Номер 675, страница 170 - гдз по геометрии 10-11 класс учебник Атанасян, Бутузов
 
                                                Авторы: Атанасян Л. С., Бутузов В. Ф., Кадомцев С. Б., Позняк Э. Г., Киселёва Л. С.
Тип: Учебник
Издательство: Просвещение
Год издания: 2019 - 2025
Уровень обучения: базовый и углублённый
Цвет обложки: коричневый с ромбами
ISBN: 978-5-09-103606-0 (2023)
Допущено Министерством просвещения Российской Федерации
Математика: алгебра и начала математического анализа, геометрия
Популярные ГДЗ в 10 классе
Глава 7. Метод координат в пространстве. Движения. Параграф 1. Координаты точки и координаты вектора - номер 675, страница 170.
№675 (с. 170)
Условие. №675 (с. 170)
скриншот условия
 
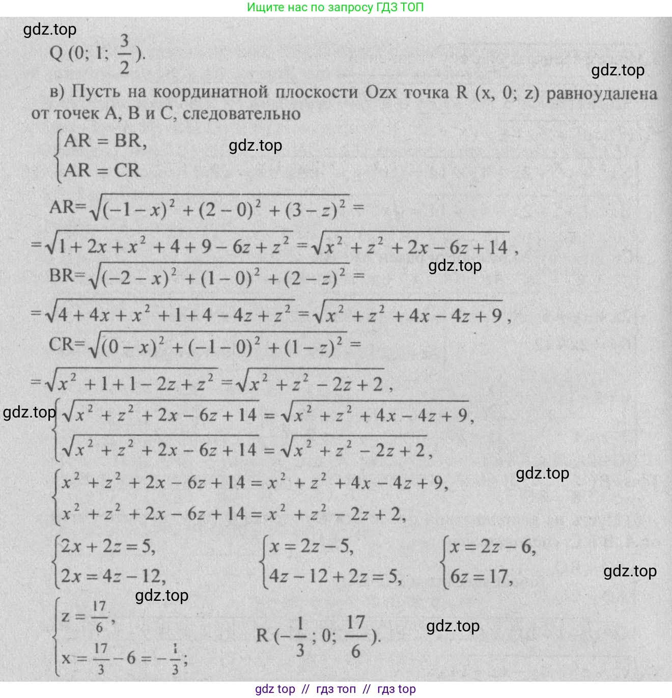
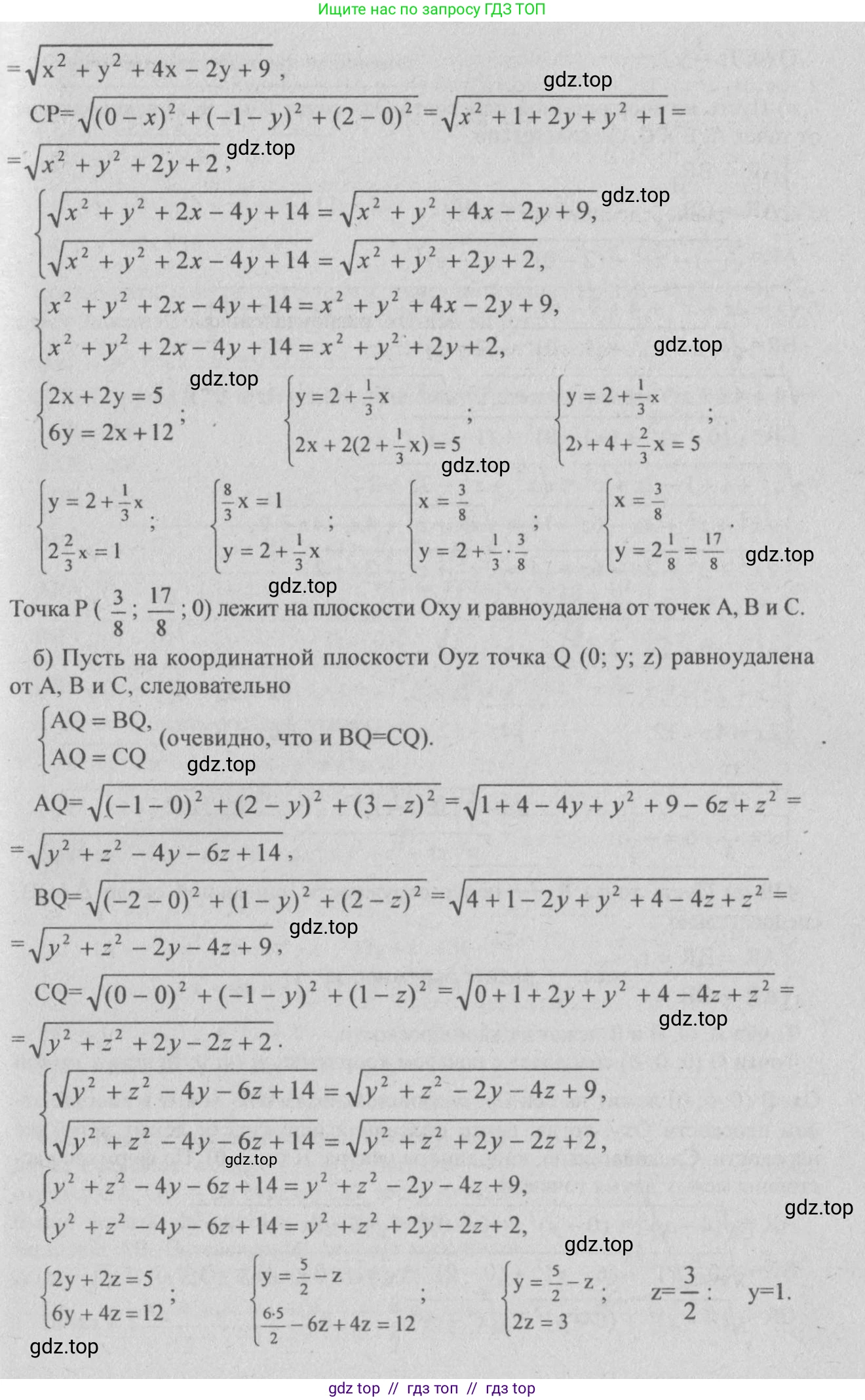
                                                                                                                                        675. Даны точки A(−1; 2; 3), B(−2; 1; 2) и C(0; −1; 1). Найдите точку, равноудалённую от этих точек и расположенную на координатной плоскости: а) Оху; б) Oyz; в) Ozx.
Решение 2. №675 (с. 170)
 
