Номер 681, страница 171 - гдз по геометрии 10-11 класс учебник Атанасян, Бутузов
 
                                                Авторы: Атанасян Л. С., Бутузов В. Ф., Кадомцев С. Б., Позняк Э. Г., Киселёва Л. С.
Тип: Учебник
Издательство: Просвещение
Год издания: 2019 - 2025
Уровень обучения: базовый и углублённый
Цвет обложки: коричневый с ромбами
ISBN: 978-5-09-103606-0 (2023)
Допущено Министерством просвещения Российской Федерации
Математика: алгебра и начала математического анализа, геометрия
Популярные ГДЗ в 10 классе
Глава 7. Метод координат в пространстве. Движения. Параграф 1. Координаты точки и координаты вектора - номер 681, страница 171.
№681 (с. 171)
Условие. №681 (с. 171)
скриншот условия
 
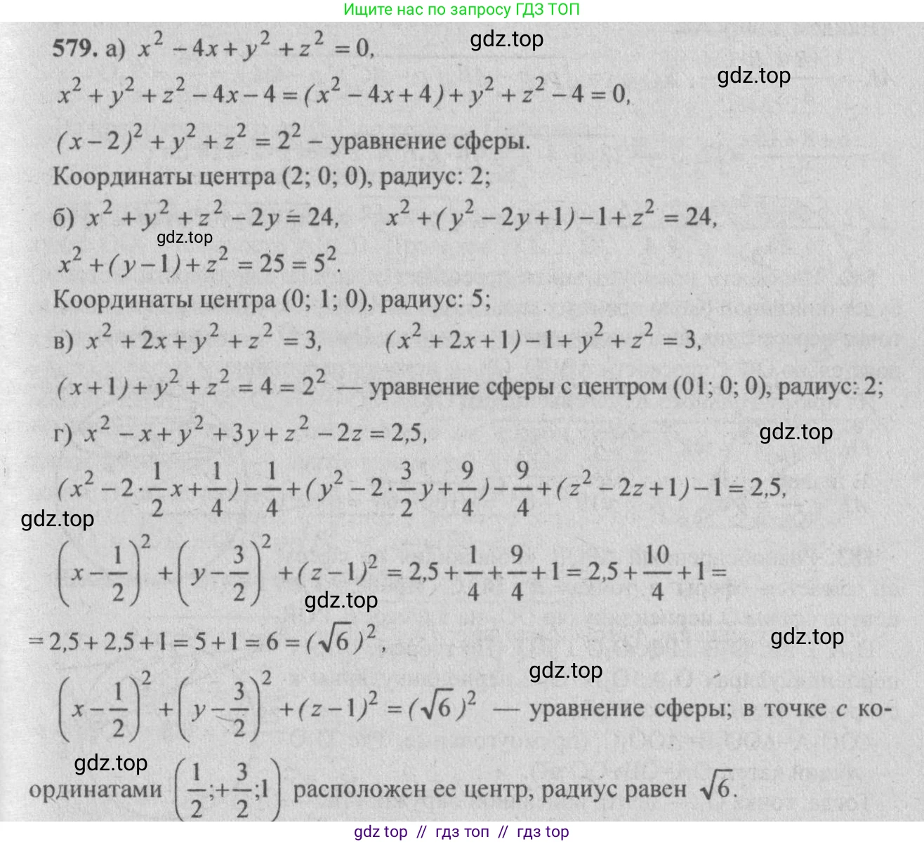
                                                                                                                                        681. Докажите, что каждое из следующих уравнений является уравнением сферы. Найдите координаты центра и радиус этой сферы:
 
 Решение 2. №681 (с. 171)
 
                                                                            
                                                                                                         
                                                                            
                                                                                                         
                                                                            
                                                                                                         
                                                                                                                        Решение 4. №681 (с. 171)
 
                                                                                                                        Решение 5. №681 (с. 171)
 
