Номер 674, страница 170 - гдз по геометрии 10-11 класс учебник Атанасян, Бутузов
 
                                                Авторы: Атанасян Л. С., Бутузов В. Ф., Кадомцев С. Б., Позняк Э. Г., Киселёва Л. С.
Тип: Учебник
Издательство: Просвещение
Год издания: 2019 - 2025
Уровень обучения: базовый и углублённый
Цвет обложки: коричневый с ромбами
ISBN: 978-5-09-103606-0 (2023)
Допущено Министерством просвещения Российской Федерации
Математика: алгебра и начала математического анализа, геометрия
Популярные ГДЗ в 10 классе
Глава 7. Метод координат в пространстве. Движения. Параграф 1. Координаты точки и координаты вектора - номер 674, страница 170.
№674 (с. 170)
Условие. №674 (с. 170)
скриншот условия
 
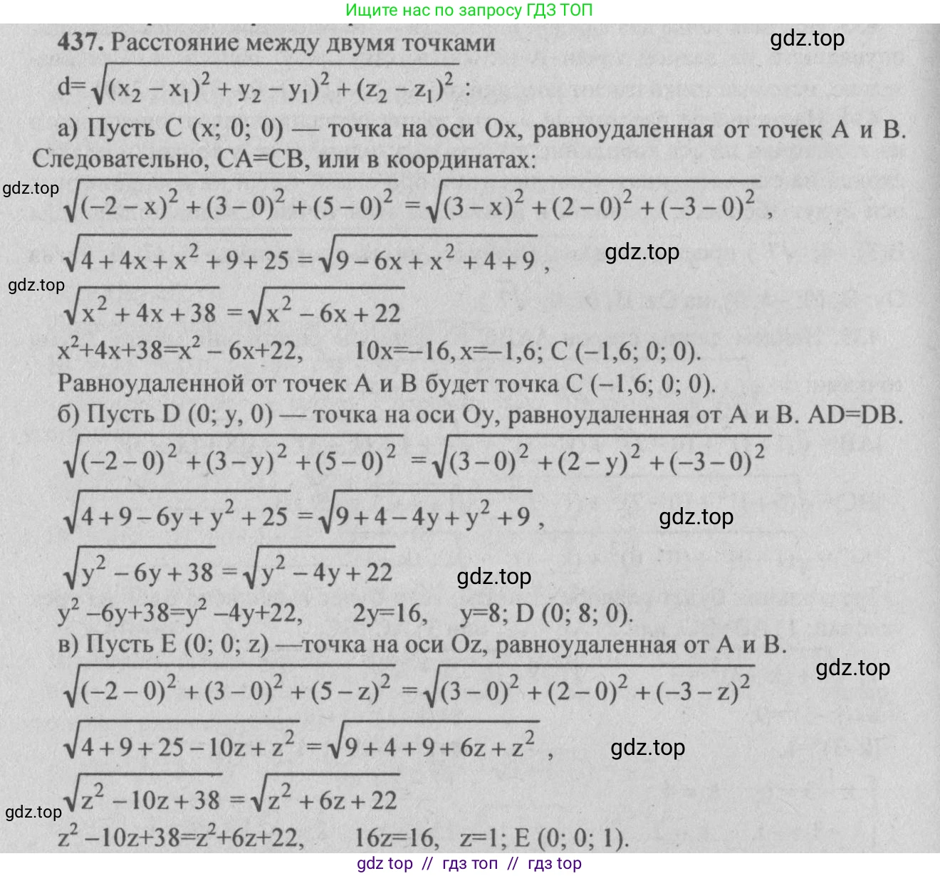
                                                                                                                                        674. Найдите точку, равноудалённую от точек A(−2; 3; 5) и B(3; 2; −3) и расположенную на оси: а) Ох; б) Оу; в) Oz.
Решение 2. №674 (с. 170)
 
                                                                            
                                                                                                         
                                                                                                                        Решение 4. №674 (с. 170)
 
                                                                            
                                                                                                         
                                                                                                                        Решение 5. №674 (с. 170)
 
