Номер 54, страница 23 - гдз по алгебре 10-11 класс учебник Алимов, Колягин

Алгебра, 10-11 класс Учебник, авторы: Алимов Шавкат Арифджанович, Колягин Юрий Михайлович, Ткачева Мария Владимировна, Федорова Надежда Евгеньевна, Шабунин Михаил Иванович, издательство Просвещение, Москва, 2014

Авторы: Алимов Ш. А., Колягин Ю. М., Ткачева М. В., Федорова Н. Е., Шабунин М. И.

Тип: Учебник

Издательство: Просвещение

Год издания: 2014 - 2025

Уровень обучения: базовый и углублённый

Цвет обложки: синий, фиолетовый

ISBN: 978-5-09-112136-0

Допущено Министерством просвещения Российской Федерации

Математика: алгебра и начала математического анализа, геометрия

Популярные ГДЗ в 10 классе

Глава 1. Действительные числа. Параграф 4. Арифметический корень натуральной степени - номер 54, страница 23.

№54 (с. 23)
Условие. №54 (с. 23)
скриншот условия
Алгебра, 10-11 класс Учебник, авторы: Алимов Шавкат Арифджанович, Колягин Юрий Михайлович, Ткачева Мария Владимировна, Федорова Надежда Евгеньевна, Шабунин Михаил Иванович, издательство Просвещение, Москва, 2014, страница 23, номер 54, Условие

54 Упростить выражение:

1) $\frac{\sqrt{a}-\sqrt{b}}{\sqrt[4]{a}-\sqrt[4]{b}} - \frac{\sqrt{a}+\sqrt[4]{ab}}{\sqrt[4]{a}+\sqrt[4]{b}};

2) $\frac{a-b}{\sqrt[3]{a}-\sqrt[3]{b}} - \frac{a+b}{\sqrt[3]{a}+\sqrt[3]{b}};

3) $\left(\frac{a+b}{\sqrt[3]{a}+\sqrt[3]{b}} - \sqrt[3]{ab}\right) : \left(\sqrt[3]{a}-\sqrt[3]{b}\right)^2$.

