют точки с абсциссой $x = \frac{1}{3}$.
2. Проведем на координатной плоскости вертикальную прямую $x = \frac{1}{3}$. Эта прямая пересечет единичную окружность в двух точках, которые симметричны относительно оси абсцисс (оси Ox).
3. По условию, $t_0$ является одним из решений. Это значит, что $t_0$ — это величина дуги (угла), которая соответствует одной из этих точек пересечения. Обозначим эту точку $P_1$.
4. Вторая точка пересечения, $P_2$, симметрична $P_1$ относительно оси Ox. Если угол, соответствующий точке $P_1$, равен $t_0$, то угол, соответствующий симметричной ей точке $P_2$, равен $-t_0$. Это следует из свойства четности функции косинус: $\cos(-t) = \cos t$. Таким образом, $\cos(-t_0) = \cos(t_0) = \frac{1}{3}$, что означает, что $-t_0$ также является решением уравнения.
5. Функция косинус является периодической с основным периодом $2\pi$. Это означает, что если некий угол является решением, то и любой угол, отличающийся от него на целое число полных оборотов ($2\pi k$, где $k$ — любое целое число), также будет решением. Точки, соответствующие этим углам, совпадают на числовой окружности.
Таким образом, мы получаем две серии решений:
- Первая серия, соответствующая точке $P_1$: все углы вида $t_0 + 2\pi k$, где $k \in \mathbb{Z}$.
- Вторая серия, соответствующая точке $P_2$: все углы вида $-t_0 + 2\pi k$, где $k \in \mathbb{Z}$.
Эти две серии и представляют собой полный набор всех решений данного уравнения.
Ответ: Все решения уравнения можно записать в виде двух серий: $t = t_0 + 2\pi k$ и $t = -t_0 + 2\pi k$, где $k$ — любое целое число ($k \in \mathbb{Z}$). Часто эти две серии объединяют в одну запись: $t = \pm t_0 + 2\pi k, k \in \mathbb{Z}$.
№6 (с. 104)
Условие. №6 (с. 104)
скриншот условия

6. Запишите в общем виде решения уравнения $ \cos x = a $, где $ |a| \le 1 $.
Решение 6. №6 (с. 104)
Для нахождения общего вида решений тригонометрического уравнения $ \cos x = a $, где по условию $ |a| \le 1 $, необходимо рассмотреть свойства функции косинус и определение арккосинуса.
1. Определение арккосинуса. Арккосинусом числа $ a $ (обозначается $ \arccos a $) называется угол из отрезка $ [0, \pi] $, косинус которого равен $ a $. Таким образом, $ \arccos a $ является одним из решений уравнения $ \cos x = a $, и это решение всегда находится в промежутке от $ 0 $ до $ \pi $.
2. Четность функции косинус. Функция $ y = \cos x $ является четной, что означает $ \cos(-x) = \cos x $ для любого $ x $. Следовательно, если $ x_0 = \arccos a $ является решением уравнения, то и $ -x_0 = -\arccos a $ также будет решением, поскольку $ \cos(-\arccos a) = \cos(\arccos a) = a $. Эти два решения, $ \arccos a $ и $ -\arccos a $, являются основными на промежутке $ [-\pi, \pi] $.
3. Периодичность функции косинус. Функция $ y = \cos x $ является периодической с наименьшим положительным периодом $ 2\pi $. Это значит, что все значения функции повторяются через каждый интервал длиной $ 2\pi $. Если $ x_0 $ является решением уравнения $ \cos x = a $, то и все числа вида $ x_0 + 2\pi k $, где $ k $ — любое целое число ($ k \in \mathbb{Z} $), также являются решениями.
Объединив эти факты, мы можем записать все решения уравнения. У нас есть две основные серии решений, которые получаются из двух базовых корней $ \arccos a $ и $ -\arccos a $ путем добавления всех возможных периодов:
$ x_1 = \arccos a + 2\pi k, \quad k \in \mathbb{Z} $
$ x_2 = -\arccos a + 2\pi k, \quad k \in \mathbb{Z} $
Эти две серии решений можно компактно записать в виде одной формулы, используя знак "плюс-минус":
$ x = \pm \arccos a + 2\pi k, \quad k \in \mathbb{Z} $
Эта формула и представляет собой общее решение уравнения $ \cos x = a $ при условии $ |a| \le 1 $.
Ответ: $ x = \pm \arccos a + 2\pi k, \text{ где } k \in \mathbb{Z} $.
Помогло решение? Оставьте отзыв в комментариях ниже.