Номер 645, страница 167 - гдз по геометрии 10-11 класс учебник Атанасян, Бутузов

Авторы: Атанасян Л. С., Бутузов В. Ф., Кадомцев С. Б., Позняк Э. Г., Киселёва Л. С.
Тип: Учебник
Издательство: Просвещение
Год издания: 2019 - 2025
Уровень обучения: базовый и углублённый
Цвет обложки: коричневый с ромбами
ISBN: 978-5-09-103606-0 (2023)
Допущено Министерством просвещения Российской Федерации
Математика: алгебра и начала математического анализа, геометрия
Популярные ГДЗ в 10 классе
§ 1. Координаты точки и координаты вектора. Глава 7. Метод координат в пространстве. Движения - номер 645, страница 167.
№645 (с. 167)
Условие. №645 (с. 167)
скриншот условия


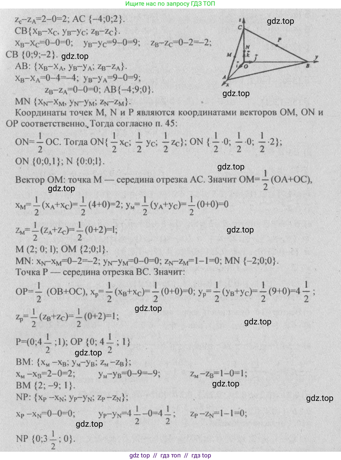
645. По данным рисунка 186 найдите координаты векторов

если ОА = 4, ОВ = 9, ОС = 2, а М, N и Р — середины отрезков АС, ОС и СВ.

Решение 2. №645 (с. 167)

Решение 4. №645 (с. 167)

Решение 5. №645 (с. 167)

Решение 6. №645 (с. 167)
Для решения задачи сначала определим координаты всех необходимых точек в трехмерной декартовой системе координат.
Из условия и рисунка следует, что начало координат O имеет координаты (0; 0; 0). Точки A, B и C лежат на положительных полуосях Ox, Oy и Oz соответственно.
- Координаты точки A: поскольку OA = 4, A(4; 0; 0).
- Координаты точки B: поскольку OB = 9, B(0; 9; 0).
- Координаты точки C: поскольку OC = 2, C(0; 0; 2).
Далее найдем координаты точек M, N и P, которые являются серединами отрезков. Координаты середины отрезка вычисляются как полусумма соответствующих координат его концов по формуле $(\frac{x_1+x_2}{2}; \frac{y_1+y_2}{2}; \frac{z_1+z_2}{2})$.
- M — середина отрезка AC: $M(\frac{4+0}{2}; \frac{0+0}{2}; \frac{0+2}{2}) = M(2; 0; 1)$.
- N — середина отрезка OC: $N(\frac{0+0}{2}; \frac{0+0}{2}; \frac{0+2}{2}) = N(0; 0; 1)$.
- P — середина отрезка CB: $P(\frac{0+0}{2}; \frac{0+9}{2}; \frac{2+0}{2}) = P(0; 4,5; 1)$.
Теперь, зная координаты начальных и конечных точек, можем найти координаты векторов. Координаты вектора $\vec{XY}$ с началом в точке $X(x_1, y_1, z_1)$ и концом в точке $Y(x_2, y_2, z_2)$ находятся по формуле $\vec{XY} = (x_2 - x_1; y_2 - y_1; z_2 - z_1)$.
$\vec{AC}$
Начало в A(4; 0; 0), конец в C(0; 0; 2).
$\vec{AC} = (0 - 4; 0 - 0; 2 - 0) = (-4; 0; 2)$.
Ответ: $\vec{AC}\{-4; 0; 2\}$.
$\vec{CB}$
Начало в C(0; 0; 2), конец в B(0; 9; 0).
$\vec{CB} = (0 - 0; 9 - 0; 0 - 2) = (0; 9; -2)$.
Ответ: $\vec{CB}\{0; 9; -2\}$.
$\vec{AB}$
Начало в A(4; 0; 0), конец в B(0; 9; 0).
$\vec{AB} = (0 - 4; 9 - 0; 0 - 0) = (-4; 9; 0)$.
Ответ: $\vec{AB}\{-4; 9; 0\}$.
$\vec{MN}$
Начало в M(2; 0; 1), конец в N(0; 0; 1).
$\vec{MN} = (0 - 2; 0 - 0; 1 - 1) = (-2; 0; 0)$.
Ответ: $\vec{MN}\{-2; 0; 0\}$.
$\vec{NP}$
Начало в N(0; 0; 1), конец в P(0; 4,5; 1).
$\vec{NP} = (0 - 0; 4,5 - 0; 1 - 1) = (0; 4,5; 0)$.
Ответ: $\vec{NP}\{0; 4,5; 0\}$.
$\vec{BM}$
Начало в B(0; 9; 0), конец в M(2; 0; 1).
$\vec{BM} = (2 - 0; 0 - 9; 1 - 0) = (2; -9; 1)$.
Ответ: $\vec{BM}\{2; -9; 1\}$.
$\vec{OM}$
Это радиус-вектор, его координаты совпадают с координатами точки M(2; 0; 1).
$\vec{OM} = (2 - 0; 0 - 0; 1 - 0) = (2; 0; 1)$.
Ответ: $\vec{OM}\{2; 0; 1\}$.
$\vec{OP}$
Это радиус-вектор, его координаты совпадают с координатами точки P(0; 4,5; 1).
$\vec{OP} = (0 - 0; 4,5 - 0; 1 - 0) = (0; 4,5; 1)$.
Ответ: $\vec{OP}\{0; 4,5; 1\}$.
Другие задания:
Помогло решение? Оставьте отзыв в комментариях ниже.
Мы подготовили для вас ответ c подробным объяснением домашего задания по геометрии за 10-11 класс, для упражнения номер 645 расположенного на странице 167 к учебнику 2019 года издания для учащихся школ и гимназий.
Теперь на нашем сайте ГДЗ.ТОП вы всегда легко и бесплатно найдёте условие с правильным ответом на вопрос «Как решить ДЗ» и «Как сделать» задание по геометрии к упражнению №645 (с. 167), авторов: Атанасян (Левон Сергеевич), Бутузов (Валентин Фёдорович), Кадомцев (Сергей Борисович), Позняк (Эдуард Генрихович), Киселёва (Людмила Сергеевна), ФГОС (старый) базовый и углублённый уровень обучения учебного пособия издательства Просвещение.