                                                                            
                                                                                                         
                                                                            
                                                                                                         
                                                                                                                        Решение 4. №675 (с. 170)
 
                                                                            
                                                                                                         
                                                                                                                        Решение 5. №675 (с. 170)
 
                                                                                                                        Решение 6. №675 (с. 170)
Пусть искомая точка $M$ имеет координаты $(x; y; z)$. По условию, точка $M$ равноудалена от точек $A(-1; 2; 3)$, $B(-2; 1; 2)$ и $C(0; -1; 1)$. Это означает, что расстояния $MA$, $MB$ и $MC$ равны: $MA = MB = MC$. Для удобства вычислений будем использовать квадраты расстояний: $MA^2 = MB^2 = MC^2$.
Квадрат расстояния между двумя точками $P_1(x_1; y_1; z_1)$ и $P_2(x_2; y_2; z_2)$ вычисляется по формуле: $d^2 = (x_2-x_1)^2 + (y_2-y_1)^2 + (z_2-z_1)^2$. Запишем квадраты расстояний от точки $M$ до точек $A, B, C$:
$MA^2 = (x - (-1))^2 + (y - 2)^2 + (z - 3)^2 = (x + 1)^2 + (y - 2)^2 + (z - 3)^2$
$MB^2 = (x - (-2))^2 + (y - 1)^2 + (z - 2)^2 = (x + 2)^2 + (y - 1)^2 + (z - 2)^2$
$MC^2 = (x - 0)^2 + (y - (-1))^2 + (z - 1)^2 = x^2 + (y + 1)^2 + (z - 1)^2$
Составим систему уравнений из условия $MA^2 = MB^2$ и $MA^2 = MC^2$.
1) Из $MA^2 = MB^2$ получаем:
$(x + 1)^2 + (y - 2)^2 + (z - 3)^2 = (x + 2)^2 + (y - 1)^2 + (z - 2)^2$
Раскроем скобки: $x^2 + 2x + 1 + y^2 - 4y + 4 + z^2 - 6z + 9 = x^2 + 4x + 4 + y^2 - 2y + 1 + z^2 - 4z + 4$
Упростим, сократив одинаковые члены в обеих частях: $2x - 4y - 6z + 14 = 4x - 2y - 4z + 9$
Перенесем все переменные в одну сторону, а числа в другую: $14 - 9 = (4x - 2x) + (-2y + 4y) + (-4z + 6z)$
$5 = 2x + 2y + 2z$ (1)
2) Из $MA^2 = MC^2$ получаем:
$(x + 1)^2 + (y - 2)^2 + (z - 3)^2 = x^2 + (y + 1)^2 + (z - 1)^2$
Раскроем скобки: $x^2 + 2x + 1 + y^2 - 4y + 4 + z^2 - 6z + 9 = x^2 + y^2 + 2y + 1 + z^2 - 2z + 1$
Упростим: $2x - 4y - 6z + 14 = 2y - 2z + 2$
$14 - 2 = -2x + (2y + 4y) + (-2z + 6z)$
$12 = 2x + 6y + 4z$
Разделим обе части на 2: $6 = x + 3y + 2z$ (2)
Теперь решим систему уравнений (1) и (2) для каждого из трех случаев.