                                                                                                                        Решение 6. №674 (с. 170)
Пусть искомая точка M(x, y, z) равноудалена от точек A(-2; 3; 5) и B(3; 2; -3). Это означает, что расстояние MA равно расстоянию MB. Удобнее работать с квадратами расстояний: $MA^2 = MB^2$.
Формула для квадрата расстояния между двумя точками $(x_1, y_1, z_1)$ и $(x_2, y_2, z_2)$ имеет вид:
$d^2 = (x_2 - x_1)^2 + (y_2 - y_1)^2 + (z_2 - z_1)^2$
Применяя эту формулу к точкам A, B и M, получаем общее уравнение:
$(x - (-2))^2 + (y - 3)^2 + (z - 5)^2 = (x - 3)^2 + (y - 2)^2 + (z - (-3))^2$
$(x + 2)^2 + (y - 3)^2 + (z - 5)^2 = (x - 3)^2 + (y - 2)^2 + (z + 3)^2$
а) OxИскомая точка M лежит на оси Ox, следовательно, её координаты имеют вид M(x; 0; 0). Подставим $y=0$ и $z=0$ в основное уравнение:
$(x + 2)^2 + (0 - 3)^2 + (0 - 5)^2 = (x - 3)^2 + (0 - 2)^2 + (0 + 3)^2$
$(x + 2)^2 + 9 + 25 = (x - 3)^2 + 4 + 9$
$(x + 2)^2 + 34 = (x - 3)^2 + 13$
Раскроем скобки:
$x^2 + 4x + 4 + 34 = x^2 - 6x + 9 + 13$
$x^2 + 4x + 38 = x^2 - 6x + 22$
Сократим $x^2$ и приведем подобные слагаемые:
$4x + 6x = 22 - 38$
$10x = -16$
$x = -1.6$
Следовательно, искомая точка на оси Ox – это M(-1.6; 0; 0).
Ответ: M(-1.6; 0; 0).
б) OyИскомая точка M лежит на оси Oy, следовательно, её координаты имеют вид M(0; y; 0). Подставим $x=0$ и $z=0$ в основное уравнение:
$(0 + 2)^2 + (y - 3)^2 + (0 - 5)^2 = (0 - 3)^2 + (y - 2)^2 + (0 + 3)^2$
$4 + (y - 3)^2 + 25 = 9 + (y - 2)^2 + 9$
$(y - 3)^2 + 29 = (y - 2)^2 + 18$
Раскроем скобки:
$y^2 - 6y + 9 + 29 = y^2 - 4y + 4 + 18$
$y^2 - 6y + 38 = y^2 - 4y + 22$
Сократим $y^2$ и приведем подобные слагаемые:
$38 - 22 = 6y - 4y$
$16 = 2y$
$y = 8$
Следовательно, искомая точка на оси Oy – это M(0; 8; 0).
Ответ: M(0; 8; 0).
в) OzИскомая точка M лежит на оси Oz, следовательно, её координаты имеют вид M(0; 0; z). Подставим $x=0$ и $y=0$ в основное уравнение:
$(0 + 2)^2 + (0 - 3)^2 + (z - 5)^2 = (0 - 3)^2 + (0 - 2)^2 + (z + 3)^2$
$4 + 9 + (z - 5)^2 = 9 + 4 + (z + 3)^2$
$13 + (z - 5)^2 = 13 + (z + 3)^2$
$(z - 5)^2 = (z + 3)^2$
Раскроем скобки:
$z^2 - 10z + 25 = z^2 + 6z + 9$
Сократим $z^2$ и приведем подобные слагаемые:
$25 - 9 = 6z + 10z$
$16 = 16z$
$z = 1$
Следовательно, искомая точка на оси Oz – это M(0; 0; 1).
Ответ: M(0; 0; 1).
Другие задания:
Помогло решение? Оставьте отзыв в комментариях ниже.
Присоединяйтесь к Телеграм-группе @top_gdz
ПрисоединитьсяМы подготовили для вас ответ c подробным объяснением домашего задания по геометрии за 10-11 класс, для упражнения номер 674 расположенного на странице 170 к учебнику 2019 года издания для учащихся школ и гимназий.
Теперь на нашем сайте ГДЗ.ТОП вы всегда легко и бесплатно найдёте условие с правильным ответом на вопрос «Как решить ДЗ» и «Как сделать» задание по геометрии к упражнению №674 (с. 170), авторов: Атанасян (Левон Сергеевич), Бутузов (Валентин Фёдорович), Кадомцев (Сергей Борисович), Позняк (Эдуард Генрихович), Киселёва (Людмила Сергеевна), ФГОС (старый) базовый и углублённый уровень обучения учебного пособия издательства Просвещение.
 
                     
                     
                     
                     
                     
                     
                     
                     
                     
                     
                     
                     
                     
                     
                     
                     
                     
                     
                    