Номер 665, страница 170 - гдз по геометрии 10-11 класс учебник Атанасян, Бутузов
 
                                                Авторы: Атанасян Л. С., Бутузов В. Ф., Кадомцев С. Б., Позняк Э. Г., Киселёва Л. С.
Тип: Учебник
Издательство: Просвещение
Год издания: 2019 - 2025
Уровень обучения: базовый и углублённый
Цвет обложки: коричневый с ромбами
ISBN: 978-5-09-103606-0 (2023)
Допущено Министерством просвещения Российской Федерации
Математика: алгебра и начала математического анализа, геометрия
Популярные ГДЗ в 10 классе
Глава 7. Метод координат в пространстве. Движения. Параграф 1. Координаты точки и координаты вектора - номер 665, страница 170.
№665 (с. 170)
Условие. №665 (с. 170)
скриншот условия
 
                                665. Даны векторы
 
 Найдите:
 
 Решение 2. №665 (с. 170)
 
             
             
             
             
             
             
                            Решение 4. №665 (с. 170)
 
                            Решение 5. №665 (с. 170)
 
                            Решение 6. №665 (с. 170)
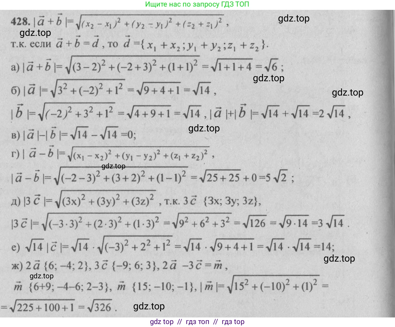
а) Чтобы найти модуль суммы векторов $|\vec{a} + \vec{b}|$, сначала найдем вектор-сумму $\vec{d} = \vec{a} + \vec{b}$. Сложение векторов производится покоординатно:
$\vec{d} = \{a_x + b_x; a_y + b_y; a_z + b_z\} = \{3 + (-2); -2 + 3; 1 + 1\} = \{1; 1; 2\}$.
Теперь найдем модуль (длину) вектора $\vec{d}$ по формуле $|\vec{d}| = \sqrt{d_x^2 + d_y^2 + d_z^2}$:
$|\vec{a} + \vec{b}| = \sqrt{1^2 + 1^2 + 2^2} = \sqrt{1 + 1 + 4} = \sqrt{6}$.
Ответ: $\sqrt{6}$
б) Чтобы найти сумму модулей векторов $|\vec{a}| + |\vec{b}|$, сначала найдем модуль каждого вектора по формуле $|\vec{v}| = \sqrt{x^2 + y^2 + z^2}$.
$|\vec{a}| = \sqrt{3^2 + (-2)^2 + 1^2} = \sqrt{9 + 4 + 1} = \sqrt{14}$.
$|\vec{b}| = \sqrt{(-2)^2 + 3^2 + 1^2} = \sqrt{4 + 9 + 1} = \sqrt{14}$.
Теперь сложим их модули:
$|\vec{a}| + |\vec{b}| = \sqrt{14} + \sqrt{14} = 2\sqrt{14}$.
Ответ: $2\sqrt{14}$
в) Чтобы найти разность модулей векторов $|\vec{a}| - |\vec{b}|$, используем уже вычисленные в предыдущем пункте значения модулей.
$|\vec{a}| = \sqrt{14}$
$|\vec{b}| = \sqrt{14}$
$|\vec{a}| - |\vec{b}| = \sqrt{14} - \sqrt{14} = 0$.
Ответ: $0$
г) Чтобы найти модуль разности векторов $|\vec{a} - \vec{b}|$, сначала найдем вектор-разность $\vec{e} = \vec{a} - \vec{b}$. Вычитание векторов производится покоординатно:
$\vec{e} = \{a_x - b_x; a_y - b_y; a_z - b_z\} = \{3 - (-2); -2 - 3; 1 - 1\} = \{5; -5; 0\}$.
Теперь найдем модуль вектора $\vec{e}$:
$|\vec{a} - \vec{b}| = \sqrt{5^2 + (-5)^2 + 0^2} = \sqrt{25 + 25 + 0} = \sqrt{50} = \sqrt{25 \cdot 2} = 5\sqrt{2}$.
Ответ: $5\sqrt{2}$
д) Чтобы найти модуль вектора $|3\vec{c}|$, можно воспользоваться свойством модуля $|k\vec{v}| = |k||\vec{v}|$.
Сначала найдем модуль вектора $\vec{c}$:
$|\vec{c}| = \sqrt{(-3)^2 + 2^2 + 1^2} = \sqrt{9 + 4 + 1} = \sqrt{14}$.
Теперь умножим его на 3:
$|3\vec{c}| = 3 \cdot |\vec{c}| = 3\sqrt{14}$.
Ответ: $3\sqrt{14}$
е) Чтобы найти значение выражения $\sqrt{14}|\vec{c}|$, нужно умножить число $\sqrt{14}$ на модуль вектора $\vec{c}$.
Модуль вектора $\vec{c}$ был найден в предыдущем пункте: $|\vec{c}| = \sqrt{14}$.
$\sqrt{14}|\vec{c}| = \sqrt{14} \cdot \sqrt{14} = 14$.
Ответ: $14$
ж) Чтобы найти модуль вектора $|2\vec{a} - 3\vec{c}|$, сначала выполним операции с векторами: умножение на скаляр и вычитание.
$2\vec{a} = 2 \cdot \{3; -2; 1\} = \{6; -4; 2\}$.
$3\vec{c} = 3 \cdot \{-3; 2; 1\} = \{-9; 6; 3\}$.
Теперь найдем вектор-разность $2\vec{a} - 3\vec{c}$:
$2\vec{a} - 3\vec{c} = \{6 - (-9); -4 - 6; 2 - 3\} = \{15; -10; -1\}$.
Наконец, найдем модуль полученного вектора:
$|2\vec{a} - 3\vec{c}| = \sqrt{15^2 + (-10)^2 + (-1)^2} = \sqrt{225 + 100 + 1} = \sqrt{326}$.
Ответ: $\sqrt{326}$
Другие задания:
Помогло решение? Оставьте отзыв в комментариях ниже.
Присоединяйтесь к Телеграм-группе @top_gdz
ПрисоединитьсяМы подготовили для вас ответ c подробным объяснением домашего задания по геометрии за 10-11 класс, для упражнения номер 665 расположенного на странице 170 к учебнику 2019 года издания для учащихся школ и гимназий.
Теперь на нашем сайте ГДЗ.ТОП вы всегда легко и бесплатно найдёте условие с правильным ответом на вопрос «Как решить ДЗ» и «Как сделать» задание по геометрии к упражнению №665 (с. 170), авторов: Атанасян (Левон Сергеевич), Бутузов (Валентин Фёдорович), Кадомцев (Сергей Борисович), Позняк (Эдуард Генрихович), Киселёва (Людмила Сергеевна), ФГОС (старый) базовый и углублённый уровень обучения учебного пособия издательства Просвещение.
 
                     
                     
                     
                     
                     
                     
                     
                     
                     
                     
                     
                     
                     
                     
                     
                     
                     
                     
                     
                    