Номер 16.64, страница 86, часть 2 - гдз по алгебре 8 класс учебник Мордкович, Александрова

Авторы: Мордкович А. Г., Александрова Л. А., Мишустина Т. Н., Тульчинская Е. Е., Семенов П. В.
Тип: Учебник
Издательство: Мнемозина
Год издания: 2019 - 2025
Часть: 2
Цвет обложки:
Допущено Министерством просвещения Российской Федерации
Популярные ГДЗ в 8 классе
Параграф 16. Преобразование выражений, содержащих операцию извлечения квадратного корня. Глава 2. Функция у =√х свойства квадратного корня. Часть 2 - номер 16.64, страница 86.
№16.64 (с. 86)
Условие. №16.64 (с. 86)
скриншот условия

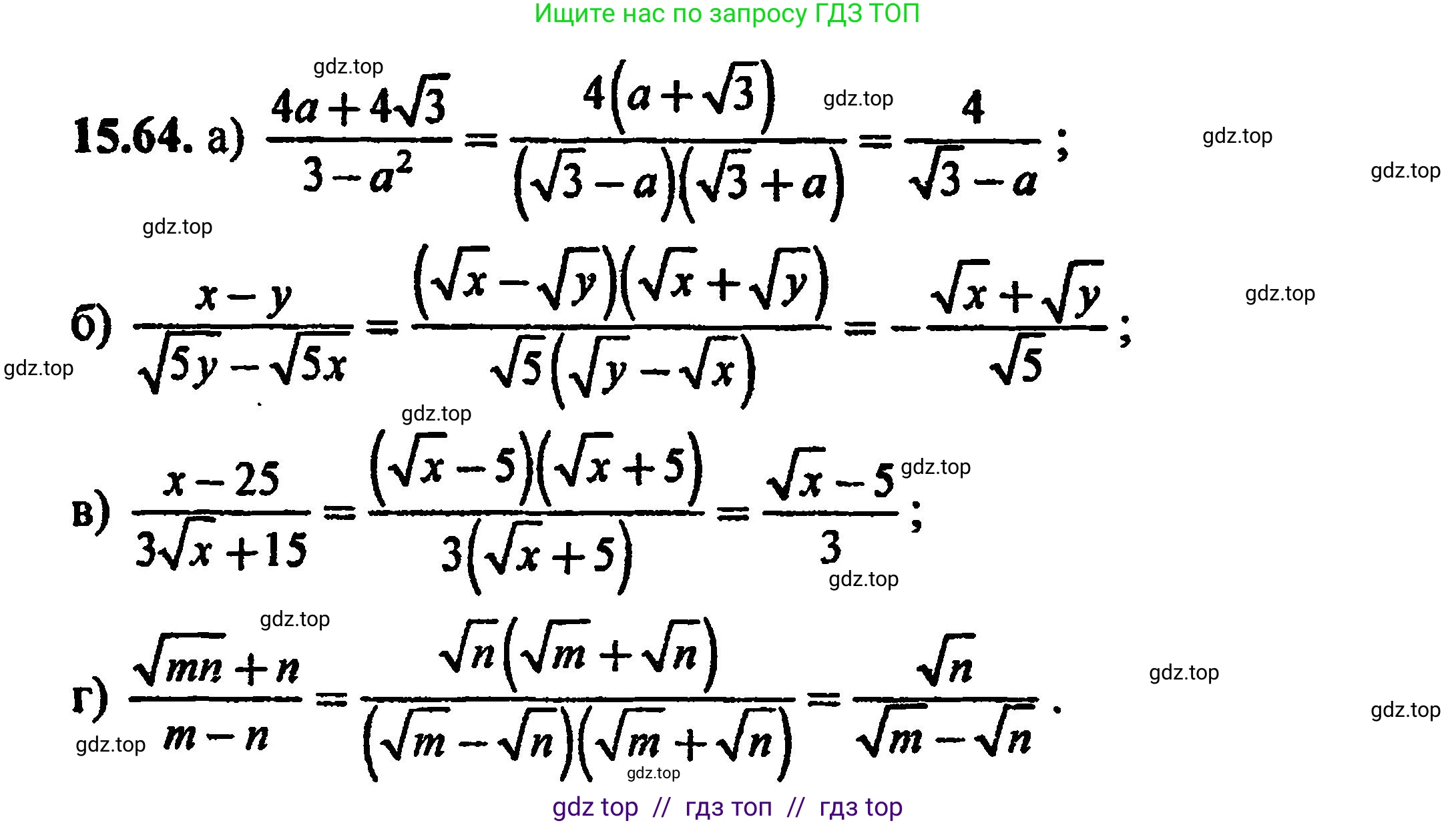
16.64 a) $\frac{4a + 4\sqrt{3}}{3 - a^2};$
б) $\frac{x - y}{\sqrt{5y} - \sqrt{5x}};$
в) $\frac{x - 25}{3\sqrt{x} + 15};$
г) $\frac{\sqrt{mn} + n}{m - n}.$
Решение 1. №16.64 (с. 86)




Решение 2. №16.64 (с. 86)

Решение 4. №16.64 (с. 86)