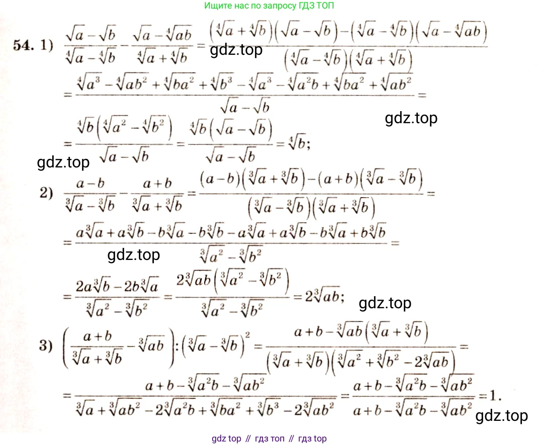
Решение 1. №54 (с. 23)
Алгебра, 10-11 класс Учебник, авторы: Алимов Шавкат Арифджанович, Колягин Юрий Михайлович, Ткачева Мария Владимировна, Федорова Надежда Евгеньевна, Шабунин Михаил Иванович, издательство Просвещение, Москва, 2014, страница 23, номер 54, Решение 1
Алгебра, 10-11 класс Учебник, авторы: Алимов Шавкат Арифджанович, Колягин Юрий Михайлович, Ткачева Мария Владимировна, Федорова Надежда Евгеньевна, Шабунин Михаил Иванович, издательство Просвещение, Москва, 2014, страница 23, номер 54, Решение 1 (продолжение 2)
Алгебра, 10-11 класс Учебник, авторы: Алимов Шавкат Арифджанович, Колягин Юрий Михайлович, Ткачева Мария Владимировна, Федорова Надежда Евгеньевна, Шабунин Михаил Иванович, издательство Просвещение, Москва, 2014, страница 23, номер 54, Решение 1 (продолжение 3)
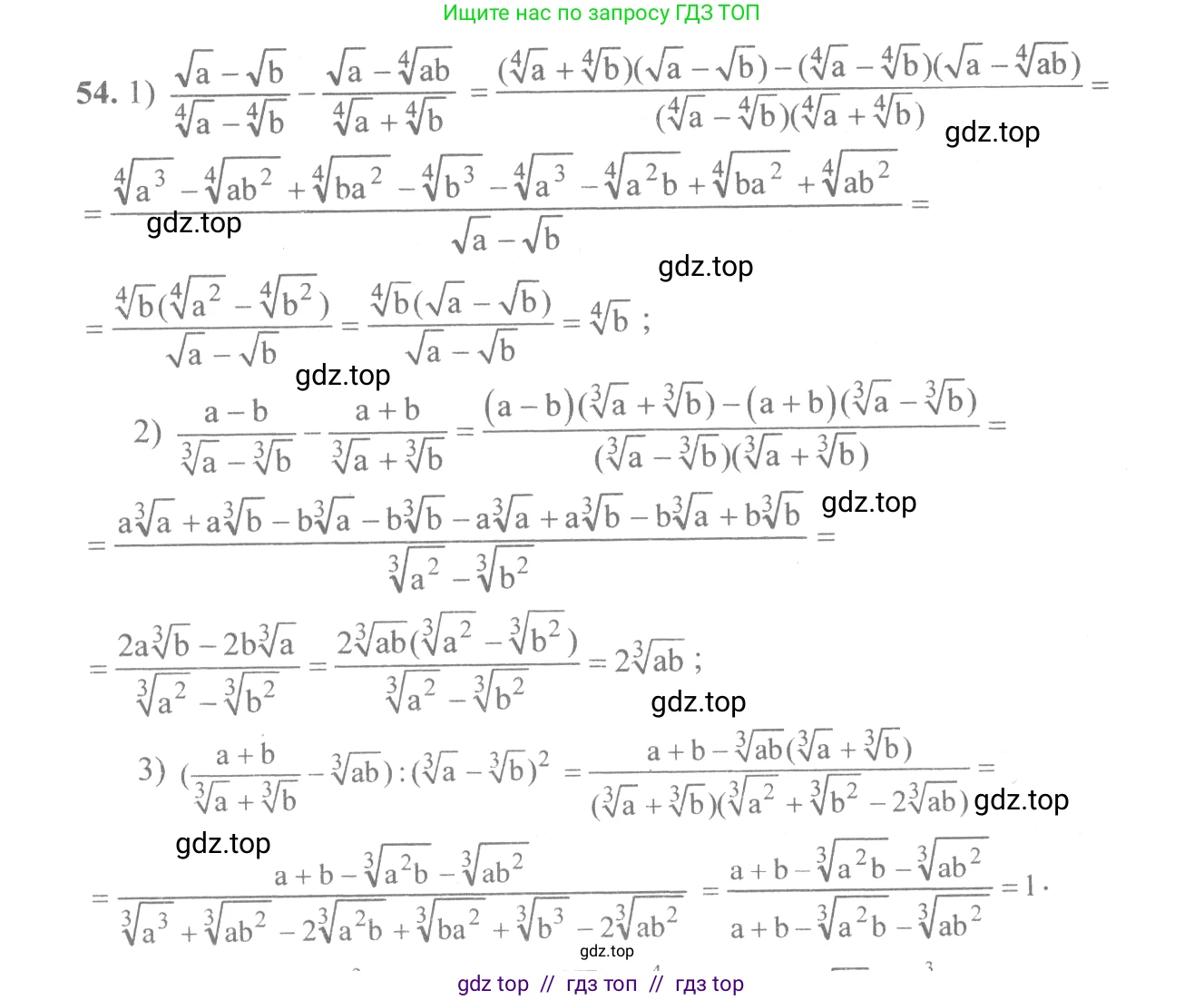
Решение 2. №54 (с. 23)
Алгебра, 10-11 класс Учебник, авторы: Алимов Шавкат Арифджанович, Колягин Юрий Михайлович, Ткачева Мария Владимировна, Федорова Надежда Евгеньевна, Шабунин Михаил Иванович, издательство Просвещение, Москва, 2014, страница 23, номер 54, Решение 2
Решение 4. №54 (с. 23)
Алгебра, 10-11 класс Учебник, авторы: Алимов Шавкат Арифджанович, Колягин Юрий Михайлович, Ткачева Мария Владимировна, Федорова Надежда Евгеньевна, Шабунин Михаил Иванович, издательство Просвещение, Москва, 2014, страница 23, номер 54, Решение 4
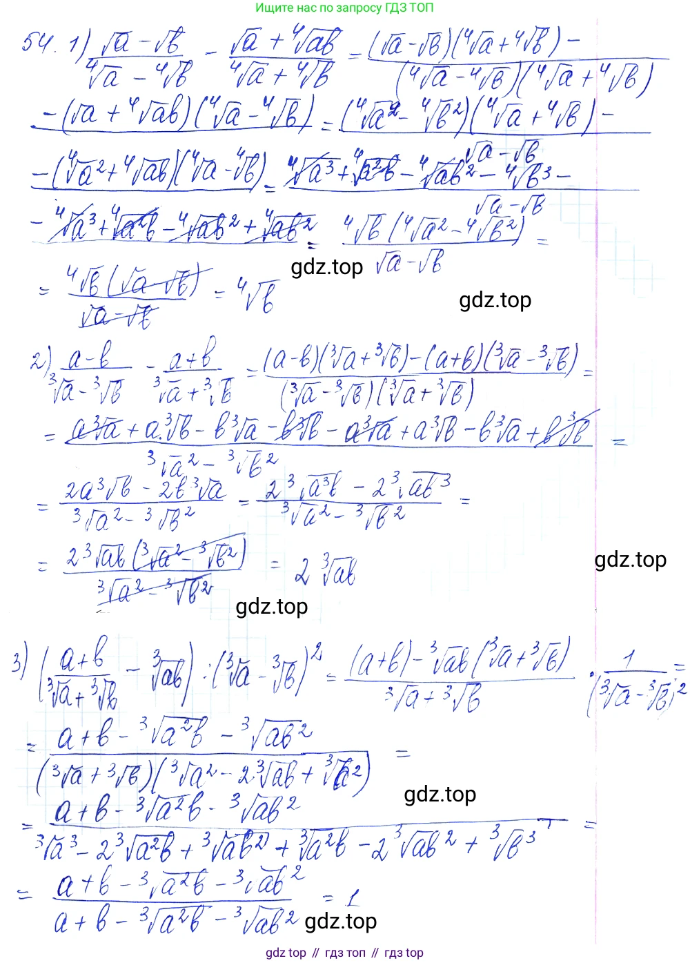
Решение 5. №54 (с. 23)
Алгебра, 10-11 класс Учебник, авторы: Алимов Шавкат Арифджанович, Колягин Юрий Михайлович, Ткачева Мария Владимировна, Федорова Надежда Евгеньевна, Шабунин Михаил Иванович, издательство Просвещение, Москва, 2014, страница 23, номер 54, Решение 5
Решение 6. №54 (с. 23)
Алгебра, 10-11 класс Учебник, авторы: Алимов Шавкат Арифджанович, Колягин Юрий Михайлович, Ткачева Мария Владимировна, Федорова Надежда Евгеньевна, Шабунин Михаил Иванович, издательство Просвещение, Москва, 2014, страница 23, номер 54, Решение 6
Решение 7. №54 (с. 23)
Алгебра, 10-11 класс Учебник, авторы: Алимов Шавкат Арифджанович, Колягин Юрий Михайлович, Ткачева Мария Владимировна, Федорова Надежда Евгеньевна, Шабунин Михаил Иванович, издательство Просвещение, Москва, 2014, страница 23, номер 54, Решение 7
Решение 8. №54 (с. 23)

