Номер 4.52, страница 36, часть 2 - гдз по алгебре 8 класс учебник Мордкович, Александрова

Алгебра, 8 класс Учебник, авторы: Мордкович Александр Григорьевич, Александрова Лилия Александровна, Мишустина Татьяна Николаевна, Тульчинская Елена Ефимовна, Семенов Павел Владимирович, издательство Мнемозина, Москва, 2019, часть 2

Авторы: Мордкович А. Г., Александрова Л. А., Мишустина Т. Н., Тульчинская Е. Е., Семенов П. В.

Тип: Учебник

Издательство: Мнемозина

Год издания: 2019 - 2025

Часть: 2

Допущено Министерством просвещения Российской Федерации

Популярные ГДЗ в 8 классе

Часть 2. Глава 1. Алгебраические дроби. Параграф 4. Сложение и вычитание алгебраических дробей с разными знаменателями - номер 4.52, страница 36.

№4.52 (с. 36)
Условие. №4.52 (с. 36)
скриншот условия
Алгебра, 8 класс Учебник, авторы: Мордкович Александр Григорьевич, Александрова Лилия Александровна, Мишустина Татьяна Николаевна, Тульчинская Елена Ефимовна, Семенов Павел Владимирович, издательство Мнемозина, Москва, 2019, Часть 2, страница 36, номер 4.52, Условие

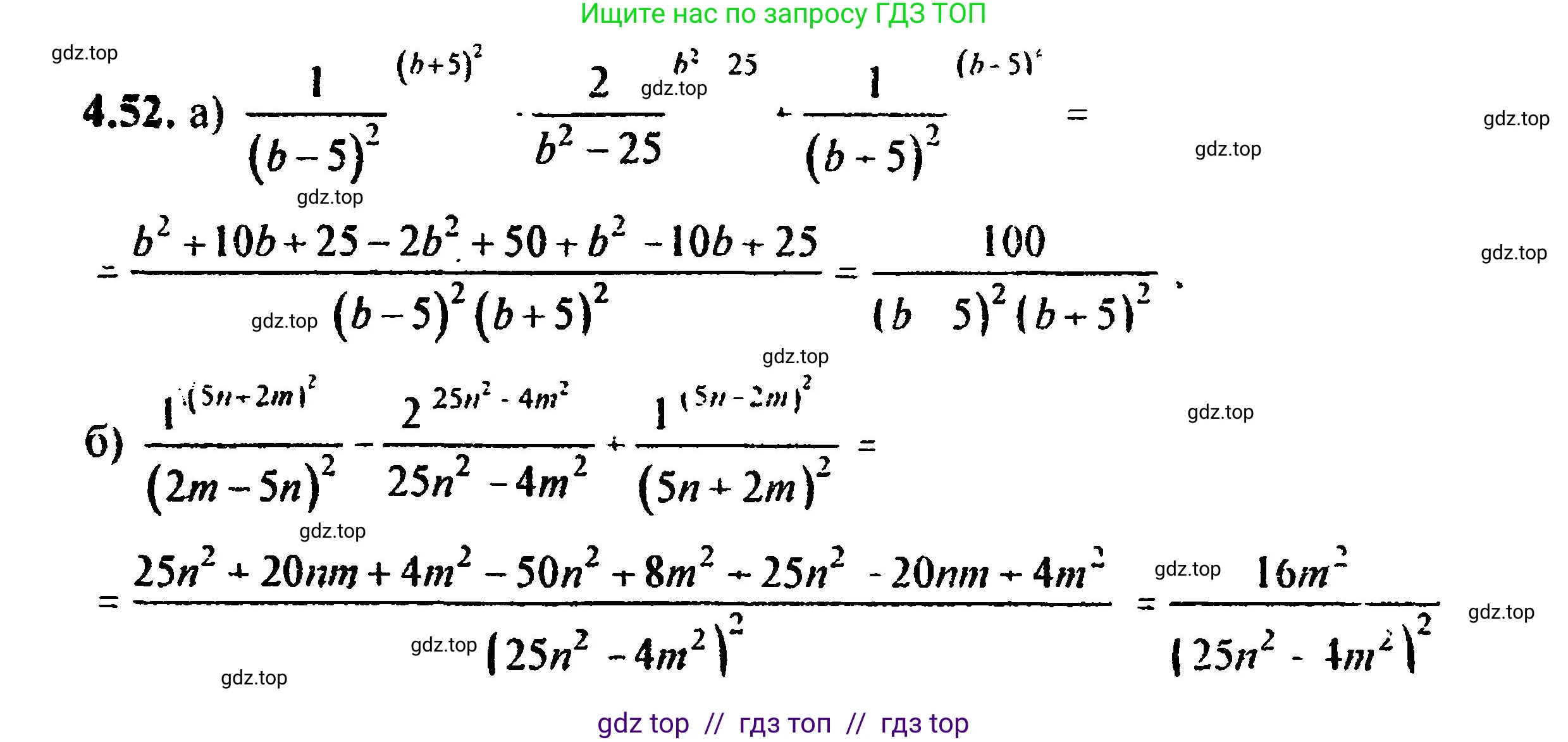
4.52 a) $\frac{1}{(b - 5)^2} - \frac{2}{b^2 - 25} + \frac{1}{(b + 5)^2}$;

