Номер 4.50, страница 36, часть 2 - гдз по алгебре 8 класс учебник Мордкович, Александрова

Авторы: Мордкович А. Г., Александрова Л. А., Мишустина Т. Н., Тульчинская Е. Е., Семенов П. В.
Тип: Учебник
Издательство: Мнемозина
Год издания: 2019 - 2025
Часть: 2
Цвет обложки:
Допущено Министерством просвещения Российской Федерации
Популярные ГДЗ в 8 классе
Параграф 4. Сложение и вычитание алгебраических дробей с разными знаменателями. Глава 1. Алгебраические дроби. Часть 2 - номер 4.50, страница 36.
№4.50 (с. 36)
Условие. №4.50 (с. 36)
скриншот условия

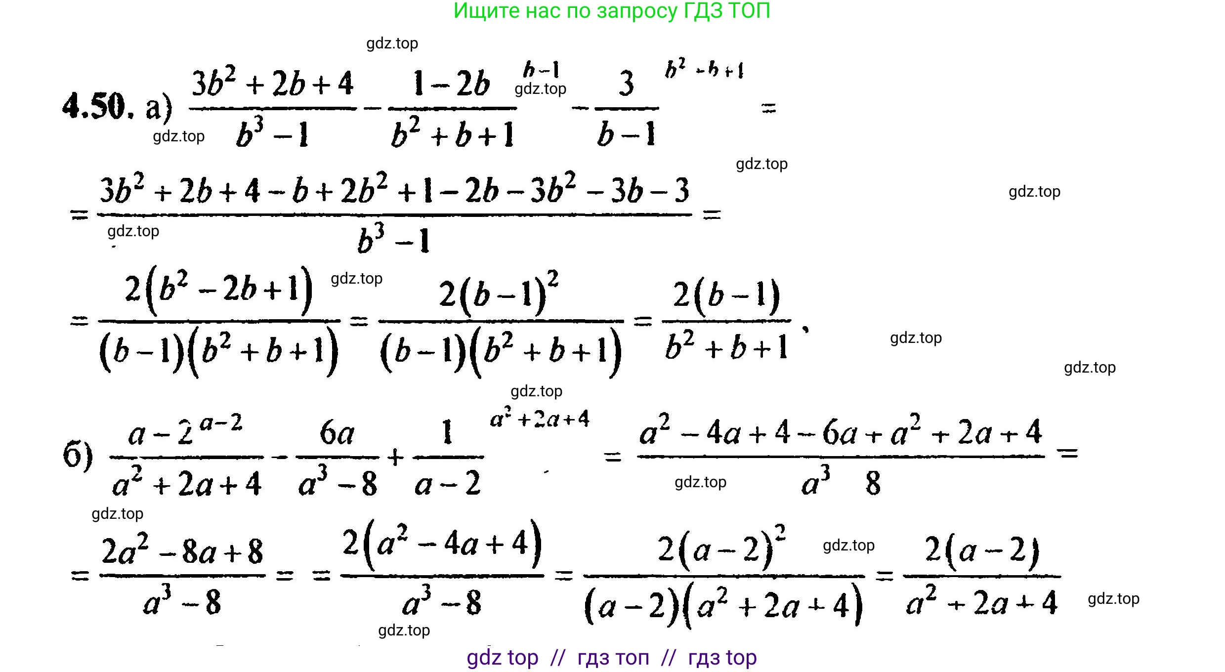
4.50 a) $ \frac{3b^2 + 2b + 4}{b^3 - 1} - \frac{1 - 2b}{b^2 + b + 1} - \frac{3}{b - 1}$;
б) $ \frac{a - 2}{a^2 + 2a + 4} - \frac{6a}{a^3 - 8} + \frac{1}{a - 2}$.
Решение 1. №4.50 (с. 36)


Решение 2. №4.50 (с. 36)