1)

Исходное выражение: $\frac{\sqrt{a}-\sqrt{b}}{\sqrt[4]{a}-\sqrt[4]{b}} - \frac{\sqrt{a}+\sqrt[4]{ab}}{\sqrt[4]{a}+\sqrt[4]{b}}$

Упростим первую дробь. Заметим, что числитель $\sqrt{a}-\sqrt{b}$ можно представить как разность квадратов, так как $\sqrt{a} = (\sqrt[4]{a})^2$ и $\sqrt{b} = (\sqrt[4]{b})^2$.

$\sqrt{a}-\sqrt{b} = (\sqrt[4]{a})^2 - (\sqrt[4]{b})^2 = (\sqrt[4]{a}-\sqrt[4]{b})(\sqrt[4]{a}+\sqrt[4]{b})$.

Тогда первая дробь равна:

$\frac{(\sqrt[4]{a}-\sqrt[4]{b})(\sqrt[4]{a}+\sqrt[4]{b})}{\sqrt[4]{a}-\sqrt[4]{b}} = \sqrt[4]{a}+\sqrt[4]{b}$.

Теперь упростим вторую дробь. В числителе $\sqrt{a}+\sqrt[4]{ab}$ вынесем за скобки общий множитель $\sqrt[4]{a}$:

$\sqrt{a}+\sqrt[4]{ab} = (\sqrt[4]{a})^2 + \sqrt[4]{a}\sqrt[4]{b} = \sqrt[4]{a}(\sqrt[4]{a}+\sqrt[4]{b})$.

Тогда вторая дробь равна:

$\frac{\sqrt[4]{a}(\sqrt[4]{a}+\sqrt[4]{b})}{\sqrt[4]{a}+\sqrt[4]{b}} = \sqrt[4]{a}$.

Выполним вычитание полученных выражений:

$(\sqrt[4]{a}+\sqrt[4]{b}) - \sqrt[4]{a} = \sqrt[4]{b}$.

Ответ: $\sqrt[4]{b}$.

