Номер 524, страница 139 - гдз по геометрии 10-11 класс учебник Атанасян, Бутузов

Авторы: Атанасян Л. С., Бутузов В. Ф., Кадомцев С. Б., Позняк Э. Г., Киселёва Л. С.
Тип: Учебник
Издательство: Просвещение
Год издания: 2019 - 2025
Уровень обучения: базовый и углублённый
Цвет обложки: коричневый с ромбами
ISBN: 978-5-09-103606-0 (2023)
Допущено Министерством просвещения Российской Федерации
Математика: алгебра и начала математического анализа, геометрия
Популярные ГДЗ в 10 классе
Параграф 4. Объём шара и площадь сферы, дополнительные задачи. Глава 5. Объёмы тел - номер 524, страница 139.
№524 (с. 139)
Условие. №524 (с. 139)
скриншот условия

524. Объём прямой призмы, основанием которой является прямоугольный треугольник, равен 3 м³, а наименьшая и наибольшая из площадей боковых граней равны 3 м² и 35 м². Найдите длины рёбер призмы.
Решение 2. №524 (с. 139)

Решение 6. №524 (с. 139)
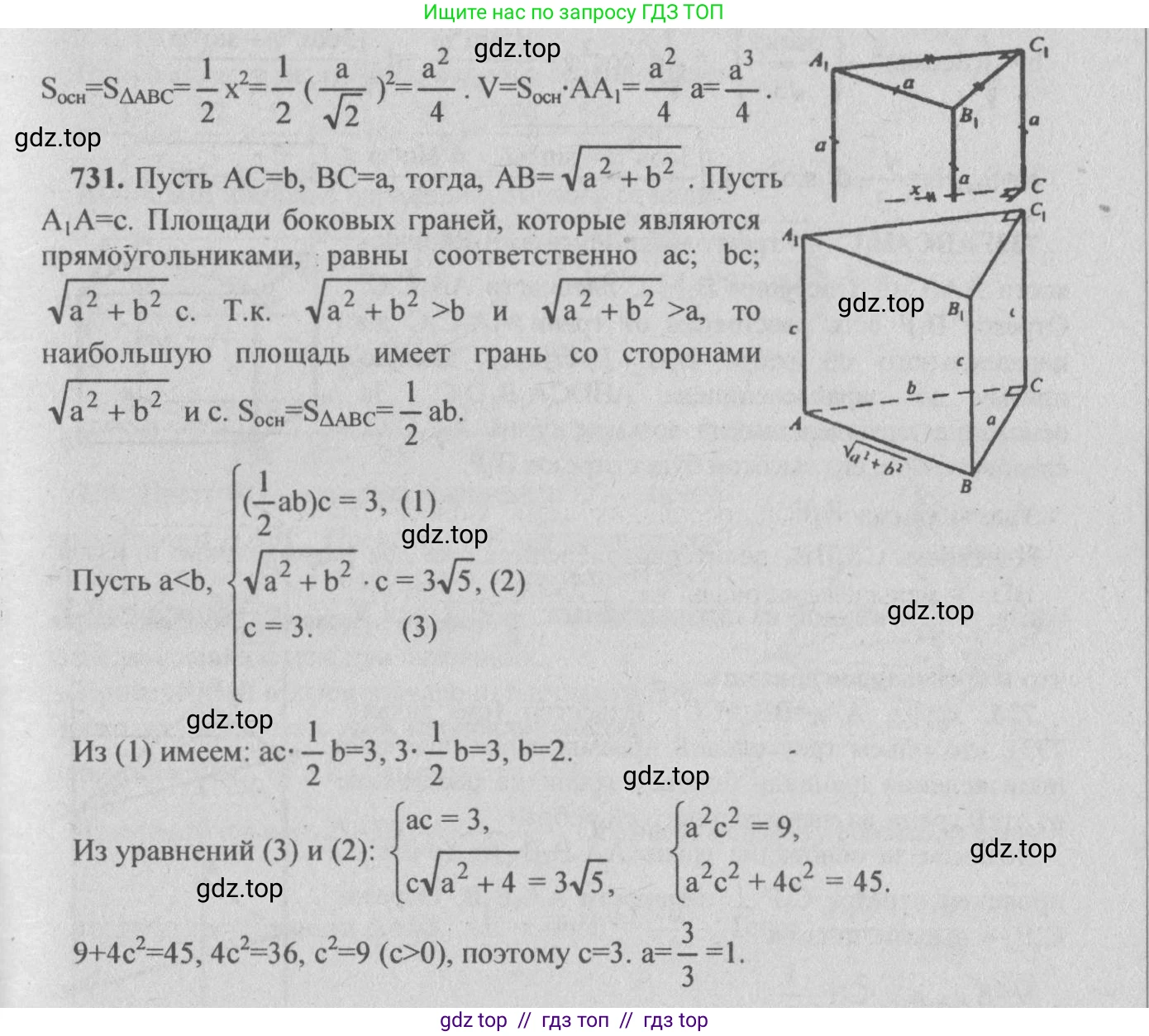
Пусть основанием прямой призмы является прямоугольный треугольник с катетами $a$ и $b$ и гипотенузой $c$. Пусть $h$ — высота призмы, которая также является длиной боковых рёбер.
Объём призмы $V$ вычисляется по формуле $V = S_{осн} \cdot h$, где $S_{осн}$ — площадь основания. Так как основание — прямоугольный треугольник, его площадь равна $S_{осн} = \frac{1}{2}ab$.
По условию, объём призмы равен $3 \text{ м}^3$:
$V = \frac{1}{2}abh = 3$
Отсюда получаем первое уравнение: $abh = 6$.
Боковыми гранями прямой призмы являются прямоугольники. Их площади равны произведениям сторон основания на высоту призмы: $S_a = ah$, $S_b = bh$ и $S_c = ch$.
В прямоугольном треугольнике гипотенуза $c$ всегда является самой длинной стороной ($a^2+b^2=c^2$, следовательно $c>a$ и $c>b$). Поэтому площадь боковой грани, соответствующей гипотенузе, будет наибольшей. Наименьшая площадь будет соответствовать наименьшему из катетов.
По условию, наименьшая и наибольшая площади боковых граней равны $3 \text{ м}^2$ и $3\sqrt{5} \text{ м}^2$. Обозначим меньший катет как $a$. Тогда:
- Наименьшая площадь: $S_{min} = ah = 3$
- Наибольшая площадь: $S_{max} = ch = 3\sqrt{5}$