б) $\frac{1}{(2m - 5n)^2} - \frac{2}{25n^2 - 4m^2} + \frac{1}{(5n + 2m)^2}$.

Решение 1. №4.52 (с. 36)
Алгебра, 8 класс Учебник, авторы: Мордкович Александр Григорьевич, Александрова Лилия Александровна, Мишустина Татьяна Николаевна, Тульчинская Елена Ефимовна, Семенов Павел Владимирович, издательство Мнемозина, Москва, 2019, Часть 2, страница 36, номер 4.52, Решение 1
Алгебра, 8 класс Учебник, авторы: Мордкович Александр Григорьевич, Александрова Лилия Александровна, Мишустина Татьяна Николаевна, Тульчинская Елена Ефимовна, Семенов Павел Владимирович, издательство Мнемозина, Москва, 2019, Часть 2, страница 36, номер 4.52, Решение 1 (продолжение 2)
Решение 2. №4.52 (с. 36)
Алгебра, 8 класс Учебник, авторы: Мордкович Александр Григорьевич, Александрова Лилия Александровна, Мишустина Татьяна Николаевна, Тульчинская Елена Ефимовна, Семенов Павел Владимирович, издательство Мнемозина, Москва, 2019, Часть 2, страница 36, номер 4.52, Решение 2
Решение 5. №4.52 (с. 36)
Алгебра, 8 класс Учебник, авторы: Мордкович Александр Григорьевич, Александрова Лилия Александровна, Мишустина Татьяна Николаевна, Тульчинская Елена Ефимовна, Семенов Павел Владимирович, издательство Мнемозина, Москва, 2019, Часть 2, страница 36, номер 4.52, Решение 5
Решение 6. №4.52 (с. 36)

a) $\frac{1}{(b - 5)^2} - \frac{2}{b^2 - 25} + \frac{1}{(b + 5)^2}$

Для того чтобы сложить и вычесть дроби, приведем их к общему знаменателю. Сначала разложим знаменатели на множители.

Знаменатель второй дроби $b^2 - 25$ является разностью квадратов: $b^2 - 25 = (b - 5)(b + 5)$.

Таким образом, выражение можно переписать в виде:

$\frac{1}{(b - 5)^2} - \frac{2}{(b - 5)(b + 5)} + \frac{1}{(b + 5)^2}$

Наименьший общий знаменатель (НОЗ) для дробей со знаменателями $(b - 5)^2$, $(b - 5)(b + 5)$ и $(b + 5)^2$ будет $(b - 5)^2(b + 5)^2$.

Приведем каждую дробь к этому знаменателю:

  • Домножим первую дробь на $(b + 5)^2$:
    $\frac{1 \cdot (b + 5)^2}{(b - 5)^2(b + 5)^2} = \frac{(b + 5)^2}{(b - 5)^2(b + 5)^2}$
  • Домножим вторую дробь на $(b - 5)(b + 5)$:
    $\frac{2 \cdot (b - 5)(b + 5)}{(b - 5)(b + 5)(b - 5)(b + 5)} = \frac{2(b^2 - 25)}{(b - 5)^2(b + 5)^2}$
  • Домножим третью дробь на $(b - 5)^2$:
    $\frac{1 \cdot (b - 5)^2}{(b + 5)^2(b - 5)^2} = \frac{(b - 5)^2}{(b - 5)^2(b + 5)^2}$

Теперь выполним операции с числителями над общим знаменателем:

$\frac{(b + 5)^2 - 2(b^2 - 25) + (b - 5)^2}{(b - 5)^2(b + 5)^2}$

Раскроем скобки в числителе, используя формулы квадрата суммы, квадрата разности и распределительный закон:

$(b + 5)^2 = b^2 + 10b + 25$

$-2(b^2 - 25) = -2b^2 + 50$

$(b - 5)^2 = b^2 - 10b + 25$

Сложим выражения в числителе:

$(b^2 + 10b + 25) + (-2b^2 + 50) + (b^2 - 10b + 25)$

Приведем подобные слагаемые:

$(b^2 - 2b^2 + b^2) + (10b - 10b) + (25 + 50 + 25) = 0 \cdot b^2 + 0 \cdot b + 100 = 100$

Числитель равен 100. Запишем итоговую дробь:

$\frac{100}{(b - 5)^2(b + 5)^2}$

Знаменатель можно свернуть по формуле $(a \cdot c)^n = a^n \cdot c^n$ и разности квадратов:

$(b - 5)^2(b + 5)^2 = ((b-5)(b+5))^2 = (b^2 - 25)^2$

Таким образом, окончательное выражение:

$\frac{100}{(b^2 - 25)^2}$

Ответ: $\frac{100}{(b^2 - 25)^2}$.


б) $\frac{1}{(2m - 5n)^2} - \frac{2}{25n^2 - 4m^2} + \frac{1}{(5n + 2m)^2}$

Преобразуем знаменатели, чтобы найти общий. Заметим, что $(2m-5n)^2 = (-(5n-2m))^2 = (5n-2m)^2$ и $(5n+2m)^2 = (2m+5n)^2$. Знаменатель второй дроби является разностью квадратов: $25n^2 - 4m^2 = (5n - 2m)(5n + 2m)$.

Преобразуем знак во второй дроби, вынеся минус из знаменателя:

$-\frac{2}{25n^2 - 4m^2} = -\frac{2}{-(4m^2 - 25n^2)} = +\frac{2}{4m^2 - 25n^2}$

Теперь выражение имеет вид:

$\frac{1}{(2m - 5n)^2} + \frac{2}{4m^2 - 25n^2} + \frac{1}{(2m + 5n)^2}$

Разложим знаменатель второй дроби на множители: $4m^2 - 25n^2 = (2m - 5n)(2m + 5n)$.

Выражение принимает вид:

$\frac{1}{(2m - 5n)^2} + \frac{2}{(2m - 5n)(2m + 5n)} + \frac{1}{(2m + 5n)^2}$

Это выражение является полным квадратом суммы вида $a^2 + 2ab + b^2 = (a+b)^2$, где $a = \frac{1}{2m - 5n}$ и $b = \frac{1}{2m + 5n}$.

Свернем выражение по этой формуле:

$\left(\frac{1}{2m - 5n} + \frac{1}{2m + 5n}\right)^2$

Теперь сложим дроби в скобках. Общий знаменатель для них - $(2m - 5n)(2m + 5n)$.

$\frac{1 \cdot (2m+5n)}{(2m - 5n)(2m + 5n)} + \frac{1 \cdot (2m-5n)}{(2m - 5n)(2m + 5n)} = \frac{2m + 5n + 2m - 5n}{(2m - 5n)(2m + 5n)} = \frac{4m}{4m^2 - 25n^2}$

Теперь возведем полученную дробь в квадрат:

$\left(\frac{4m}{4m^2 - 25n^2}\right)^2 = \frac{(4m)^2}{(4m^2 - 25n^2)^2} = \frac{16m^2}{(4m^2 - 25n^2)^2}$

Ответ: $\frac{16m^2}{(4m^2 - 25n^2)^2}$.

Помогло решение? Оставьте отзыв в комментариях ниже.

Присоединяйтесь к Телеграм-группе @top_gdz

Присоединиться

Мы подготовили для вас ответ c подробным объяснением домашего задания по алгебре за 8 класс, для упражнения номер 4.52 расположенного на странице 36 для 2-й части к учебнику 2019 года издания для учащихся школ и гимназий.

Теперь на нашем сайте ГДЗ.ТОП вы всегда легко и бесплатно найдёте условие с правильным ответом на вопрос «Как решить ДЗ» и «Как сделать» задание по алгебре к упражнению №4.52 (с. 36), авторов: Мордкович (Александр Григорьевич), Александрова (Лилия Александровна), Мишустина (Татьяна Николаевна), Тульчинская (Елена Ефимовна), Семенов (Павел Владимирович), 2-й части учебного пособия издательства Мнемозина.