Номер 33.22, страница 189, часть 2 - гдз по алгебре 8 класс учебник Мордкович, Александрова

Авторы: Мордкович А. Г., Александрова Л. А., Мишустина Т. Н., Тульчинская Е. Е., Семенов П. В.
Тип: Учебник
Издательство: Мнемозина
Год издания: 2019 - 2025
Часть: 2
Цвет обложки:
Допущено Министерством просвещения Российской Федерации
Популярные ГДЗ в 8 классе
Параграф 33. Иррациональные уравнения. Глава 4. Квадратные уравнения. Часть 2 - номер 33.22, страница 189.
№33.22 (с. 189)
Условие. №33.22 (с. 189)
скриншот условия

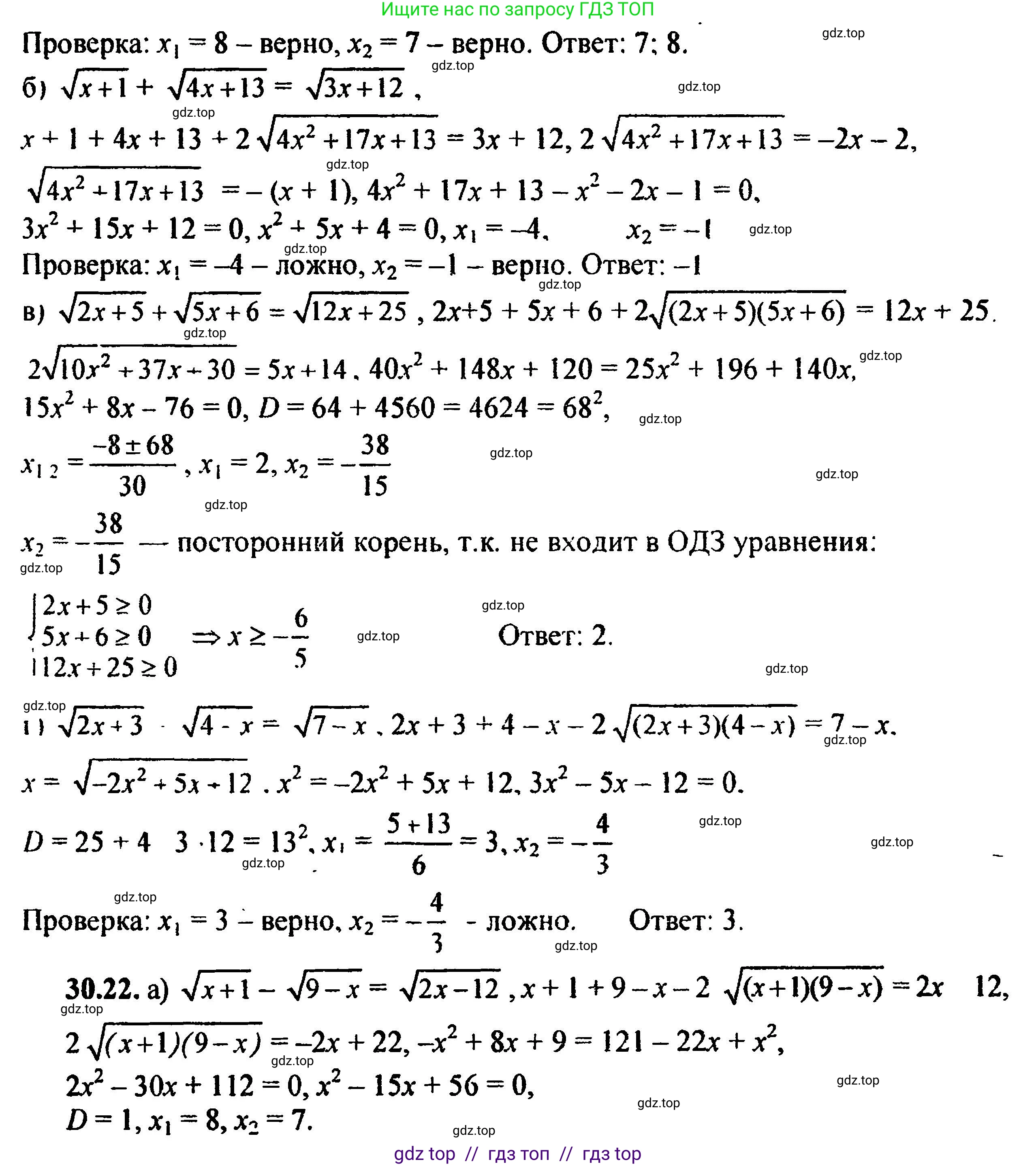
33.22 a) $\sqrt{x + 1} - \sqrt{9 - x} = \sqrt{2x - 12};$
б) $\sqrt{x + 1} + \sqrt{4x + 13} = \sqrt{3x + 12};$
в) $\sqrt{2x + 5} + \sqrt{5x + 6} = \sqrt{12x + 25};$
г) $\sqrt{2x + 3} - \sqrt{4 - x} = \sqrt{7 - x}.$
Решение 1. №33.22 (с. 189)




Решение 2. №33.22 (с. 189)

Решение 3. №33.22 (с. 189)

Решение 4. №33.22 (с. 189)




Решение 6. №33.22 (с. 189)
а) $\sqrt{x+1} - \sqrt{9-x} = \sqrt{2x-12}$
1. Найдем область допустимых значений (ОДЗ). Все подкоренные выражения должны быть неотрицательными:
$x+1 \ge 0 \implies x \ge -1$
$9-x \ge 0 \implies x \le 9$
$2x-12 \ge 0 \implies 2x \ge 12 \implies x \ge 6$
Пересечение этих условий дает ОДЗ: $x \in [6, 9]$.
2. Также необходимо учесть, что правая часть уравнения $\sqrt{2x-12}$ неотрицательна, поэтому и левая часть должна быть неотрицательной: $\sqrt{x+1} - \sqrt{9-x} \ge 0$. Это равносильно $\sqrt{x+1} \ge \sqrt{9-x}$. Так как обе части неотрицательны, можно возвести их в квадрат: $x+1 \ge 9-x$, откуда $2x \ge 8$, то есть $x \ge 4$. Это условие не сужает найденную ОДЗ, так как $x \ge 6$ уже включает $x \ge 4$.