2)

Исходное выражение: $\frac{a-b}{\sqrt[3]{a}-\sqrt[3]{b}} - \frac{a+b}{\sqrt[3]{a}+\sqrt[3]{b}}$

Упростим первую дробь, используя формулу разности кубов для числителя: $a-b = (\sqrt[3]{a})^3 - (\sqrt[3]{b})^3 = (\sqrt[3]{a}-\sqrt[3]{b})(\sqrt[3]{a^2}+\sqrt[3]{ab}+\sqrt[3]{b^2})$.

$\frac{a-b}{\sqrt[3]{a}-\sqrt[3]{b}} = \frac{(\sqrt[3]{a}-\sqrt[3]{b})(\sqrt[3]{a^2}+\sqrt[3]{ab}+\sqrt[3]{b^2})}{\sqrt[3]{a}-\sqrt[3]{b}} = \sqrt[3]{a^2}+\sqrt[3]{ab}+\sqrt[3]{b^2}$.

Упростим вторую дробь, используя формулу суммы кубов для числителя: $a+b = (\sqrt[3]{a})^3 + (\sqrt[3]{b})^3 = (\sqrt[3]{a}+\sqrt[3]{b})(\sqrt[3]{a^2}-\sqrt[3]{ab}+\sqrt[3]{b^2})$.

$\frac{a+b}{\sqrt[3]{a}+\sqrt[3]{b}} = \frac{(\sqrt[3]{a}+\sqrt[3]{b})(\sqrt[3]{a^2}-\sqrt[3]{ab}+\sqrt[3]{b^2})}{\sqrt[3]{a}+\sqrt[3]{b}} = \sqrt[3]{a^2}-\sqrt[3]{ab}+\sqrt[3]{b^2}$.

Теперь вычтем второе упрощенное выражение из первого:

$(\sqrt[3]{a^2}+\sqrt[3]{ab}+\sqrt[3]{b^2}) - (\sqrt[3]{a^2}-\sqrt[3]{ab}+\sqrt[3]{b^2}) = \sqrt[3]{a^2}+\sqrt[3]{ab}+\sqrt[3]{b^2} - \sqrt[3]{a^2}+\sqrt[3]{ab}-\sqrt[3]{b^2} = 2\sqrt[3]{ab}$.

Ответ: $2\sqrt[3]{ab}$.

3)

Исходное выражение: $(\frac{a+b}{\sqrt[3]{a}+\sqrt[3]{b}} - \sqrt[3]{ab}) : (\sqrt[3]{a}-\sqrt[3]{b})^2$

Сначала упростим выражение в скобках. Преобразуем дробь, используя формулу суммы кубов $a+b = (\sqrt[3]{a})^3 + (\sqrt[3]{b})^3$:

$\frac{a+b}{\sqrt[3]{a}+\sqrt[3]{b}} = \frac{(\sqrt[3]{a}+\sqrt[3]{b})(\sqrt[3]{a^2}-\sqrt[3]{ab}+\sqrt[3]{b^2})}{\sqrt[3]{a}+\sqrt[3]{b}} = \sqrt[3]{a^2}-\sqrt[3]{ab}+\sqrt[3]{b^2}$.

Теперь подставим результат в скобки и выполним вычитание:

$(\sqrt[3]{a^2}-\sqrt[3]{ab}+\sqrt[3]{b^2}) - \sqrt[3]{ab} = \sqrt[3]{a^2}-2\sqrt[3]{ab}+\sqrt[3]{b^2}$.

Полученное выражение является формулой квадрата разности:

$\sqrt[3]{a^2}-2\sqrt[3]{ab}+\sqrt[3]{b^2} = (\sqrt[3]{a})^2 - 2\sqrt[3]{a}\sqrt[3]{b} + (\sqrt[3]{b})^2 = (\sqrt[3]{a}-\sqrt[3]{b})^2$.

Теперь выполним деление:

$\frac{(\sqrt[3]{a}-\sqrt[3]{b})^2}{(\sqrt[3]{a}-\sqrt[3]{b})^2} = 1$.

Ответ: $1$.

Помогло решение? Оставьте отзыв в комментариях ниже.

Присоединяйтесь к Телеграм-группе @top_gdz

Присоединиться

Мы подготовили для вас ответ c подробным объяснением домашего задания по алгебре за 10-11 класс, для упражнения номер 54 расположенного на странице 23 к учебнику 2014 года издания для учащихся школ и гимназий.

Теперь на нашем сайте ГДЗ.ТОП вы всегда легко и бесплатно найдёте условие с правильным ответом на вопрос «Как решить ДЗ» и «Как сделать» задание по алгебре к упражнению №54 (с. 23), авторов: Алимов (Шавкат Арифджанович), Колягин (Юрий Михайлович), Ткачева (Мария Владимировна), Федорова (Надежда Евгеньевна), Шабунин (Михаил Иванович), ФГОС (старый) базовый и углублённый уровень обучения учебного пособия издательства Просвещение.