Номер 5.20, страница 39, часть 2 - гдз по алгебре 8 класс учебник Мордкович, Александрова

Алгебра, 8 класс Учебник, авторы: Мордкович Александр Григорьевич, Александрова Лилия Александровна, Мишустина Татьяна Николаевна, Тульчинская Елена Ефимовна, Семенов Павел Владимирович, издательство Мнемозина, Москва, 2019, часть 2

Авторы: Мордкович А. Г., Александрова Л. А., Мишустина Т. Н., Тульчинская Е. Е., Семенов П. В.

Тип: Учебник

Издательство: Мнемозина

Год издания: 2019 - 2025

Часть: 2

Допущено Министерством просвещения Российской Федерации

Популярные ГДЗ в 8 классе

Часть 2. Глава 1. Алгебраические дроби. Параграф 5. Умножение и деление алгебраических дробей. Возведение алгебраической дроби в степень - номер 5.20, страница 39.

№5.20 (с. 39)
Условие. №5.20 (с. 39)
скриншот условия
Алгебра, 8 класс Учебник, авторы: Мордкович Александр Григорьевич, Александрова Лилия Александровна, Мишустина Татьяна Николаевна, Тульчинская Елена Ефимовна, Семенов Павел Владимирович, издательство Мнемозина, Москва, 2019, Часть 2, страница 39, номер 5.20, Условие

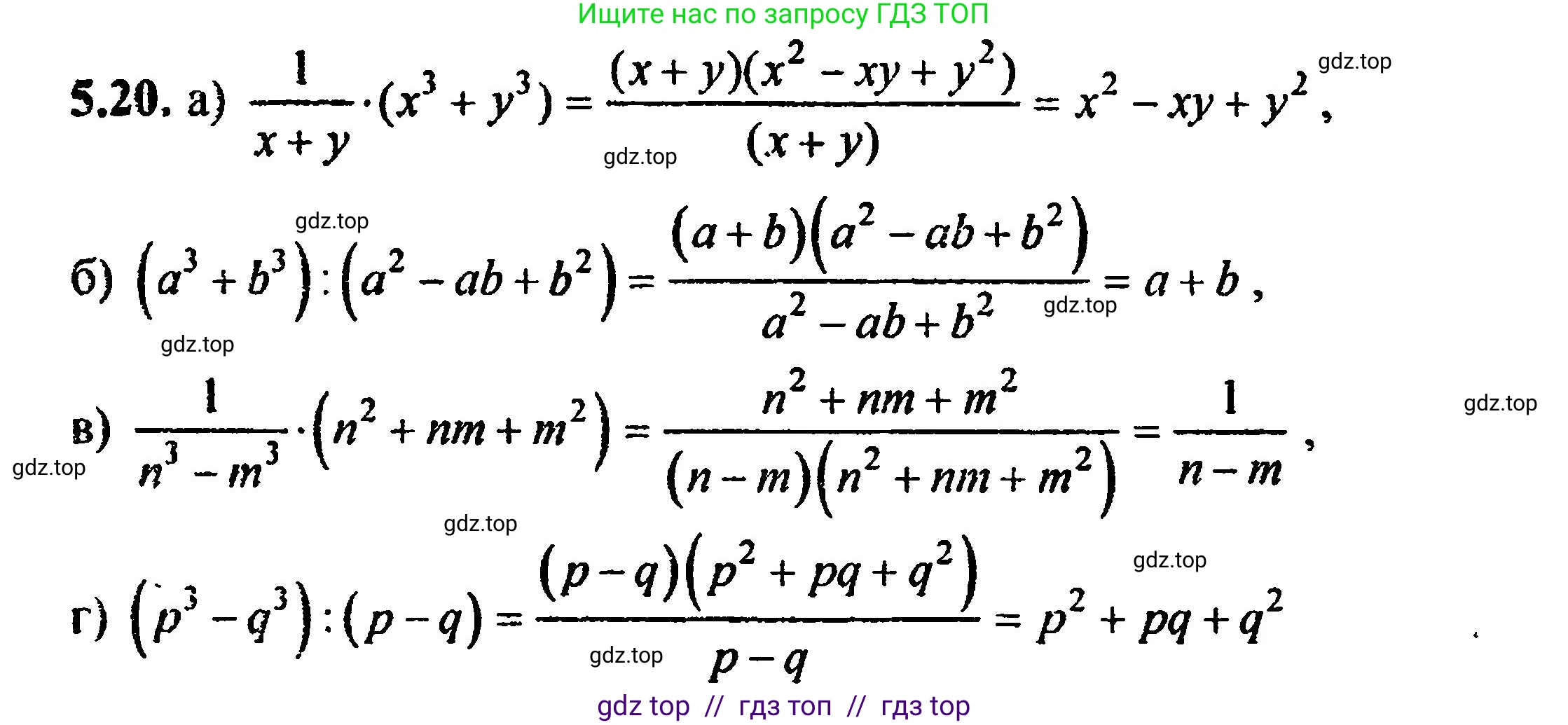
5.20 a) $\frac{1}{x+y} \cdot (x^3 + y^3);$