а) Oxy
Если точка лежит на плоскости Oxy, ее координата $z=0$. Подставим $z=0$ в систему уравнений (1) и (2):
$\begin{cases} 2x + 2y = 5 \\ x + 3y = 6 \end{cases}$
Из второго уравнения выразим $x$: $x = 6 - 3y$.
Подставим это выражение в первое уравнение: $2(6 - 3y) + 2y = 5$.
$12 - 6y + 2y = 5 \Rightarrow 12 - 4y = 5 \Rightarrow 4y = 7 \Rightarrow y = \frac{7}{4}$.
Теперь найдем $x$: $x = 6 - 3 \cdot \frac{7}{4} = \frac{24}{4} - \frac{21}{4} = \frac{3}{4}$.
Искомая точка имеет координаты $(\frac{3}{4}; \frac{7}{4}; 0)$.
Ответ: $(\frac{3}{4}; \frac{7}{4}; 0)$.
б) Oyz
Если точка лежит на плоскости Oyz, ее координата $x=0$. Подставим $x=0$ в систему уравнений (1) и (2):
$\begin{cases} 2y + 2z = 5 \\ 3y + 2z = 6 \end{cases}$
Вычтем первое уравнение из второго: $(3y + 2z) - (2y + 2z) = 6 - 5$, что дает $y = 1$.
Подставим $y=1$ в первое уравнение: $2(1) + 2z = 5 \Rightarrow 2 + 2z = 5 \Rightarrow 2z = 3 \Rightarrow z = \frac{3}{2}$.
Искомая точка имеет координаты $(0; 1; \frac{3}{2})$.
Ответ: $(0; 1; \frac{3}{2})$.
в) Ozx
Если точка лежит на плоскости Ozx, ее координата $y=0$. Подставим $y=0$ в систему уравнений (1) и (2):
$\begin{cases} 2x + 2z = 5 \\ x + 2z = 6 \end{cases}$
Вычтем второе уравнение из первого: $(2x + 2z) - (x + 2z) = 5 - 6$, что дает $x = -1$.
Подставим $x = -1$ во второе уравнение: $-1 + 2z = 6 \Rightarrow 2z = 7 \Rightarrow z = \frac{7}{2}$.
Искомая точка имеет координаты $(-1; 0; \frac{7}{2})$.
Ответ: $(-1; 0; \frac{7}{2})$.
Другие задания:
Помогло решение? Оставьте отзыв в комментариях ниже.
Присоединяйтесь к Телеграм-группе @top_gdz
ПрисоединитьсяМы подготовили для вас ответ c подробным объяснением домашего задания по геометрии за 10-11 класс, для упражнения номер 675 расположенного на странице 170 к учебнику 2019 года издания для учащихся школ и гимназий.
Теперь на нашем сайте ГДЗ.ТОП вы всегда легко и бесплатно найдёте условие с правильным ответом на вопрос «Как решить ДЗ» и «Как сделать» задание по геометрии к упражнению №675 (с. 170), авторов: Атанасян (Левон Сергеевич), Бутузов (Валентин Фёдорович), Кадомцев (Сергей Борисович), Позняк (Эдуард Генрихович), Киселёва (Людмила Сергеевна), ФГОС (старый) базовый и углублённый уровень обучения учебного пособия издательства Просвещение.
 
                     
                     
                     
                     
                     
                     
                     
                     
                     
                     
                     
                     
                     
                     
                     
                     
                     
                     
                    