Решение 6. №4.50 (с. 36)
а) Упростим выражение $ \frac{3b^2 + 2b + 4}{b^3 - 1} - \frac{1 - 2b}{b^2 + b + 1} - \frac{3}{b - 1} $.
1. Первым шагом найдем общий знаменатель. Для этого разложим на множители знаменатели дробей. Знаменатель первой дроби является разностью кубов: $ b^3 - 1 = (b - 1)(b^2 + b + 1) $. Остальные знаменатели уже являются множителями этого выражения.
2. Таким образом, общий знаменатель всех дробей – это $ (b - 1)(b^2 + b + 1) $.
3. Приведем каждую дробь к общему знаменателю. Первая дробь уже имеет нужный знаменатель. Для второй дроби дополнительный множитель – $ (b - 1) $. Для третьей дроби – $ (b^2 + b + 1) $.
$ \frac{3b^2 + 2b + 4}{(b - 1)(b^2 + b + 1)} - \frac{(1 - 2b)(b - 1)}{(b^2 + b + 1)(b-1)} - \frac{3(b^2 + b + 1)}{(b - 1)(b^2 + b + 1)} $
4. Выполним вычитание дробей, объединив числители под общим знаменателем. Раскроем скобки в числителе:
$ \frac{(3b^2 + 2b + 4) - (1 - 2b)(b - 1) - 3(b^2 + b + 1)}{(b - 1)(b^2 + b + 1)} = \frac{3b^2 + 2b + 4 - (b - 1 - 2b^2 + 2b) - (3b^2 + 3b + 3)}{(b - 1)(b^2 + b + 1)} $
5. Упростим выражение в числителе:
$ \frac{3b^2 + 2b + 4 - (-2b^2 + 3b - 1) - 3b^2 - 3b - 3}{(b - 1)(b^2 + b + 1)} = \frac{3b^2 + 2b + 4 + 2b^2 - 3b + 1 - 3b^2 - 3b - 3}{(b - 1)(b^2 + b + 1)} $
6. Приведем подобные слагаемые в числителе:
$ \frac{(3b^2 + 2b^2 - 3b^2) + (2b - 3b - 3b) + (4 + 1 - 3)}{(b - 1)(b^2 + b + 1)} = \frac{2b^2 - 4b + 2}{(b - 1)(b^2 + b + 1)} $
7. Разложим числитель на множители. Вынесем общий множитель 2 за скобки и применим формулу квадрата разности:
$ 2b^2 - 4b + 2 = 2(b^2 - 2b + 1) = 2(b - 1)^2 $
8. Подставим полученное выражение обратно в дробь и сократим общий множитель $ (b-1) $:
$ \frac{2(b - 1)^2}{(b - 1)(b^2 + b + 1)} = \frac{2(b - 1)}{b^2 + b + 1} $
Ответ: $ \frac{2(b - 1)}{b^2 + b + 1} $
б) Упростим выражение $ \frac{a - 2}{a^2 + 2a + 4} - \frac{6a}{a^3 - 8} + \frac{1}{a - 2} $.
1. Найдем общий знаменатель. Разложим знаменатель второй дроби по формуле разности кубов: $ a^3 - 8 = a^3 - 2^3 = (a - 2)(a^2 + 2a + 4) $. Знаменатели первой и третьей дробей являются множителями этого выражения.
2. Общий знаменатель: $ (a - 2)(a^2 + 2a + 4) $.
3. Приведем дроби к общему знаменателю. Дополнительный множитель для первой дроби – $ (a - 2) $. Вторая дробь уже имеет нужный знаменатель. Дополнительный множитель для третьей дроби – $ (a^2 + 2a + 4) $.
$ \frac{(a - 2)(a-2)}{(a^2 + 2a + 4)(a-2)} - \frac{6a}{(a - 2)(a^2 + 2a + 4)} + \frac{1(a^2 + 2a + 4)}{(a - 2)(a^2 + 2a + 4)} $
4. Запишем все под одной дробной чертой и раскроем скобки в числителе:
$ \frac{(a - 2)^2 - 6a + (a^2 + 2a + 4)}{(a - 2)(a^2 + 2a + 4)} = \frac{(a^2 - 4a + 4) - 6a + a^2 + 2a + 4}{(a - 2)(a^2 + 2a + 4)} $
5. Приведем подобные слагаемые в числителе:
$ \frac{(a^2 + a^2) + (-4a - 6a + 2a) + (4 + 4)}{(a - 2)(a^2 + 2a + 4)} = \frac{2a^2 - 8a + 8}{(a - 2)(a^2 + 2a + 4)} $
6. Разложим числитель на множители, вынеся 2 за скобки и используя формулу квадрата разности:
$ 2a^2 - 8a + 8 = 2(a^2 - 4a + 4) = 2(a - 2)^2 $
7. Подставим полученное выражение в дробь и сократим на общий множитель $ (a-2) $:
$ \frac{2(a - 2)^2}{(a - 2)(a^2 + 2a + 4)} = \frac{2(a - 2)}{a^2 + 2a + 4} $
Ответ: $ \frac{2(a - 2)}{a^2 + 2a + 4} $
Другие задания:
Помогло решение? Оставьте отзыв в комментариях ниже.
Присоединяйтесь к Телеграм-группе @top_gdz
ПрисоединитьсяМы подготовили для вас ответ c подробным объяснением домашего задания по алгебре за 8 класс, для упражнения номер 4.50 расположенного на странице 36 для 2-й части к учебнику 2019 года издания для учащихся школ и гимназий.
Теперь на нашем сайте ГДЗ.ТОП вы всегда легко и бесплатно найдёте условие с правильным ответом на вопрос «Как решить ДЗ» и «Как сделать» задание по алгебре к упражнению №4.50 (с. 36), авторов: Мордкович (Александр Григорьевич), Александрова (Лилия Александровна), Мишустина (Татьяна Николаевна), Тульчинская (Елена Ефимовна), Семенов (Павел Владимирович), 2-й части учебного пособия издательства Мнемозина.