3. Перенесем корень $\sqrt{9-x}$ в правую часть уравнения, чтобы при возведении в квадрат было меньше слагаемых со знаком минус: $\sqrt{x+1} = \sqrt{2x-12} + \sqrt{9-x}$.
4. Возведем обе части уравнения в квадрат:
$(\sqrt{x+1})^2 = (\sqrt{2x-12} + \sqrt{9-x})^2$
$x+1 = (2x-12) + (9-x) + 2\sqrt{(2x-12)(9-x)}$
$x+1 = x-3 + 2\sqrt{-2x^2 + 18x + 12x - 108}$
$x+1 = x-3 + 2\sqrt{-2x^2 + 30x - 108}$
5. Упростим уравнение и уединим оставшийся корень:
$4 = 2\sqrt{-2x^2 + 30x - 108}$
$2 = \sqrt{-2x^2 + 30x - 108}$
6. Снова возведем обе части в квадрат:
$4 = -2x^2 + 30x - 108$
$2x^2 - 30x + 112 = 0$
Разделим уравнение на 2, чтобы упростить коэффициенты:
$x^2 - 15x + 56 = 0$
7. Решим полученное квадратное уравнение. По теореме Виета, сумма корней равна 15, а их произведение равно 56. Легко подобрать корни: $x_1 = 7$ и $x_2 = 8$.
8. Проверим, принадлежат ли найденные корни ОДЗ $x \in [6, 9]$. Оба корня, 7 и 8, принадлежат этому промежутку, значит, они могут быть решениями.
9. Выполним проверку подстановкой в исходное уравнение:
При $x=7$: $\sqrt{7+1} - \sqrt{9-7} = \sqrt{8} - \sqrt{2} = 2\sqrt{2}-\sqrt{2}=\sqrt{2}$. Правая часть: $\sqrt{2(7)-12} = \sqrt{14-12} = \sqrt{2}$. Равенство $\sqrt{2} = \sqrt{2}$ верно.
При $x=8$: $\sqrt{8+1} - \sqrt{9-8} = \sqrt{9} - \sqrt{1} = 3-1=2$. Правая часть: $\sqrt{2(8)-12} = \sqrt{16-12} = \sqrt{4}=2$. Равенство $2 = 2$ верно.
Оба корня являются решениями уравнения.
Ответ: 7; 8.