б) $(a^3 + b^3) : (a^2 - ab + b^2);$

в) $\frac{1}{n^3 - m^3} \cdot (n^2 + nm + m^2);$

г) $(p^3 - q^3) : (p - q).$

Решение 1. №5.20 (с. 39)
Алгебра, 8 класс Учебник, авторы: Мордкович Александр Григорьевич, Александрова Лилия Александровна, Мишустина Татьяна Николаевна, Тульчинская Елена Ефимовна, Семенов Павел Владимирович, издательство Мнемозина, Москва, 2019, Часть 2, страница 39, номер 5.20, Решение 1
Алгебра, 8 класс Учебник, авторы: Мордкович Александр Григорьевич, Александрова Лилия Александровна, Мишустина Татьяна Николаевна, Тульчинская Елена Ефимовна, Семенов Павел Владимирович, издательство Мнемозина, Москва, 2019, Часть 2, страница 39, номер 5.20, Решение 1 (продолжение 2)
Алгебра, 8 класс Учебник, авторы: Мордкович Александр Григорьевич, Александрова Лилия Александровна, Мишустина Татьяна Николаевна, Тульчинская Елена Ефимовна, Семенов Павел Владимирович, издательство Мнемозина, Москва, 2019, Часть 2, страница 39, номер 5.20, Решение 1 (продолжение 3)
Алгебра, 8 класс Учебник, авторы: Мордкович Александр Григорьевич, Александрова Лилия Александровна, Мишустина Татьяна Николаевна, Тульчинская Елена Ефимовна, Семенов Павел Владимирович, издательство Мнемозина, Москва, 2019, Часть 2, страница 39, номер 5.20, Решение 1 (продолжение 4)
Решение 2. №5.20 (с. 39)
Алгебра, 8 класс Учебник, авторы: Мордкович Александр Григорьевич, Александрова Лилия Александровна, Мишустина Татьяна Николаевна, Тульчинская Елена Ефимовна, Семенов Павел Владимирович, издательство Мнемозина, Москва, 2019, Часть 2, страница 39, номер 5.20, Решение 2
Решение 4. №5.20 (с. 39)
Алгебра, 8 класс Учебник, авторы: Мордкович Александр Григорьевич, Александрова Лилия Александровна, Мишустина Татьяна Николаевна, Тульчинская Елена Ефимовна, Семенов Павел Владимирович, издательство Мнемозина, Москва, 2019, Часть 2, страница 39, номер 5.20, Решение 4
Решение 6. №5.20 (с. 39)

а)

Для решения данного примера воспользуемся формулой сокращенного умножения для суммы кубов: $x^3 + y^3 = (x+y)(x^2 - xy + y^2)$.

Подставим это разложение в исходное выражение:

$\frac{1}{x + y} \cdot (x^3 + y^3) = \frac{1}{x + y} \cdot (x+y)(x^2 - xy + y^2)$

Можно представить это как одну дробь:

$\frac{(x+y)(x^2 - xy + y^2)}{x + y}$

Сократим общий множитель $(x+y)$ в числителе и знаменателе:

$x^2 - xy + y^2$

Ответ: $x^2 - xy + y^2$

б)

Представим деление в виде дроби. Для упрощения воспользуемся формулой суммы кубов: $a^3 + b^3 = (a+b)(a^2 - ab + b^2)$.

$(a^3 + b^3) : (a^2 - ab + b^2) = \frac{a^3 + b^3}{a^2 - ab + b^2}$

Подставим разложение суммы кубов в числитель дроби:

$\frac{(a+b)(a^2 - ab + b^2)}{a^2 - ab + b^2}$

Сократим дробь на общий множитель $(a^2 - ab + b^2)$:

$a+b$

Ответ: $a+b$

в)

Для решения этого примера воспользуемся формулой разности кубов: $n^3 - m^3 = (n-m)(n^2 + nm + m^2)$.

Запишем исходное выражение в виде одной дроби:

$\frac{1}{n^3 - m^3} \cdot (n^2 + nm + m^2) = \frac{n^2 + nm + m^2}{n^3 - m^3}$

Теперь подставим разложение разности кубов в знаменатель:

$\frac{n^2 + nm + m^2}{(n-m)(n^2 + nm + m^2)}$

Сократим дробь на общий множитель $(n^2 + nm + m^2)$:

$\frac{1}{n-m}$

Ответ: $\frac{1}{n-m}$

г)

Представим деление в виде дроби. Для упрощения воспользуемся формулой разности кубов: $p^3 - q^3 = (p-q)(p^2 + pq + q^2)$.

$(p^3 - q^3) : (p - q) = \frac{p^3 - q^3}{p - q}$

Подставим разложение разности кубов в числитель дроби:

$\frac{(p-q)(p^2 + pq + q^2)}{p - q}$

Сократим дробь на общий множитель $(p-q)$:

$p^2 + pq + q^2$

Ответ: $p^2 + pq + q^2$

Помогло решение? Оставьте отзыв в комментариях ниже.

Присоединяйтесь к Телеграм-группе @top_gdz

Присоединиться

Мы подготовили для вас ответ c подробным объяснением домашего задания по алгебре за 8 класс, для упражнения номер 5.20 расположенного на странице 39 для 2-й части к учебнику 2019 года издания для учащихся школ и гимназий.

Теперь на нашем сайте ГДЗ.ТОП вы всегда легко и бесплатно найдёте условие с правильным ответом на вопрос «Как решить ДЗ» и «Как сделать» задание по алгебре к упражнению №5.20 (с. 39), авторов: Мордкович (Александр Григорьевич), Александрова (Лилия Александровна), Мишустина (Татьяна Николаевна), Тульчинская (Елена Ефимовна), Семенов (Павел Владимирович), 2-й части учебного пособия издательства Мнемозина.