Страница 78 - гдз по алгебре 7 класс учебник Мерзляк, Полонский

Авторы: Мерзляк А. Г., Полонский В. Б., Якир М. С.
Тип: Учебник
Издательство: Просвещение, Вентана-граф
Год издания: 2016 - 2022
Цвет обложки:
ISBN: 978-5-360-07440-3
Рекомендовано Министерством образования и науки Российской Федерации
Популярные ГДЗ в 7 классе
Cтраница 78

№407 (с. 78)
Условие. №407 (с. 78)

Решение 1. №407 (с. 78)

Решение 2. №407 (с. 78)

Решение 3. №407 (с. 78)

Решение 4. №407 (с. 78)

Решение 5. №407 (с. 78)

№408 (с. 78)
Условие. №408 (с. 78)

Решение 1. №408 (с. 78)

Решение 2. №408 (с. 78)

Решение 3. №408 (с. 78)

Решение 4. №408 (с. 78)

Решение 5. №408 (с. 78)

№409 (с. 78)
Условие. №409 (с. 78)

Решение 1. №409 (с. 78)

Решение 2. №409 (с. 78)

Решение 3. №409 (с. 78)

Решение 4. №409 (с. 78)

Решение 5. №409 (с. 78)

№410 (с. 78)
Условие. №410 (с. 78)

Решение 1. №410 (с. 78)

Решение 2. №410 (с. 78)

Решение 3. №410 (с. 78)

Решение 4. №410 (с. 78)

Решение 5. №410 (с. 78)

№411 (с. 78)
Условие. №411 (с. 78)

Решение 1. №411 (с. 78)

Решение 2. №411 (с. 78)

Решение 3. №411 (с. 78)

Решение 4. №411 (с. 78)

Решение 5. №411 (с. 78)

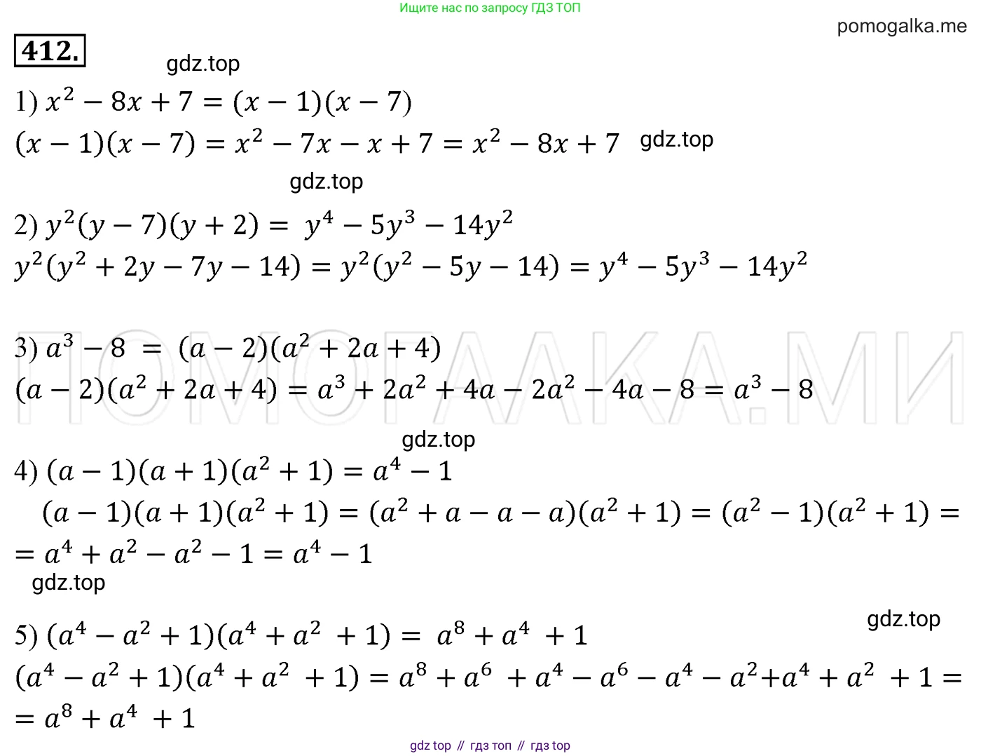
№412 (с. 78)
Условие. №412 (с. 78)

Решение 1. №412 (с. 78)





Решение 2. №412 (с. 78)

Решение 3. №412 (с. 78)

Решение 4. №412 (с. 78)

Решение 5. №412 (с. 78)

№413 (с. 78)
Условие. №413 (с. 78)

Решение 1. №413 (с. 78)



Решение 2. №413 (с. 78)

Решение 3. №413 (с. 78)

Решение 4. №413 (с. 78)

Решение 5. №413 (с. 78)

№414 (с. 78)
Условие. №414 (с. 78)

Решение 1. №414 (с. 78)

Решение 2. №414 (с. 78)

Решение 3. №414 (с. 78)

Решение 4. №414 (с. 78)

Решение 5. №414 (с. 78)

№415 (с. 78)
Условие. №415 (с. 78)

Решение 1. №415 (с. 78)

Решение 2. №415 (с. 78)

Решение 3. №415 (с. 78)

Решение 4. №415 (с. 78)

Решение 5. №415 (с. 78)

№416 (с. 78)
Условие. №416 (с. 78)

Решение 1. №416 (с. 78)


Решение 2. №416 (с. 78)

Решение 3. №416 (с. 78)

Решение 4. №416 (с. 78)

Решение 5. №416 (с. 78)

№417 (с. 78)
Условие. №417 (с. 78)

Решение 1. №417 (с. 78)


Решение 2. №417 (с. 78)

Решение 3. №417 (с. 78)

Решение 4. №417 (с. 78)

Решение 5. №417 (с. 78)

№418 (с. 78)
Условие. №418 (с. 78)

Решение 1. №418 (с. 78)

Решение 2. №418 (с. 78)

Решение 3. №418 (с. 78)

Решение 4. №418 (с. 78)

Решение 5. №418 (с. 78)

Помогло решение? Оставьте отзыв в комментариях ниже.