Номер 5.19, страница 39, часть 2 - гдз по алгебре 8 класс учебник Мордкович, Александрова

Алгебра, 8 класс Учебник, авторы: Мордкович Александр Григорьевич, Александрова Лилия Александровна, Мишустина Татьяна Николаевна, Тульчинская Елена Ефимовна, Семенов Павел Владимирович, издательство Мнемозина, Москва, 2019, часть 2

Авторы: Мордкович А. Г., Александрова Л. А., Мишустина Т. Н., Тульчинская Е. Е., Семенов П. В.

Тип: Учебник

Издательство: Мнемозина

Год издания: 2019 - 2025

Часть: 2

Допущено Министерством просвещения Российской Федерации

Популярные ГДЗ в 8 классе

Часть 2. Глава 1. Алгебраические дроби. Параграф 5. Умножение и деление алгебраических дробей. Возведение алгебраической дроби в степень - номер 5.19, страница 39.

№5.19 (с. 39)
Условие. №5.19 (с. 39)
скриншот условия
Алгебра, 8 класс Учебник, авторы: Мордкович Александр Григорьевич, Александрова Лилия Александровна, Мишустина Татьяна Николаевна, Тульчинская Елена Ефимовна, Семенов Павел Владимирович, издательство Мнемозина, Москва, 2019, Часть 2, страница 39, номер 5.19, Условие

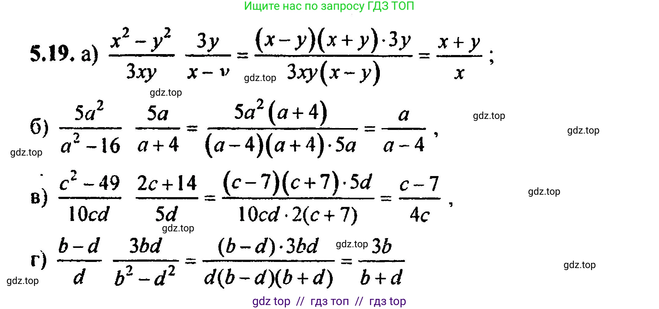
5.19 а) $\frac{x^2 - y^2}{3xy} : \frac{3y}{x - y}$

б) $\frac{5a^2}{a^2 - 16} : \frac{5a}{a + 4}$

в) $\frac{c^2 - 49}{10cd} : \frac{2c + 14}{5d}$

г) $\frac{b - d}{d} \cdot \frac{3bd}{b^2 - d^2}$

Решение 1. №5.19 (с. 39)
Алгебра, 8 класс Учебник, авторы: Мордкович Александр Григорьевич, Александрова Лилия Александровна, Мишустина Татьяна Николаевна, Тульчинская Елена Ефимовна, Семенов Павел Владимирович, издательство Мнемозина, Москва, 2019, Часть 2, страница 39, номер 5.19, Решение 1
Алгебра, 8 класс Учебник, авторы: Мордкович Александр Григорьевич, Александрова Лилия Александровна, Мишустина Татьяна Николаевна, Тульчинская Елена Ефимовна, Семенов Павел Владимирович, издательство Мнемозина, Москва, 2019, Часть 2, страница 39, номер 5.19, Решение 1 (продолжение 2)
Алгебра, 8 класс Учебник, авторы: Мордкович Александр Григорьевич, Александрова Лилия Александровна, Мишустина Татьяна Николаевна, Тульчинская Елена Ефимовна, Семенов Павел Владимирович, издательство Мнемозина, Москва, 2019, Часть 2, страница 39, номер 5.19, Решение 1 (продолжение 3)
Алгебра, 8 класс Учебник, авторы: Мордкович Александр Григорьевич, Александрова Лилия Александровна, Мишустина Татьяна Николаевна, Тульчинская Елена Ефимовна, Семенов Павел Владимирович, издательство Мнемозина, Москва, 2019, Часть 2, страница 39, номер 5.19, Решение 1 (продолжение 4)
Решение 2. №5.19 (с. 39)
Алгебра, 8 класс Учебник, авторы: Мордкович Александр Григорьевич, Александрова Лилия Александровна, Мишустина Татьяна Николаевна, Тульчинская Елена Ефимовна, Семенов Павел Владимирович, издательство Мнемозина, Москва, 2019, Часть 2, страница 39, номер 5.19, Решение 2
Решение 4. №5.19 (с. 39)
Алгебра, 8 класс Учебник, авторы: Мордкович Александр Григорьевич, Александрова Лилия Александровна, Мишустина Татьяна Николаевна, Тульчинская Елена Ефимовна, Семенов Павел Владимирович, издательство Мнемозина, Москва, 2019, Часть 2, страница 39, номер 5.19, Решение 4
Решение 6. №5.19 (с. 39)

а)

Выполним умножение дробей $ \frac{x^2 - y^2}{3xy} \cdot \frac{3y}{x - y} $.

