Номер 17.31, страница 96, часть 2 - гдз по алгебре 8 класс учебник Мордкович, Александрова

Авторы: Мордкович А. Г., Александрова Л. А., Мишустина Т. Н., Тульчинская Е. Е., Семенов П. В.
Тип: Учебник
Издательство: Мнемозина
Год издания: 2019 - 2025
Часть: 2
Цвет обложки:
Допущено Министерством просвещения Российской Федерации
Популярные ГДЗ в 8 классе
Параграф 17. Модуль действительного числа. Глава 2. Функция у =√х свойства квадратного корня. Часть 2 - номер 17.31, страница 96.
№17.31 (с. 96)
Условие. №17.31 (с. 96)
скриншот условия

Упростите выражение:
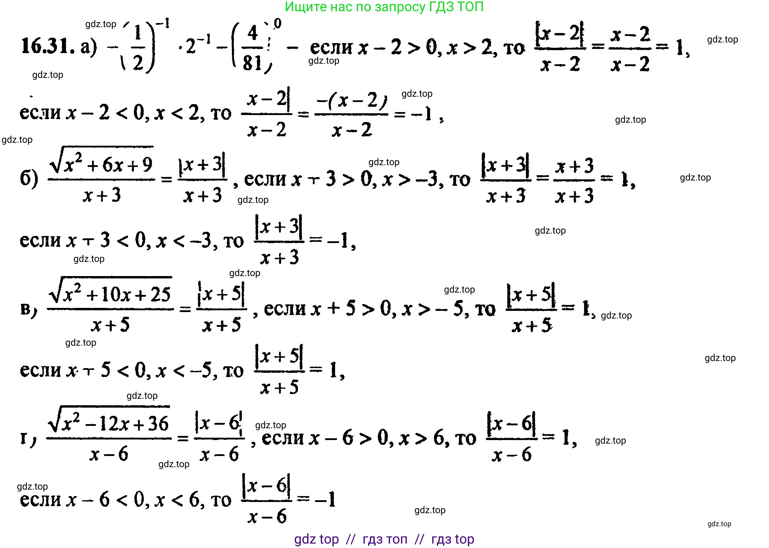
17.31 а) $ \frac{\sqrt{x^2 - 4x + 4}}{x - 2}; $
б) $ \frac{x + 3}{\sqrt{x^2 + 6x + 9}}; $
в) $ \frac{\sqrt{x^2 + 10x + 25}}{x + 5}; $
г) $ \frac{x - 6}{\sqrt{x^2 - 12x + 36}}. $
Решение 1. №17.31 (с. 96)




Решение 2. №17.31 (с. 96)

Решение 4. №17.31 (с. 96)

