Номер 3.19, страница 27, часть 2 - гдз по алгебре 8 класс учебник Мордкович, Александрова

Алгебра, 8 класс Учебник, авторы: Мордкович Александр Григорьевич, Александрова Лилия Александровна, Мишустина Татьяна Николаевна, Тульчинская Елена Ефимовна, Семенов Павел Владимирович, издательство Мнемозина, Москва, 2019, часть 2

Авторы: Мордкович А. Г., Александрова Л. А., Мишустина Т. Н., Тульчинская Е. Е., Семенов П. В.

Тип: Учебник

Издательство: Мнемозина

Год издания: 2019 - 2025

Часть: 2

Допущено Министерством просвещения Российской Федерации

Популярные ГДЗ в 8 классе

Часть 2. Глава 1. Алгебраические дроби. Параграф 3. Сложение и вычитание алгебраических дробей с одинаковыми знаменателями - номер 3.19, страница 27.

№3.19 (с. 27)
Условие. №3.19 (с. 27)
скриншот условия
Алгебра, 8 класс Учебник, авторы: Мордкович Александр Григорьевич, Александрова Лилия Александровна, Мишустина Татьяна Николаевна, Тульчинская Елена Ефимовна, Семенов Павел Владимирович, издательство Мнемозина, Москва, 2019, Часть 2, страница 27, номер 3.19, Условие

Упростите выражение и найдите его значение:

3.19 a) $\frac{a^2 - 58}{a - 8} - \frac{6}{a - 8}$ при $a = 12$;

б) $\frac{c^2 - 8c}{c - 4} + \frac{16}{c - 4}$ при $c = -3,5$;

в) $\frac{b^2 - 108}{b + 10} + \frac{8}{b + 10}$ при $b = 3,5$;

г) $\frac{x^2 + 2x}{1 + x} + \frac{1}{1 + x}$ при $x = 4,1$.

Решение 1. №3.19 (с. 27)
Алгебра, 8 класс Учебник, авторы: Мордкович Александр Григорьевич, Александрова Лилия Александровна, Мишустина Татьяна Николаевна, Тульчинская Елена Ефимовна, Семенов Павел Владимирович, издательство Мнемозина, Москва, 2019, Часть 2, страница 27, номер 3.19, Решение 1
Алгебра, 8 класс Учебник, авторы: Мордкович Александр Григорьевич, Александрова Лилия Александровна, Мишустина Татьяна Николаевна, Тульчинская Елена Ефимовна, Семенов Павел Владимирович, издательство Мнемозина, Москва, 2019, Часть 2, страница 27, номер 3.19, Решение 1 (продолжение 2)
Алгебра, 8 класс Учебник, авторы: Мордкович Александр Григорьевич, Александрова Лилия Александровна, Мишустина Татьяна Николаевна, Тульчинская Елена Ефимовна, Семенов Павел Владимирович, издательство Мнемозина, Москва, 2019, Часть 2, страница 27, номер 3.19, Решение 1 (продолжение 3)
Алгебра, 8 класс Учебник, авторы: Мордкович Александр Григорьевич, Александрова Лилия Александровна, Мишустина Татьяна Николаевна, Тульчинская Елена Ефимовна, Семенов Павел Владимирович, издательство Мнемозина, Москва, 2019, Часть 2, страница 27, номер 3.19, Решение 1 (продолжение 4)
Решение 2. №3.19 (с. 27)
Алгебра, 8 класс Учебник, авторы: Мордкович Александр Григорьевич, Александрова Лилия Александровна, Мишустина Татьяна Николаевна, Тульчинская Елена Ефимовна, Семенов Павел Владимирович, издательство Мнемозина, Москва, 2019, Часть 2, страница 27, номер 3.19, Решение 2
Решение 4. №3.19 (с. 27)
Алгебра, 8 класс Учебник, авторы: Мордкович Александр Григорьевич, Александрова Лилия Александровна, Мишустина Татьяна Николаевна, Тульчинская Елена Ефимовна, Семенов Павел Владимирович, издательство Мнемозина, Москва, 2019, Часть 2, страница 27, номер 3.19, Решение 4
Решение 6. №3.19 (с. 27)

