Номер 5.21, страница 39, часть 2 - гдз по алгебре 8 класс учебник Мордкович, Александрова

Авторы: Мордкович А. Г., Александрова Л. А., Мишустина Т. Н., Тульчинская Е. Е., Семенов П. В.
Тип: Учебник
Издательство: Мнемозина
Год издания: 2019 - 2025
Часть: 2
Цвет обложки:
Допущено Министерством просвещения Российской Федерации
Популярные ГДЗ в 8 классе
Параграф 5. Умножение и деление алгебраических дробей. Возведение алгебраической дроби в степень. Глава 1. Алгебраические дроби. Часть 2 - номер 5.21, страница 39.
№5.21 (с. 39)
Условие. №5.21 (с. 39)
скриншот условия

5.21 а) $ \frac{1}{a^3 - b^3} \cdot (a^2 - b^2) $;
б) $ (8a^3 + 1) : \frac{4a^2 - 2a + 1}{n} $;
в) $ \frac{12n}{x^3 - 27} \cdot \frac{x^2 + 3x + 9}{6n} $;
г) $ \frac{m^3 - 64}{3} : (m^2 + 4m + 16) $.
Решение 1. №5.21 (с. 39)




Решение 2. №5.21 (с. 39)

Решение 4. №5.21 (с. 39)