Теперь у нас есть система уравнений для нахождения длин рёбер $a, b, c$ и высоты $h$:
- $abh = 6$
- $ah = 3$
- $ch = 3\sqrt{5}$
- $a^2 + b^2 = c^2$ (Теорема Пифагора для основания)
Решим эту систему.
Из уравнения (2) выразим $a = \frac{3}{h}$.
Подставим это в уравнение (1):
$(\frac{3}{h}) \cdot b \cdot h = 6$
$3b = 6$
$b = 2$ м.
Теперь выразим $a$ и $c$ через $h$ из уравнений (2) и (3):
$a = \frac{3}{h}$
$c = \frac{3\sqrt{5}}{h}$
Подставим эти выражения и значение $b=2$ в уравнение (4) (теорему Пифагора):
$(\frac{3}{h})^2 + 2^2 = (\frac{3\sqrt{5}}{h})^2$
$\frac{9}{h^2} + 4 = \frac{9 \cdot 5}{h^2}$
$\frac{9}{h^2} + 4 = \frac{45}{h^2}$
Вычтем $\frac{9}{h^2}$ из обеих частей уравнения:
$4 = \frac{45}{h^2} - \frac{9}{h^2}$
$4 = \frac{36}{h^2}$
$4h^2 = 36$
$h^2 = 9$
Так как высота $h$ должна быть положительной, $h = 3$ м.
Теперь, зная высоту $h$, найдём длины сторон основания $a$ и $c$:
$a = \frac{3}{h} = \frac{3}{3} = 1$ м.
$c = \frac{3\sqrt{5}}{h} = \frac{3\sqrt{5}}{3} = \sqrt{5}$ м.
Таким образом, мы нашли все искомые длины рёбер призмы:
- Длины рёбер основания (стороны треугольника): $a=1$ м, $b=2$ м, $c=\sqrt{5}$ м.
- Длина боковых рёбер (высота призмы): $h=3$ м.
Проверим, что $a=1$ является наименьшим катетом: $1 < 2$, что соответствует нашему предположению.
Ответ: Длины рёбер основания призмы равны $1$ м, $2$ м и $\sqrt{5}$ м. Длины боковых рёбер призмы равны $3$ м.
Другие задания:
Помогло решение? Оставьте отзыв в комментариях ниже.
Присоединяйтесь к Телеграм-группе @top_gdz
ПрисоединитьсяМы подготовили для вас ответ c подробным объяснением домашего задания по геометрии за 10-11 класс, для упражнения номер 524 расположенного на странице 139 к учебнику 2019 года издания для учащихся школ и гимназий.
Теперь на нашем сайте ГДЗ.ТОП вы всегда легко и бесплатно найдёте условие с правильным ответом на вопрос «Как решить ДЗ» и «Как сделать» задание по геометрии к упражнению №524 (с. 139), авторов: Атанасян (Левон Сергеевич), Бутузов (Валентин Фёдорович), Кадомцев (Сергей Борисович), Позняк (Эдуард Генрихович), Киселёва (Людмила Сергеевна), ФГОС (старый) базовый и углублённый уровень обучения учебного пособия издательства Просвещение.