Номер 3.11, страница 26, часть 2 - гдз по алгебре 8 класс учебник Мордкович, Александрова

Авторы: Мордкович А. Г., Александрова Л. А., Мишустина Т. Н., Тульчинская Е. Е., Семенов П. В.
Тип: Учебник
Издательство: Мнемозина
Год издания: 2019 - 2025
Часть: 2
Цвет обложки:
Допущено Министерством просвещения Российской Федерации
Популярные ГДЗ в 8 классе
Параграф 3. Сложение и вычитание алгебраических дробей с одинаковыми знаменателями. Глава 1. Алгебраические дроби. Часть 2 - номер 3.11, страница 26.
№3.11 (с. 26)
Условие. №3.11 (с. 26)
скриншот условия

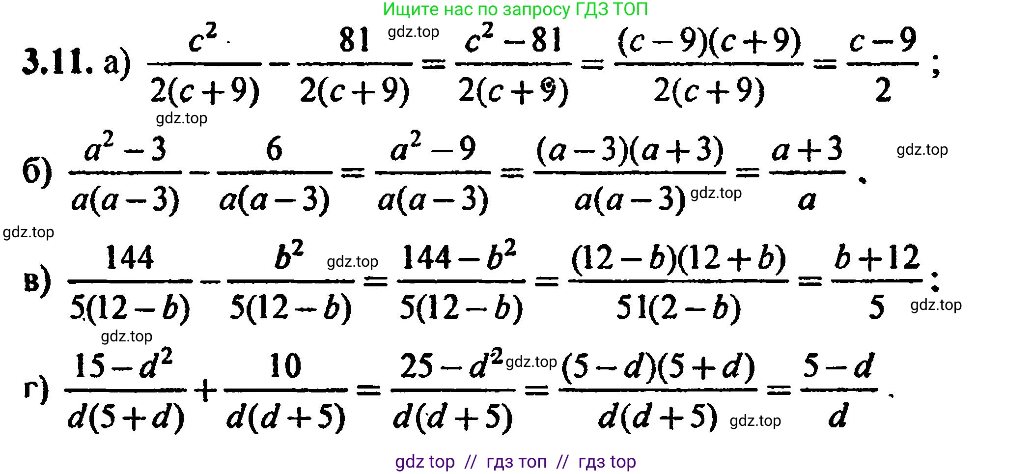
3.11 a) $\frac{c^2}{2(c+9)} - \frac{81}{2(c+9)};$
б) $\frac{a^2-3}{a(a-3)} - \frac{6}{a(a-3)};$
B) $\frac{144}{5(12-b)} - \frac{b^2}{5(12-b)};$
г) $\frac{15-d^2}{d(5+d)} + \frac{10}{d(d+5)}.$
Решение 1. №3.11 (с. 26)




Решение 2. №3.11 (с. 26)

Решение 4. №3.11 (с. 26)

Решение 6. №3.11 (с. 26)
а)
Данное выражение представляет собой разность двух дробей с одинаковыми знаменателями. Чтобы выполнить вычитание, нужно из числителя первой дроби вычесть числитель второй дроби, а знаменатель оставить прежним:
$\frac{c^2}{2(c+9)} - \frac{81}{2(c+9)} = \frac{c^2 - 81}{2(c+9)}$
Числитель $c^2 - 81$ является разностью квадратов, которую можно разложить на множители по формуле $a^2 - b^2 = (a-b)(a+b)$:
$c^2 - 81 = c^2 - 9^2 = (c-9)(c+9)$
Подставим разложенный числитель обратно в дробь и сократим общие множители:
$\frac{(c-9)(c+9)}{2(c+9)} = \frac{c-9}{2}$
Сокращение возможно при условии $c+9 \neq 0$, то есть $c \neq -9$.
Ответ: $\frac{c-9}{2}$
б)
Знаменатели обеих дробей одинаковы, поэтому вычитаем числители, оставляя знаменатель без изменений:
$\frac{a^2 - 3}{a(a-3)} - \frac{6}{a(a-3)} = \frac{(a^2 - 3) - 6}{a(a-3)} = \frac{a^2 - 9}{a(a-3)}$
Числитель $a^2 - 9$ также является разностью квадратов: $a^2 - 9 = a^2 - 3^2 = (a-3)(a+3)$.
Подставим и сократим дробь:
$\frac{(a-3)(a+3)}{a(a-3)} = \frac{a+3}{a}$
Сокращение возможно при условии $a-3 \neq 0$ ($a \neq 3$) и $a \neq 0$.
Ответ: $\frac{a+3}{a}$
в)
Обе дроби имеют одинаковый знаменатель $5(12-b)$. Выполним вычитание числителей:
$\frac{144}{5(12-b)} - \frac{b^2}{5(12-b)} = \frac{144 - b^2}{5(12-b)}$
Числитель $144 - b^2$ представляет собой разность квадратов: $144 - b^2 = 12^2 - b^2 = (12-b)(12+b)$.
Подставим разложение в дробь и сократим:
$\frac{(12-b)(12+b)}{5(12-b)} = \frac{12+b}{5}$
Сокращение возможно при условии $12-b \neq 0$, то есть $b \neq 12$.
Ответ: $\frac{12+b}{5}$
г)
Знаменатели дробей $d(5+d)$ и $d(d+5)$ равны, так как от перемены мест слагаемых сумма не меняется ($5+d = d+5$). Сложим числители:
$\frac{15 - d^2}{d(5+d)} + \frac{10}{d(d+5)} = \frac{(15 - d^2) + 10}{d(d+5)} = \frac{25 - d^2}{d(d+5)}$
Числитель $25 - d^2$ является разностью квадратов: $25 - d^2 = 5^2 - d^2 = (5-d)(5+d)$.
Подставим разложение в дробь и сократим:
$\frac{(5-d)(5+d)}{d(d+5)} = \frac{5-d}{d}$
Сокращение возможно при условии $d+5 \neq 0$ ($d \neq -5$) и $d \neq 0$.
Ответ: $\frac{5-d}{d}$
Другие задания:
Помогло решение? Оставьте отзыв в комментариях ниже.
Присоединяйтесь к Телеграм-группе @top_gdz
ПрисоединитьсяМы подготовили для вас ответ c подробным объяснением домашего задания по алгебре за 8 класс, для упражнения номер 3.11 расположенного на странице 26 для 2-й части к учебнику 2019 года издания для учащихся школ и гимназий.
Теперь на нашем сайте ГДЗ.ТОП вы всегда легко и бесплатно найдёте условие с правильным ответом на вопрос «Как решить ДЗ» и «Как сделать» задание по алгебре к упражнению №3.11 (с. 26), авторов: Мордкович (Александр Григорьевич), Александрова (Лилия Александровна), Мишустина (Татьяна Николаевна), Тульчинская (Елена Ефимовна), Семенов (Павел Владимирович), 2-й части учебного пособия издательства Мнемозина.