Номер 755, страница 188 - гдз по геометрии 10-11 класс учебник Атанасян, Бутузов

Авторы: Атанасян Л. С., Бутузов В. Ф., Кадомцев С. Б., Позняк Э. Г., Киселёва Л. С.
Тип: Учебник
Издательство: Просвещение
Год издания: 2019 - 2025
Уровень обучения: базовый и углублённый
Цвет обложки: коричневый с ромбами
ISBN: 978-5-09-103606-0 (2023)
Допущено Министерством просвещения Российской Федерации
Математика: алгебра и начала математического анализа, геометрия
Популярные ГДЗ в 10 классе
Параграф 3. Движения, дополнительные задачи. Глава 7. Метод координат в пространстве. Движения - номер 755, страница 188.
№755 (с. 188)
Условие. №755 (с. 188)
скриншот условия

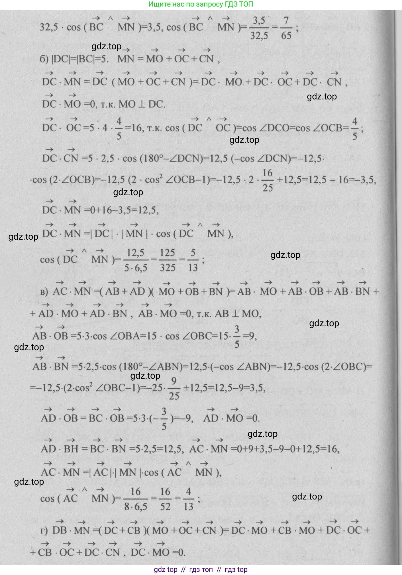
755. Проекция точки М на плоскость ромба ABCD совпадает с точкой О пересечения его диагоналей. Точка N — середина стороны ВС, АС = 8, DB = MO = 6. Вычислите косинус угла между прямой MN и прямой: а) ВС; б) DC; в) АС; г) DB.
Решение 2. №755 (с. 188)




Решение 5. №755 (с. 188)