б) $\sqrt{x+1} + \sqrt{4x+13} = \sqrt{3x+12}$
1. Найдем область допустимых значений (ОДЗ):
$x+1 \ge 0 \implies x \ge -1$
$4x+13 \ge 0 \implies 4x \ge -13 \implies x \ge -3.25$
$3x+12 \ge 0 \implies 3x \ge -12 \implies x \ge -4$
Пересечение этих условий дает ОДЗ: $x \ge -1$.
2. Возведем обе части уравнения в квадрат:
$(\sqrt{x+1} + \sqrt{4x+13})^2 = (\sqrt{3x+12})^2$
$(x+1) + (4x+13) + 2\sqrt{(x+1)(4x+13)} = 3x+12$
$5x + 14 + 2\sqrt{4x^2 + 17x + 13} = 3x+12$
3. Уединим корень в левой части:
$2\sqrt{4x^2 + 17x + 13} = (3x+12) - (5x+14)$
$2\sqrt{4x^2 + 17x + 13} = -2x - 2$
$\sqrt{4x^2 + 17x + 13} = -x - 1$
4. Левая часть уравнения $\sqrt{4x^2 + 17x + 13}$ по определению корня неотрицательна. Следовательно, и правая часть должна быть неотрицательной: $-x - 1 \ge 0$, что означает $-x \ge 1$, или $x \le -1$.
5. Мы получили два условия для $x$: $x \ge -1$ (из ОДЗ) и $x \le -1$. Единственное число, удовлетворяющее обоим условиям, это $x = -1$.
6. Проверим, является ли $x=-1$ корнем исходного уравнения. Подставим это значение в уравнение:
$\sqrt{-1+1} + \sqrt{4(-1)+13} = \sqrt{3(-1)+12}$
$\sqrt{0} + \sqrt{-4+13} = \sqrt{-3+12}$
$0 + \sqrt{9} = \sqrt{9}$
$3 = 3$.
Равенство верное, следовательно, $x=-1$ является единственным решением.
Ответ: -1.
в) $\sqrt{2x+5} + \sqrt{5x+6} = \sqrt{12x+25}$
1. Найдем область допустимых значений (ОДЗ):
$2x+5 \ge 0 \implies 2x \ge -5 \implies x \ge -2.5$
$5x+6 \ge 0 \implies 5x \ge -6 \implies x \ge -1.2$
$12x+25 \ge 0 \implies 12x \ge -25 \implies x \ge -25/12 \approx -2.08$
Пересечение всех условий дает ОДЗ: $x \ge -1.2$.
2. Возведем обе части уравнения в квадрат:
$(\sqrt{2x+5} + \sqrt{5x+6})^2 = (\sqrt{12x+25})^2$
$(2x+5) + (5x+6) + 2\sqrt{(2x+5)(5x+6)} = 12x+25$
$7x + 11 + 2\sqrt{10x^2 + 12x + 25x + 30} = 12x+25$
$7x + 11 + 2\sqrt{10x^2 + 37x + 30} = 12x+25$
3. Уединим корень:
$2\sqrt{10x^2 + 37x + 30} = (12x+25) - (7x+11)$
$2\sqrt{10x^2 + 37x + 30} = 5x+14$
4. Правая часть $5x+14$ должна быть неотрицательной: $5x+14 \ge 0 \implies x \ge -14/5 = -2.8$. Это условие выполняется для всех $x$ из ОДЗ ($x \ge -1.2$).
5. Снова возводим в квадрат:
$(2\sqrt{10x^2 + 37x + 30})^2 = (5x+14)^2$
$4(10x^2 + 37x + 30) = 25x^2 + 140x + 196$
$40x^2 + 148x + 120 = 25x^2 + 140x + 196$
6. Перенесем все члены в левую часть и приведем подобные:
$15x^2 + 8x - 76 = 0$
7. Решим квадратное уравнение через дискриминант:
$D = b^2 - 4ac = 8^2 - 4(15)(-76) = 64 + 4560 = 4624 = 68^2$
$x = \frac{-b \pm \sqrt{D}}{2a} = \frac{-8 \pm 68}{2 \cdot 15} = \frac{-8 \pm 68}{30}$
$x_1 = \frac{-8+68}{30} = \frac{60}{30} = 2$
$x_2 = \frac{-8-68}{30} = \frac{-76}{30} = -\frac{38}{15} \approx -2.53$
8. Проверим корни на соответствие ОДЗ ($x \ge -1.2$).
Корень $x_1 = 2$ удовлетворяет условию $2 \ge -1.2$.