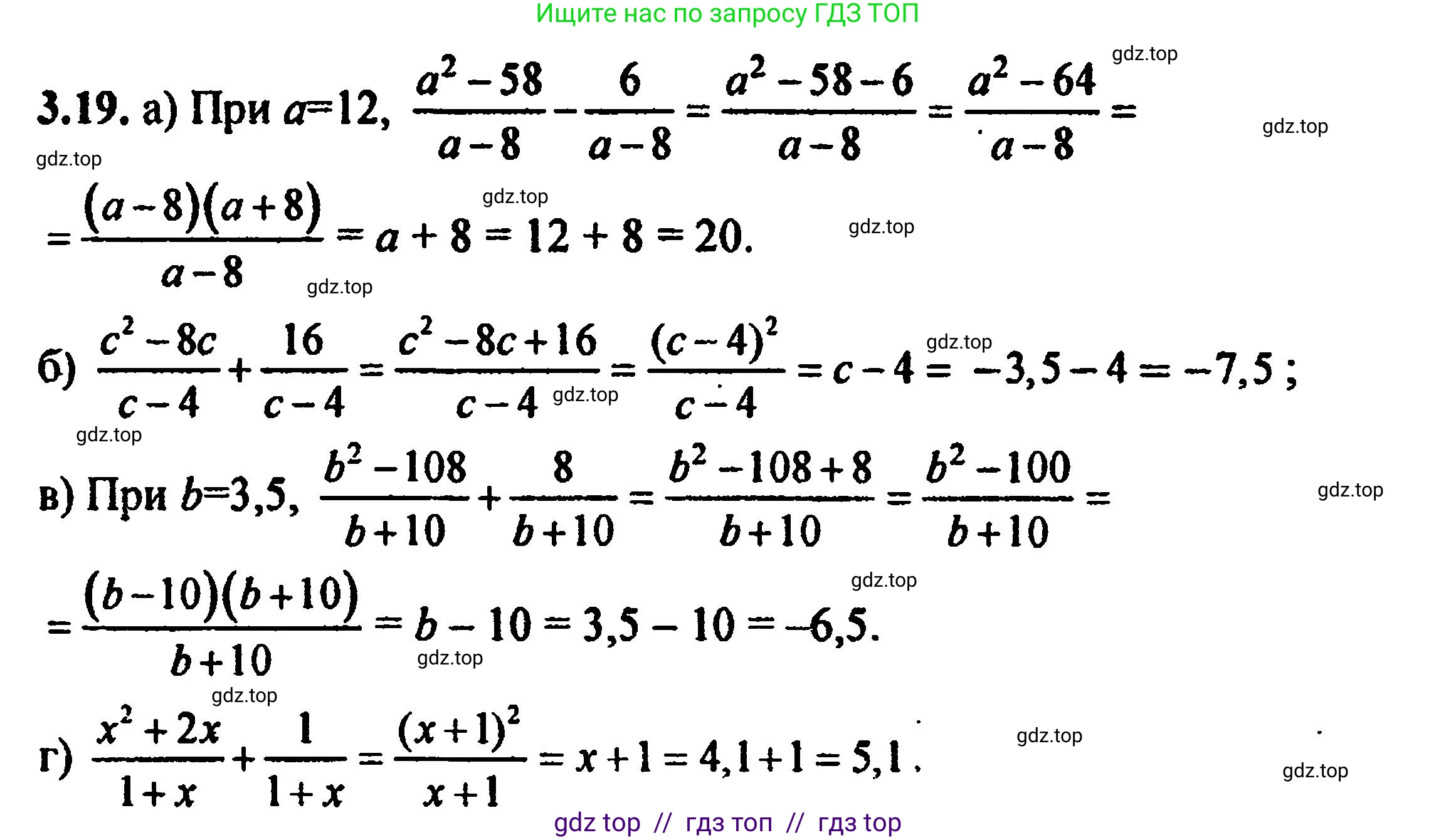
а) Сначала упростим выражение. Так как знаменатели у дробей одинаковые, выполним вычитание числителей:

$\frac{a^2 - 58}{a - 8} - \frac{6}{a - 8} = \frac{a^2 - 58 - 6}{a - 8} = \frac{a^2 - 64}{a - 8}$

Числитель $a^2 - 64$ является разностью квадратов, которую можно разложить на множители по формуле $x^2 - y^2 = (x-y)(x+y)$:

$\frac{a^2 - 64}{a - 8} = \frac{(a - 8)(a + 8)}{a - 8}$

Сократим дробь на общий множитель $(a-8)$:

$a + 8$

Теперь подставим значение $a = 12$ в упрощенное выражение:

$12 + 8 = 20$

Ответ: 20

б) Упростим выражение. Объединим дроби, так как у них общий знаменатель:

$\frac{c^2 - 8c}{c - 4} + \frac{16}{c - 4} = \frac{c^2 - 8c + 16}{c - 4}$

Числитель $c^2 - 8c + 16$ является полным квадратом разности по формуле $(x - y)^2 = x^2 - 2xy + y^2$:

$\frac{(c - 4)^2}{c - 4}$

Сократим дробь на $(c-4)$:

$c - 4$

Подставим значение $c = -3,5$ в полученное выражение:

$-3,5 - 4 = -7,5$

Ответ: -7,5

в) Упростим выражение, сложив дроби с одинаковым знаменателем:

$\frac{b^2 - 108}{b + 10} + \frac{8}{b + 10} = \frac{b^2 - 108 + 8}{b + 10} = \frac{b^2 - 100}{b + 10}$

Применим формулу разности квадратов к числителю $b^2 - 100 = b^2 - 10^2$:

$\frac{(b - 10)(b + 10)}{b + 10}$

Сократим дробь на общий множитель $(b+10)$:

$b - 10$

Теперь найдем значение выражения при $b = 3,5$:

$3,5 - 10 = -6,5$

Ответ: -6,5

г) Сложим дроби с общим знаменателем $1+x$:

$\frac{x^2 + 2x}{1 + x} + \frac{1}{1 + x} = \frac{x^2 + 2x + 1}{1 + x}$

Числитель $x^2 + 2x + 1$ представляет собой полный квадрат суммы по формуле $(a+b)^2 = a^2 + 2ab + b^2$:

$\frac{(x + 1)^2}{x + 1}$

Сократим дробь на $(x+1)$:

$x + 1$

Подставим значение $x = 4,1$ в упрощенное выражение:

$4,1 + 1 = 5,1$

Ответ: 5,1

Помогло решение? Оставьте отзыв в комментариях ниже.

Присоединяйтесь к Телеграм-группе @top_gdz

Присоединиться

Мы подготовили для вас ответ c подробным объяснением домашего задания по алгебре за 8 класс, для упражнения номер 3.19 расположенного на странице 27 для 2-й части к учебнику 2019 года издания для учащихся школ и гимназий.

Теперь на нашем сайте ГДЗ.ТОП вы всегда легко и бесплатно найдёте условие с правильным ответом на вопрос «Как решить ДЗ» и «Как сделать» задание по алгебре к упражнению №3.19 (с. 27), авторов: Мордкович (Александр Григорьевич), Александрова (Лилия Александровна), Мишустина (Татьяна Николаевна), Тульчинская (Елена Ефимовна), Семенов (Павел Владимирович), 2-й части учебного пособия издательства Мнемозина.