                                                                                                                        Решение 6. №681 (с. 171)
Для того чтобы доказать, что каждое из данных уравнений является уравнением сферы, мы приведем их к каноническому виду уравнения сферы: $(x - x_0)^2 + (y - y_0)^2 + (z - z_0)^2 = R^2$, где $(x_0, y_0, z_0)$ — координаты центра сферы, а $R$ — ее радиус. Этот процесс выполняется с помощью метода выделения полного квадрата для каждой переменной.
а) Исходное уравнение: $x^2 - 4x + y^2 + z^2 = 0$.
Сгруппируем члены с переменной $x$ и выделим полный квадрат по формуле $(a-b)^2 = a^2 - 2ab + b^2$:
$(x^2 - 2 \cdot x \cdot 2 + 2^2) - 2^2 + y^2 + z^2 = 0$
$(x - 2)^2 - 4 + y^2 + z^2 = 0$
Перенесем свободный член в правую часть:
$(x - 2)^2 + y^2 + z^2 = 4$
Данное уравнение соответствует каноническому виду $(x - 2)^2 + (y - 0)^2 + (z - 0)^2 = 2^2$. Поскольку правая часть $R^2 = 4 > 0$, это уравнение является уравнением сферы. Координаты центра: $(2; 0; 0)$.
Радиус: $R = \sqrt{4} = 2$.
Ответ: Центр $(2; 0; 0)$, радиус $2$.
б) Исходное уравнение: $x^2 + y^2 + z^2 - 2y = 24$.
Сгруппируем члены с переменной $y$ и выделим полный квадрат:
$x^2 + (y^2 - 2y) + z^2 = 24$
$x^2 + (y^2 - 2 \cdot y \cdot 1 + 1^2) - 1^2 + z^2 = 24$
$x^2 + (y - 1)^2 - 1 + z^2 = 24$
Перенесем свободный член в правую часть:
$x^2 + (y - 1)^2 + z^2 = 25$
Канонический вид уравнения: $(x - 0)^2 + (y - 1)^2 + (z - 0)^2 = 5^2$.
Это уравнение сферы, так как $R^2 = 25 > 0$.
Координаты центра: $(0; 1; 0)$.
Радиус: $R = \sqrt{25} = 5$.
Ответ: Центр $(0; 1; 0)$, радиус $5$.
в) Исходное уравнение: $x^2 + 2x + y^2 + z^2 = 3$.
Сгруппируем члены с переменной $x$ и выделим полный квадрат по формуле $(a+b)^2 = a^2 + 2ab + b^2$:
$(x^2 + 2x) + y^2 + z^2 = 3$
$(x^2 + 2 \cdot x \cdot 1 + 1^2) - 1^2 + y^2 + z^2 = 3$
$(x + 1)^2 - 1 + y^2 + z^2 = 3$
Перенесем свободный член в правую часть:
$(x + 1)^2 + y^2 + z^2 = 4$
Канонический вид уравнения: $(x - (-1))^2 + (y - 0)^2 + (z - 0)^2 = 2^2$.
Это уравнение сферы, так как $R^2 = 4 > 0$.
Координаты центра: $(-1; 0; 0)$.
Радиус: $R = \sqrt{4} = 2$.
Ответ: Центр $(-1; 0; 0)$, радиус $2$.
г) Исходное уравнение: $x^2 - x + y^2 + 3y + z^2 - 2z = 2,5$.
Сгруппируем члены для каждой переменной и выделим полные квадраты:
$(x^2 - x) + (y^2 + 3y) + (z^2 - 2z) = 2,5$
$(x^2 - 2 \cdot x \cdot \frac{1}{2} + (\frac{1}{2})^2) - (\frac{1}{2})^2 + (y^2 + 2 \cdot y \cdot \frac{3}{2} + (\frac{3}{2})^2) - (\frac{3}{2})^2 + (z^2 - 2 \cdot z \cdot 1 + 1^2) - 1^2 = 2,5$
$(x - \frac{1}{2})^2 - \frac{1}{4} + (y + \frac{3}{2})^2 - \frac{9}{4} + (z - 1)^2 - 1 = 2,5$
Перенесем свободные члены в правую часть:
$(x - \frac{1}{2})^2 + (y + \frac{3}{2})^2 + (z - 1)^2 = 2,5 + \frac{1}{4} + \frac{9}{4} + 1$
$(x - \frac{1}{2})^2 + (y + \frac{3}{2})^2 + (z - 1)^2 = 2,5 + 0,25 + 2,25 + 1$
$(x - \frac{1}{2})^2 + (y + \frac{3}{2})^2 + (z - 1)^2 = 6$
Канонический вид уравнения: $(x - \frac{1}{2})^2 + (y - (-\frac{3}{2}))^2 + (z - 1)^2 = (\sqrt{6})^2$.
Это уравнение сферы, так как $R^2 = 6 > 0$.
Координаты центра: $(\frac{1}{2}; -\frac{3}{2}; 1)$.
Радиус: $R = \sqrt{6}$.
Ответ: Центр $(\frac{1}{2}; -\frac{3}{2}; 1)$, радиус $\sqrt{6}$.
Другие задания:
Помогло решение? Оставьте отзыв в комментариях ниже.
Присоединяйтесь к Телеграм-группе @top_gdz
ПрисоединитьсяМы подготовили для вас ответ c подробным объяснением домашего задания по геометрии за 10-11 класс, для упражнения номер 681 расположенного на странице 171 к учебнику 2019 года издания для учащихся школ и гимназий.
Теперь на нашем сайте ГДЗ.ТОП вы всегда легко и бесплатно найдёте условие с правильным ответом на вопрос «Как решить ДЗ» и «Как сделать» задание по геометрии к упражнению №681 (с. 171), авторов: Атанасян (Левон Сергеевич), Бутузов (Валентин Фёдорович), Кадомцев (Сергей Борисович), Позняк (Эдуард Генрихович), Киселёва (Людмила Сергеевна), ФГОС (старый) базовый и углублённый уровень обучения учебного пособия издательства Просвещение.
 
                     
                     
                     
                     
                     
                     
                     
                     
                     
                     
                     
                     
                     
                     
                     
                     
                     
                     
                     
                    