Решение 6. №17.31 (с. 96)
а) Рассмотрим выражение $\frac{\sqrt{x^2 - 4x + 4}}{x - 2}$.
Выражение в числителе под знаком корня, $x^2 - 4x + 4$, является полным квадратом разности: $x^2 - 2 \cdot x \cdot 2 + 2^2 = (x - 2)^2$.
Подставим это в исходное выражение: $\frac{\sqrt{(x - 2)^2}}{x - 2}$.
Используя свойство арифметического квадратного корня $\sqrt{a^2} = |a|$, получаем: $\frac{|x - 2|}{x - 2}$.
Теперь рассмотрим два случая в зависимости от знака выражения $x - 2$.
1. Если $x - 2 > 0$, то есть $x > 2$, то $|x - 2| = x - 2$. Выражение равно $\frac{x - 2}{x - 2} = 1$.
2. Если $x - 2 < 0$, то есть $x < 2$, то $|x - 2| = -(x - 2)$. Выражение равно $\frac{-(x - 2)}{x - 2} = -1$.
При $x = 2$ знаменатель обращается в ноль, поэтому выражение не определено.
Ответ: $1$ при $x > 2$; $-1$ при $x < 2$.
б) Рассмотрим выражение $\frac{x + 3}{\sqrt{x^2 + 6x + 9}}$.
Выражение в знаменателе под знаком корня, $x^2 + 6x + 9$, является полным квадратом суммы: $x^2 + 2 \cdot x \cdot 3 + 3^2 = (x + 3)^2$.
Подставим это в исходное выражение: $\frac{x + 3}{\sqrt{(x + 3)^2}}$.
Используя свойство $\sqrt{a^2} = |a|$, получаем: $\frac{x + 3}{|x + 3|}$.
Теперь рассмотрим два случая в зависимости от знака выражения $x + 3$.
1. Если $x + 3 > 0$, то есть $x > -3$, то $|x + 3| = x + 3$. Выражение равно $\frac{x + 3}{x + 3} = 1$.
2. Если $x + 3 < 0$, то есть $x < -3$, то $|x + 3| = -(x + 3)$. Выражение равно $\frac{x + 3}{-(x + 3)} = -1$.
При $x = -3$ знаменатель обращается в ноль, поэтому выражение не определено.
Ответ: $1$ при $x > -3$; $-1$ при $x < -3$.
в) Рассмотрим выражение $\frac{\sqrt{x^2 + 10x + 25}}{x + 5}$.
Выражение в числителе под знаком корня, $x^2 + 10x + 25$, является полным квадратом суммы: $x^2 + 2 \cdot x \cdot 5 + 5^2 = (x + 5)^2$.
Подставим это в исходное выражение: $\frac{\sqrt{(x + 5)^2}}{x + 5}$.
Используя свойство $\sqrt{a^2} = |a|$, получаем: $\frac{|x + 5|}{x + 5}$.
Теперь рассмотрим два случая в зависимости от знака выражения $x + 5$.
1. Если $x + 5 > 0$, то есть $x > -5$, то $|x + 5| = x + 5$. Выражение равно $\frac{x + 5}{x + 5} = 1$.
2. Если $x + 5 < 0$, то есть $x < -5$, то $|x + 5| = -(x + 5)$. Выражение равно $\frac{-(x + 5)}{x + 5} = -1$.
При $x = -5$ знаменатель обращается в ноль, поэтому выражение не определено.
Ответ: $1$ при $x > -5$; $-1$ при $x < -5$.
г) Рассмотрим выражение $\frac{x - 6}{\sqrt{x^2 - 12x + 36}}$.
Выражение в знаменателе под знаком корня, $x^2 - 12x + 36$, является полным квадратом разности: $x^2 - 2 \cdot x \cdot 6 + 6^2 = (x - 6)^2$.
Подставим это в исходное выражение: $\frac{x - 6}{\sqrt{(x - 6)^2}}$.
Используя свойство $\sqrt{a^2} = |a|$, получаем: $\frac{x - 6}{|x - 6|}$.
Теперь рассмотрим два случая в зависимости от знака выражения $x - 6$.
1. Если $x - 6 > 0$, то есть $x > 6$, то $|x - 6| = x - 6$. Выражение равно $\frac{x - 6}{x - 6} = 1$.
2. Если $x - 6 < 0$, то есть $x < 6$, то $|x - 6| = -(x - 6)$. Выражение равно $\frac{x - 6}{-(x - 6)} = -1$.
При $x = 6$ знаменатель обращается в ноль, поэтому выражение не определено.
Ответ: $1$ при $x > 6$; $-1$ при $x < 6$.
Другие задания:
Помогло решение? Оставьте отзыв в комментариях ниже.
Присоединяйтесь к Телеграм-группе @top_gdz
ПрисоединитьсяМы подготовили для вас ответ c подробным объяснением домашего задания по алгебре за 8 класс, для упражнения номер 17.31 расположенного на странице 96 для 2-й части к учебнику 2019 года издания для учащихся школ и гимназий.
Теперь на нашем сайте ГДЗ.ТОП вы всегда легко и бесплатно найдёте условие с правильным ответом на вопрос «Как решить ДЗ» и «Как сделать» задание по алгебре к упражнению №17.31 (с. 96), авторов: Мордкович (Александр Григорьевич), Александрова (Лилия Александровна), Мишустина (Татьяна Николаевна), Тульчинская (Елена Ефимовна), Семенов (Павел Владимирович), 2-й части учебного пособия издательства Мнемозина.