Решение 6. №755 (с. 188)
Для решения задачи воспользуемся методом координат. По условию, проекция точки $M$ на плоскость ромба $ABCD$ — это точка $O$ пересечения его диагоналей. Это означает, что отрезок $MO$ перпендикулярен плоскости ромба.
Введем прямоугольную систему координат с началом в точке $O(0, 0, 0)$. Так как диагонали ромба взаимно перпендикулярны, направим ось $Ox$ вдоль диагонали $DB$, а ось $Oy$ — вдоль диагонали $AC$. Тогда ось $Oz$ будет направлена вдоль отрезка $OM$.
Определим координаты вершин ромба и точек $M$ и $N$:
Поскольку $AC = 8$, а точка $O$ — ее середина, то $AO = OC = 4$. Координаты вершин: $A(0, -4, 0)$ и $C(0, 4, 0)$.
Поскольку $DB = 6$, а точка $O$ — ее середина, то $DO = OB = 3$. Координаты вершин: $D(-3, 0, 0)$ и $B(3, 0, 0)$.
Поскольку $MO = 6$ и $MO$ перпендикулярен плоскости $xy$, координаты точки $M$ будут $(0, 0, 6)$.
Точка $N$ — середина стороны $BC$. Ее координаты вычисляются как среднее арифметическое координат точек $B$ и $C$: $N(\frac{3+0}{2}; \frac{0+4}{2}; \frac{0+0}{2}) = N(1.5, 2, 0)$.
Косинус угла $\alpha$ между двумя прямыми, заданными направляющими векторами $\vec{a}$ и $\vec{b}$, находится по формуле: $\cos \alpha = \frac{|\vec{a} \cdot \vec{b}|}{|\vec{a}| \cdot |\vec{b}|}$.
Найдем направляющий вектор прямой $MN$ и его длину (модуль):
$\vec{MN} = \{1.5 - 0; 2 - 0; 0 - 6\} = \{1.5; 2; -6\}$.
$|\vec{MN}| = \sqrt{1.5^2 + 2^2 + (-6)^2} = \sqrt{2.25 + 4 + 36} = \sqrt{42.25} = 6.5$.
Теперь вычислим косинусы углов для каждого случая.
а) BC
Найдем направляющий вектор прямой $BC$ и его длину:
$\vec{BC} = \{0 - 3; 4 - 0; 0 - 0\} = \{-3; 4; 0\}$.
$|\vec{BC}| = \sqrt{(-3)^2 + 4^2 + 0^2} = \sqrt{9 + 16} = \sqrt{25} = 5$.
Скалярное произведение векторов $\vec{MN}$ и $\vec{BC}$:
$\vec{MN} \cdot \vec{BC} = 1.5 \cdot (-3) + 2 \cdot 4 + (-6) \cdot 0 = -4.5 + 8 = 3.5$.
Косинус угла между $MN$ и $BC$:
$\cos \alpha = \frac{|3.5|}{6.5 \cdot 5} = \frac{3.5}{32.5} = \frac{7}{65}$.
Ответ: $\frac{7}{65}$.
б) DC
Найдем направляющий вектор прямой $DC$ и его длину:
$\vec{DC} = \{0 - (-3); 4 - 0; 0 - 0\} = \{3; 4; 0\}$.
$|\vec{DC}| = \sqrt{3^2 + 4^2 + 0^2} = \sqrt{9 + 16} = \sqrt{25} = 5$.
Скалярное произведение векторов $\vec{MN}$ и $\vec{DC}$:
$\vec{MN} \cdot \vec{DC} = 1.5 \cdot 3 + 2 \cdot 4 + (-6) \cdot 0 = 4.5 + 8 = 12.5$.
Косинус угла между $MN$ и $DC$:
$\cos \beta = \frac{|12.5|}{6.5 \cdot 5} = \frac{12.5}{32.5} = \frac{25}{65} = \frac{5}{13}$.
Ответ: $\frac{5}{13}$.
в) AC
Направляющим вектором прямой $AC$ является вектор $\vec{AC} = \{0; 8; 0\}$. Для удобства можно использовать коллинеарный ему единичный вектор $\vec{j} = \{0; 1; 0\}$ с длиной $|\vec{j}| = 1$.
Скалярное произведение векторов $\vec{MN}$ и $\vec{j}$:
$\vec{MN} \cdot \vec{j} = 1.5 \cdot 0 + 2 \cdot 1 + (-6) \cdot 0 = 2$.
Косинус угла между $MN$ и $AC$:
$\cos \gamma = \frac{|2|}{6.5 \cdot 1} = \frac{2}{6.5} = \frac{4}{13}$.
Ответ: $\frac{4}{13}$.
г) DB
Направляющим вектором прямой $DB$ является вектор $\vec{DB} = \{6; 0; 0\}$. Для удобства можно использовать коллинеарный ему единичный вектор $\vec{i} = \{1; 0; 0\}$ с длиной $|\vec{i}| = 1$.
Скалярное произведение векторов $\vec{MN}$ и $\vec{i}$:
$\vec{MN} \cdot \vec{i} = 1.5 \cdot 1 + 2 \cdot 0 + (-6) \cdot 0 = 1.5$.
Косинус угла между $MN$ и $DB$:
$\cos \delta = \frac{|1.5|}{6.5 \cdot 1} = \frac{1.5}{6.5} = \frac{3}{13}$.
Ответ: $\frac{3}{13}$.
Другие задания:
Помогло решение? Оставьте отзыв в комментариях ниже.
Присоединяйтесь к Телеграм-группе @top_gdz
ПрисоединитьсяМы подготовили для вас ответ c подробным объяснением домашего задания по геометрии за 10-11 класс, для упражнения номер 755 расположенного на странице 188 к учебнику 2019 года издания для учащихся школ и гимназий.
Теперь на нашем сайте ГДЗ.ТОП вы всегда легко и бесплатно найдёте условие с правильным ответом на вопрос «Как решить ДЗ» и «Как сделать» задание по геометрии к упражнению №755 (с. 188), авторов: Атанасян (Левон Сергеевич), Бутузов (Валентин Фёдорович), Кадомцев (Сергей Борисович), Позняк (Эдуард Генрихович), Киселёва (Людмила Сергеевна), ФГОС (старый) базовый и углублённый уровень обучения учебного пособия издательства Просвещение.