Решение 6. №5.21 (с. 39)
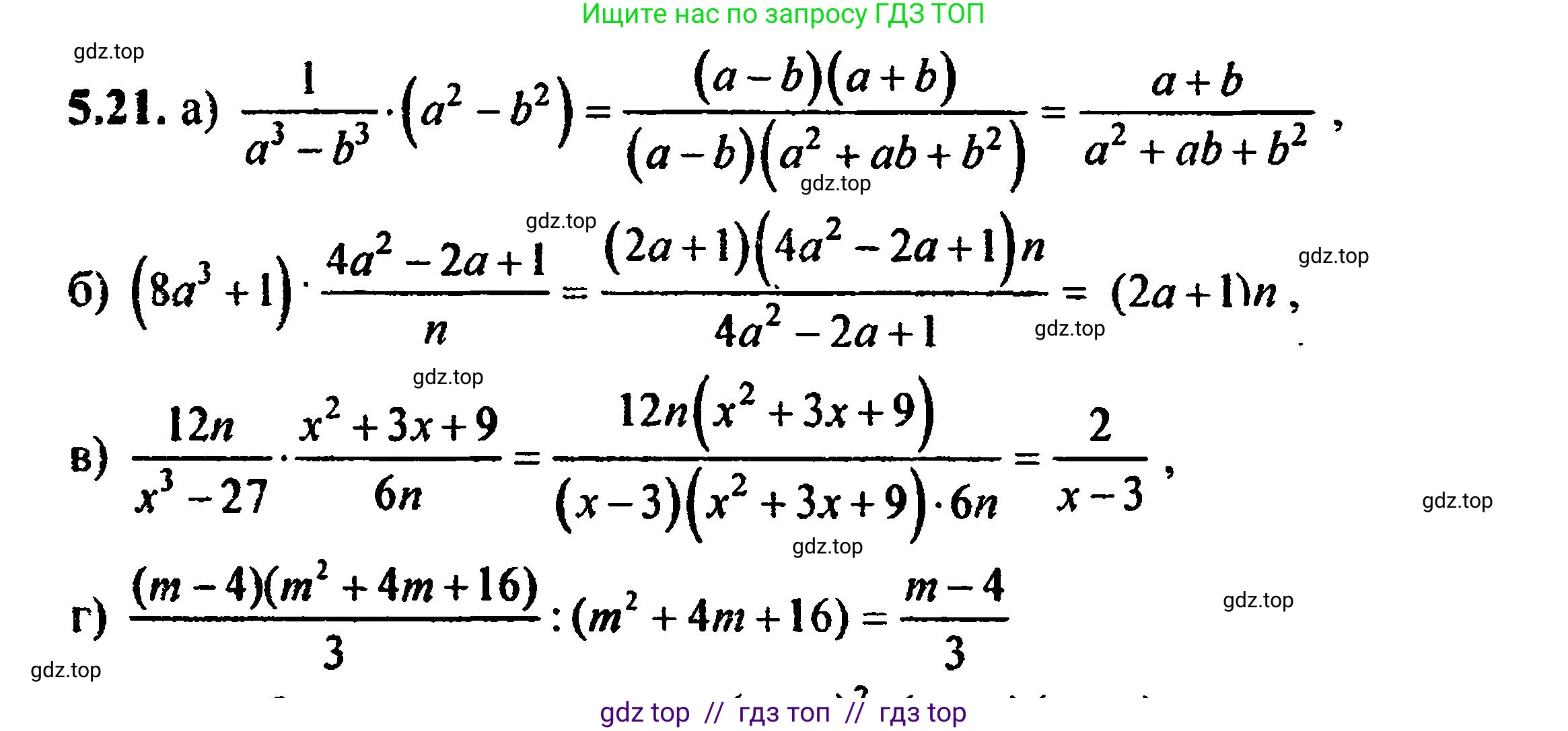
а) Чтобы упростить выражение $ \frac{1}{a^3 - b^3} \cdot (a^2 - b^2) $, представим его в виде одной дроби: $ \frac{a^2 - b^2}{a^3 - b^3} $.
Воспользуемся формулами сокращенного умножения: разностью квадратов $ a^2 - b^2 = (a - b)(a + b) $ и разностью кубов $ a^3 - b^3 = (a - b)(a^2 + ab + b^2) $.
Подставим разложенные на множители выражения в дробь: $ \frac{(a - b)(a + b)}{(a - b)(a^2 + ab + b^2)} $.
Сократим общий множитель $ (a - b) $: $ \frac{a + b}{a^2 + ab + b^2} $.
Ответ: $ \frac{a + b}{a^2 + ab + b^2} $.
б) Чтобы выполнить деление $ (8a^3 + 1) : \frac{4a^2 - 2a + 1}{n} $, заменим деление на умножение на обратную дробь: $ (8a^3 + 1) \cdot \frac{n}{4a^2 - 2a + 1} $.
Разложим выражение $ 8a^3 + 1 $ на множители по формуле суммы кубов $ x^3 + y^3 = (x + y)(x^2 - xy + y^2) $. В нашем случае $ x = 2a $ и $ y = 1 $: $ 8a^3 + 1 = (2a)^3 + 1^3 = (2a + 1)((2a)^2 - 2a \cdot 1 + 1^2) = (2a + 1)(4a^2 - 2a + 1) $.
Подставим полученное разложение в исходное выражение: $ \frac{(2a + 1)(4a^2 - 2a + 1)}{1} \cdot \frac{n}{4a^2 - 2a + 1} $.
Сократим общий множитель $ (4a^2 - 2a + 1) $: $ (2a + 1) \cdot n = n(2a + 1) $.
Ответ: $ n(2a + 1) $.
в) Для выполнения деления дробей $ \frac{12n}{x^3 - 27} : \frac{x^2 + 3x + 9}{6n} $ заменим операцию деления на умножение на обратную (перевернутую) дробь: $ \frac{12n}{x^3 - 27} \cdot \frac{6n}{x^2 + 3x + 9} $.
Разложим знаменатель первой дроби $ x^3 - 27 $ по формуле разности кубов $ a^3 - b^3 = (a - b)(a^2 + ab + b^2) $: $ x^3 - 27 = x^3 - 3^3 = (x - 3)(x^2 + 3x + 9) $.
Подставим разложение в выражение: $ \frac{12n}{(x - 3)(x^2 + 3x + 9)} \cdot \frac{6n}{x^2 + 3x + 9} $.
Теперь перемножим числители и знаменатели: $ \frac{12n \cdot 6n}{(x - 3)(x^2 + 3x + 9)(x^2 + 3x + 9)} = \frac{72n^2}{(x - 3)(x^2 + 3x + 9)^2} $.
Ответ: $ \frac{72n^2}{(x-3)(x^2+3x+9)^2} $.
г) Дано выражение $ \frac{m^3 - 64}{3} : (m^2 + 4m + 16) $.
Представим делитель в виде дроби $ \frac{m^2 + 4m + 16}{1} $ и заменим деление на умножение на обратную дробь: $ \frac{m^3 - 64}{3} \cdot \frac{1}{m^2 + 4m + 16} $.
Разложим числитель первой дроби $ m^3 - 64 $ по формуле разности кубов $ a^3 - b^3 = (a - b)(a^2 + ab + b^2) $: $ m^3 - 64 = m^3 - 4^3 = (m - 4)(m^2 + 4m + 16) $.
Подставим разложение в выражение: $ \frac{(m - 4)(m^2 + 4m + 16)}{3} \cdot \frac{1}{m^2 + 4m + 16} $.
Сократим общий множитель $ (m^2 + 4m + 16) $: $ \frac{m - 4}{3} $.
Ответ: $ \frac{m - 4}{3} $.
Другие задания:
Помогло решение? Оставьте отзыв в комментариях ниже.
Присоединяйтесь к Телеграм-группе @top_gdz
ПрисоединитьсяМы подготовили для вас ответ c подробным объяснением домашего задания по алгебре за 8 класс, для упражнения номер 5.21 расположенного на странице 39 для 2-й части к учебнику 2019 года издания для учащихся школ и гимназий.
Теперь на нашем сайте ГДЗ.ТОП вы всегда легко и бесплатно найдёте условие с правильным ответом на вопрос «Как решить ДЗ» и «Как сделать» задание по алгебре к упражнению №5.21 (с. 39), авторов: Мордкович (Александр Григорьевич), Александрова (Лилия Александровна), Мишустина (Татьяна Николаевна), Тульчинская (Елена Ефимовна), Семенов (Павел Владимирович), 2-й части учебного пособия издательства Мнемозина.