Номер 502, страница 133 - гдз по геометрии 10-11 класс учебник Атанасян, Бутузов

Авторы: Атанасян Л. С., Бутузов В. Ф., Кадомцев С. Б., Позняк Э. Г., Киселёва Л. С.
Тип: Учебник
Издательство: Просвещение
Год издания: 2019 - 2025
Уровень обучения: базовый и углублённый
Цвет обложки: коричневый с ромбами
ISBN: 978-5-09-103606-0 (2023)
Допущено Министерством просвещения Российской Федерации
Математика: алгебра и начала математического анализа, геометрия
Популярные ГДЗ в 10 классе
Параграф 3. Объёмы наклонной призмы, пирамиды и конуса. Глава 5. Объёмы тел - номер 502, страница 133.
№502 (с. 133)
Условие. №502 (с. 133)
скриншот условия

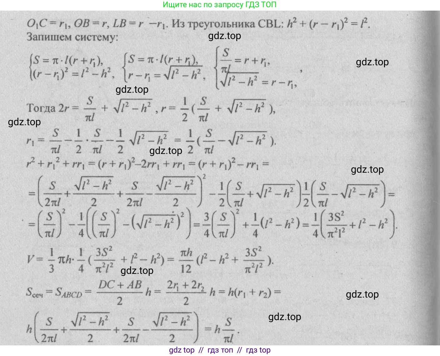
502. В усечённом конусе известны высота h, образующая l и площадь S боковой поверхности. Найдите площадь осевого сечения и объём усечённого конуса.
Решение 2. №502 (с. 133)

Решение 6. №502 (с. 133)
Для решения задачи введем обозначения: пусть $R$ и $r$ — радиусы большего и меньшего оснований усечённого конуса соответственно. По условию задачи нам известны высота $h$, образующая $l$ и площадь боковой поверхности $S$.
Площадь осевого сеченияОсевое сечение усечённого конуса является равнобокой трапецией, основаниями которой служат диаметры оснований конуса ($2R$ и $2r$), а высотой — высота конуса $h$. Площадь этой трапеции, $S_{ос}$, вычисляется по формуле средней линии, умноженной на высоту:
$S_{ос} = \frac{2R + 2r}{2} \cdot h = (R+r)h$
Площадь боковой поверхности усечённого конуса $S$ определяется формулой:
$S = \pi l (R+r)$
Из этой формулы мы можем выразить сумму радиусов оснований $(R+r)$:
$R+r = \frac{S}{\pi l}$
Теперь подставим полученное выражение для $(R+r)$ в формулу площади осевого сечения:
$S_{ос} = \left(\frac{S}{\pi l}\right) \cdot h = \frac{Sh}{\pi l}$
Ответ: Площадь осевого сечения равна $\frac{Sh}{\pi l}$.
Объём усечённого конусаОбъём усечённого конуса $V$ вычисляется по формуле:
$V = \frac{1}{3} \pi h (R^2 + Rr + r^2)$
Чтобы найти объём, нам необходимо выразить $R^2 + Rr + r^2$ через известные величины $S, h, l$. Для этого воспользуемся двумя соотношениями. Первое мы уже использовали:
$R+r = \frac{S}{\pi l}$
Второе соотношение связывает высоту $h$, образующую $l$ и радиусы $R$ и $r$ через прямоугольный треугольник, образованный высотой конуса, образующей и разностью радиусов оснований. По теореме Пифагора:
$l^2 = h^2 + (R-r)^2$
Отсюда находим разность радиусов (учитывая, что $l > h$):
$R-r = \sqrt{l^2 - h^2}$
Теперь у нас есть выражения для $R+r$ и $R-r$. Выразим $R^2 + Rr + r^2$ через них. Воспользуемся следующим алгебраическим тождеством:
$R^2 + Rr + r^2 = \frac{1}{4} \left( 3(R+r)^2 + (R-r)^2 \right)$
Подставим в это тождество наши выражения для суммы и разности радиусов:
$R^2 + Rr + r^2 = \frac{1}{4} \left( 3\left(\frac{S}{\pi l}\right)^2 + \left(\sqrt{l^2 - h^2}\right)^2 \right) = \frac{1}{4} \left( \frac{3S^2}{\pi^2 l^2} + l^2 - h^2 \right)$
Наконец, подставим это выражение в формулу для объёма усечённого конуса:
$V = \frac{1}{3} \pi h \left[ \frac{1}{4} \left( \frac{3S^2}{\pi^2 l^2} + l^2 - h^2 \right) \right]$
Упрощая, получаем окончательную формулу для объёма:
$V = \frac{\pi h}{12} \left( \frac{3S^2}{\pi^2 l^2} + l^2 - h^2 \right)$
Это выражение можно также записать в виде суммы двух слагаемых:
$V = \frac{hS^2}{4\pi l^2} + \frac{\pi h(l^2 - h^2)}{12}$
Ответ: Объём усечённого конуса равен $\frac{\pi h}{12} \left( \frac{3S^2}{\pi^2 l^2} + l^2 - h^2 \right)$.
Другие задания:
Помогло решение? Оставьте отзыв в комментариях ниже.
Присоединяйтесь к Телеграм-группе @top_gdz
ПрисоединитьсяМы подготовили для вас ответ c подробным объяснением домашего задания по геометрии за 10-11 класс, для упражнения номер 502 расположенного на странице 133 к учебнику 2019 года издания для учащихся школ и гимназий.
Теперь на нашем сайте ГДЗ.ТОП вы всегда легко и бесплатно найдёте условие с правильным ответом на вопрос «Как решить ДЗ» и «Как сделать» задание по геометрии к упражнению №502 (с. 133), авторов: Атанасян (Левон Сергеевич), Бутузов (Валентин Фёдорович), Кадомцев (Сергей Борисович), Позняк (Эдуард Генрихович), Киселёва (Людмила Сергеевна), ФГОС (старый) базовый и углублённый уровень обучения учебного пособия издательства Просвещение.