1. Разложим числитель первой дроби $ x^2 - y^2 $ на множители по формуле разности квадратов: $ x^2 - y^2 = (x - y)(x + y) $.

2. Подставим разложенный числитель в исходное выражение:

$ \frac{(x - y)(x + y)}{3xy} \cdot \frac{3y}{x - y} $

3. Запишем произведение под общей чертой дроби:

$ \frac{(x - y)(x + y) \cdot 3y}{3xy \cdot (x - y)} $

4. Сократим общие множители в числителе и знаменателе: $ (x - y) $, $ 3 $ и $ y $.

$ \frac{\cancel{(x - y)}(x + y) \cdot \cancel{3y}}{\cancel{3}x\cancel{y} \cdot \cancel{(x - y)}} = \frac{x + y}{x} $

Ответ: $ \frac{x+y}{x} $

б)

Выполним деление дробей $ \frac{5a^2}{a^2 - 16} : \frac{5a}{a + 4} $.

1. Чтобы разделить одну дробь на другую, нужно первую дробь умножить на дробь, обратную второй:

$ \frac{5a^2}{a^2 - 16} \cdot \frac{a + 4}{5a} $

2. Разложим знаменатель первой дроби $ a^2 - 16 $ на множители по формуле разности квадратов: $ a^2 - 16 = (a - 4)(a + 4) $.

3. Подставим разложенный знаменатель в выражение:

$ \frac{5a^2}{(a - 4)(a + 4)} \cdot \frac{a + 4}{5a} $

4. Запишем произведение под общей чертой дроби и сократим общие множители $ (a + 4) $, $ 5 $ и $ a $:

$ \frac{5a^2 \cdot (a + 4)}{(a - 4)(a + 4) \cdot 5a} = \frac{\cancel{5}\cancel{a} \cdot a \cdot \cancel{(a + 4)}}{(a - 4)\cancel{(a + 4)} \cdot \cancel{5}\cancel{a}} = \frac{a}{a - 4} $

Ответ: $ \frac{a}{a-4} $

в)

Выполним деление дробей $ \frac{c^2 - 49}{10cd} : \frac{2c + 14}{5d} $.

1. Заменим деление на умножение на обратную дробь:

$ \frac{c^2 - 49}{10cd} \cdot \frac{5d}{2c + 14} $

2. Разложим на множители числитель первой дроби и знаменатель второй дроби. Используем формулу разности квадратов для $ c^2 - 49 = (c - 7)(c + 7) $ и вынесение общего множителя для $ 2c + 14 = 2(c + 7) $.

3. Подставим разложения в выражение:

$ \frac{(c - 7)(c + 7)}{10cd} \cdot \frac{5d}{2(c + 7)} $

4. Запишем под общей чертой и выполним сокращение:

$ \frac{(c - 7)(c + 7) \cdot 5d}{10cd \cdot 2(c + 7)} = \frac{(c - 7)\cancel{(c + 7)} \cdot \cancel{5}\cancel{d}}{\cancel{10}_2c\cancel{d} \cdot 2\cancel{(c + 7)}} = \frac{c - 7}{2c \cdot 2} = \frac{c - 7}{4c} $

Ответ: $ \frac{c-7}{4c} $

г)

Выполним умножение дробей $ \frac{b - d}{d} \cdot \frac{3bd}{b^2 - d^2} $.

1. Разложим знаменатель второй дроби $ b^2 - d^2 $ на множители по формуле разности квадратов: $ b^2 - d^2 = (b - d)(b + d) $.

2. Подставим разложенный знаменатель в исходное выражение:

$ \frac{b - d}{d} \cdot \frac{3bd}{(b - d)(b + d)} $

3. Запишем произведение под общей чертой дроби:

$ \frac{(b - d) \cdot 3bd}{d \cdot (b - d)(b + d)} $

4. Сократим общие множители $ (b - d) $ и $ d $:

$ \frac{\cancel{(b - d)} \cdot 3b\cancel{d}}{\cancel{d} \cdot \cancel{(b - d)}(b + d)} = \frac{3b}{b + d} $

Ответ: $ \frac{3b}{b+d} $

Помогло решение? Оставьте отзыв в комментариях ниже.

Присоединяйтесь к Телеграм-группе @top_gdz

Присоединиться

Мы подготовили для вас ответ c подробным объяснением домашего задания по алгебре за 8 класс, для упражнения номер 5.19 расположенного на странице 39 для 2-й части к учебнику 2019 года издания для учащихся школ и гимназий.

Теперь на нашем сайте ГДЗ.ТОП вы всегда легко и бесплатно найдёте условие с правильным ответом на вопрос «Как решить ДЗ» и «Как сделать» задание по алгебре к упражнению №5.19 (с. 39), авторов: Мордкович (Александр Григорьевич), Александрова (Лилия Александровна), Мишустина (Татьяна Николаевна), Тульчинская (Елена Ефимовна), Семенов (Павел Владимирович), 2-й части учебного пособия издательства Мнемозина.