Корень $x_2 = -38/15 \approx -2.53$ не удовлетворяет условию $-2.53 \ge -1.2$, поэтому это посторонний корень.
9. Проверим единственный подходящий корень $x=2$ подстановкой в исходное уравнение:
$\sqrt{2(2)+5} + \sqrt{5(2)+6} = \sqrt{12(2)+25}$
$\sqrt{9} + \sqrt{16} = \sqrt{49}$
$3 + 4 = 7$
$7 = 7$.
Равенство верное, значит, $x=2$ является решением.
Ответ: 2.
г) $\sqrt{2x+3} - \sqrt{4-x} = \sqrt{7-x}$
1. Найдем область допустимых значений (ОДЗ):
$2x+3 \ge 0 \implies 2x \ge -3 \implies x \ge -1.5$
$4-x \ge 0 \implies x \le 4$
$7-x \ge 0 \implies x \le 7$
Пересечение этих условий дает ОДЗ: $x \in [-1.5, 4]$.
2. Перенесем корень $\sqrt{4-x}$ в правую часть:
$\sqrt{2x+3} = \sqrt{7-x} + \sqrt{4-x}$
3. Возведем обе части в квадрат:
$(\sqrt{2x+3})^2 = (\sqrt{7-x} + \sqrt{4-x})^2$
$2x+3 = (7-x) + (4-x) + 2\sqrt{(7-x)(4-x)}$
$2x+3 = 11 - 2x + 2\sqrt{x^2 - 11x + 28}$
4. Уединим оставшийся корень:
$2x+3 - (11-2x) = 2\sqrt{x^2 - 11x + 28}$
$4x - 8 = 2\sqrt{x^2 - 11x + 28}$
$2x - 4 = \sqrt{x^2 - 11x + 28}$
5. Левая часть $2x-4$ должна быть неотрицательной: $2x-4 \ge 0 \implies 2x \ge 4 \implies x \ge 2$.
6. Объединим это условие с ОДЗ: $x \in [-1.5, 4]$ и $x \ge 2$. Получаем итоговый промежуток для корней: $x \in [2, 4]$.
7. Снова возводим в квадрат обе части уравнения $2x - 4 = \sqrt{x^2 - 11x + 28}$:
$(2x - 4)^2 = x^2 - 11x + 28$
$4x^2 - 16x + 16 = x^2 - 11x + 28$
8. Переносим все в левую часть и решаем квадратное уравнение:
$3x^2 - 5x - 12 = 0$
$D = (-5)^2 - 4(3)(-12) = 25 + 144 = 169 = 13^2$
$x = \frac{5 \pm 13}{2 \cdot 3} = \frac{5 \pm 13}{6}$
$x_1 = \frac{5+13}{6} = \frac{18}{6} = 3$
$x_2 = \frac{5-13}{6} = \frac{-8}{6} = -\frac{4}{3}$
9. Проверяем корни на принадлежность промежутку $x \in [2, 4]$.
Корень $x_1 = 3$ принадлежит этому промежутку.
Корень $x_2 = -4/3 \approx -1.33$ не принадлежит этому промежутку, значит, это посторонний корень.
10. Проверим корень $x=3$ подстановкой в исходное уравнение:
$\sqrt{2(3)+3} - \sqrt{4-3} = \sqrt{7-3}$
$\sqrt{9} - \sqrt{1} = \sqrt{4}$
$3 - 1 = 2$
$2 = 2$.
Равенство верное, значит, $x=3$ является решением.
Ответ: 3.
Другие задания:
Помогло решение? Оставьте отзыв в комментариях ниже.
Присоединяйтесь к Телеграм-группе @top_gdz
ПрисоединитьсяМы подготовили для вас ответ c подробным объяснением домашего задания по алгебре за 8 класс, для упражнения номер 33.22 расположенного на странице 189 для 2-й части к учебнику 2019 года издания для учащихся школ и гимназий.
Теперь на нашем сайте ГДЗ.ТОП вы всегда легко и бесплатно найдёте условие с правильным ответом на вопрос «Как решить ДЗ» и «Как сделать» задание по алгебре к упражнению №33.22 (с. 189), авторов: Мордкович (Александр Григорьевич), Александрова (Лилия Александровна), Мишустина (Татьяна Николаевна), Тульчинская (Елена Ефимовна), Семенов (Павел Владимирович), 2-й части учебного пособия издательства Мнемозина.