Решение 6. №16.64 (с. 86)
а)
Дана дробь $\frac{4a + 4\sqrt{3}}{3 - a^2}$.
1. Разложим числитель на множители, вынеся общий множитель 4 за скобки:
$4a + 4\sqrt{3} = 4(a + \sqrt{3})$.
2. Разложим знаменатель на множители, используя формулу разности квадратов $x^2 - y^2 = (x - y)(x + y)$. Для этого представим 3 как $(\sqrt{3})^2$:
$3 - a^2 = (\sqrt{3})^2 - a^2 = (\sqrt{3} - a)(\sqrt{3} + a)$.
3. Подставим разложенные выражения обратно в дробь:
$\frac{4(a + \sqrt{3})}{(\sqrt{3} - a)(\sqrt{3} + a)}$.
4. Сократим дробь на общий множитель $(a + \sqrt{3})$, так как $(a + \sqrt{3}) = (\sqrt{3} + a)$:
$\frac{4\cancel{(a + \sqrt{3})}}{(\sqrt{3} - a)\cancel{(\sqrt{3} + a)}} = \frac{4}{\sqrt{3} - a}$.
Ответ: $\frac{4}{\sqrt{3} - a}$.
б)
Дана дробь $\frac{x - y}{\sqrt{5y} - \sqrt{5x}}$.
1. Разложим числитель на множители по формуле разности квадратов, представив $x = (\sqrt{x})^2$ и $y = (\sqrt{y})^2$:
$x - y = (\sqrt{x})^2 - (\sqrt{y})^2 = (\sqrt{x} - \sqrt{y})(\sqrt{x} + \sqrt{y})$.
2. В знаменателе вынесем общий множитель $\sqrt{5}$ за скобки:
$\sqrt{5y} - \sqrt{5x} = \sqrt{5}(\sqrt{y} - \sqrt{x})$.
3. Подставим преобразованные выражения в дробь:
$\frac{(\sqrt{x} - \sqrt{y})(\sqrt{x} + \sqrt{y})}{\sqrt{5}(\sqrt{y} - \sqrt{x})}$.
4. Заметим, что множители в числителе и знаменателе отличаются знаком: $(\sqrt{y} - \sqrt{x}) = -(\sqrt{x} - \sqrt{y})$. Вынесем минус в знаменателе:
$\frac{(\sqrt{x} - \sqrt{y})(\sqrt{x} + \sqrt{y})}{-\sqrt{5}(\sqrt{x} - \sqrt{y})}$.
5. Сократим дробь на общий множитель $(\sqrt{x} - \sqrt{y})$:
$\frac{\cancel{(\sqrt{x} - \sqrt{y})}(\sqrt{x} + \sqrt{y})}{-\sqrt{5}\cancel{(\sqrt{x} - \sqrt{y})}} = -\frac{\sqrt{x} + \sqrt{y}}{\sqrt{5}}$.
Ответ: $-\frac{\sqrt{x} + \sqrt{y}}{\sqrt{5}}$.
в)
Дана дробь $\frac{x - 25}{3\sqrt{x} + 15}$.
1. Разложим числитель на множители по формуле разности квадратов, представив $x = (\sqrt{x})^2$ и $25 = 5^2$:
$x - 25 = (\sqrt{x})^2 - 5^2 = (\sqrt{x} - 5)(\sqrt{x} + 5)$.
2. В знаменателе вынесем общий множитель 3 за скобки:
$3\sqrt{x} + 15 = 3(\sqrt{x} + 5)$.
3. Подставим преобразованные выражения в дробь:
$\frac{(\sqrt{x} - 5)(\sqrt{x} + 5)}{3(\sqrt{x} + 5)}$.
4. Сократим дробь на общий множитель $(\sqrt{x} + 5)$:
$\frac{(\sqrt{x} - 5)\cancel{(\sqrt{x} + 5)}}{3\cancel{(\sqrt{x} + 5)}} = \frac{\sqrt{x} - 5}{3}$.
Ответ: $\frac{\sqrt{x} - 5}{3}$.
г)
Дана дробь $\frac{\sqrt{mn} + n}{m - n}$.
1. В числителе представим $n$ как $(\sqrt{n})^2$ и вынесем общий множитель $\sqrt{n}$ за скобки:
$\sqrt{mn} + n = \sqrt{m}\sqrt{n} + (\sqrt{n})^2 = \sqrt{n}(\sqrt{m} + \sqrt{n})$.
2. Разложим знаменатель на множители по формуле разности квадратов, представив $m = (\sqrt{m})^2$ и $n = (\sqrt{n})^2$:
$m - n = (\sqrt{m})^2 - (\sqrt{n})^2 = (\sqrt{m} - \sqrt{n})(\sqrt{m} + \sqrt{n})$.
3. Подставим преобразованные выражения в дробь:
$\frac{\sqrt{n}(\sqrt{m} + \sqrt{n})}{(\sqrt{m} - \sqrt{n})(\sqrt{m} + \sqrt{n})}$.
4. Сократим дробь на общий множитель $(\sqrt{m} + \sqrt{n})$:
$\frac{\sqrt{n}\cancel{(\sqrt{m} + \sqrt{n})}}{(\sqrt{m} - \sqrt{n})\cancel{(\sqrt{m} + \sqrt{n})}} = \frac{\sqrt{n}}{\sqrt{m} - \sqrt{n}}$.
Ответ: $\frac{\sqrt{n}}{\sqrt{m} - \sqrt{n}}$.
Другие задания:
Помогло решение? Оставьте отзыв в комментариях ниже.
Присоединяйтесь к Телеграм-группе @top_gdz
ПрисоединитьсяМы подготовили для вас ответ c подробным объяснением домашего задания по алгебре за 8 класс, для упражнения номер 16.64 расположенного на странице 86 для 2-й части к учебнику 2019 года издания для учащихся школ и гимназий.
Теперь на нашем сайте ГДЗ.ТОП вы всегда легко и бесплатно найдёте условие с правильным ответом на вопрос «Как решить ДЗ» и «Как сделать» задание по алгебре к упражнению №16.64 (с. 86), авторов: Мордкович (Александр Григорьевич), Александрова (Лилия Александровна), Мишустина (Татьяна Николаевна), Тульчинская (Елена Ефимовна), Семенов (Павел Владимирович), 2-й части учебного пособия издательства Мнемозина.