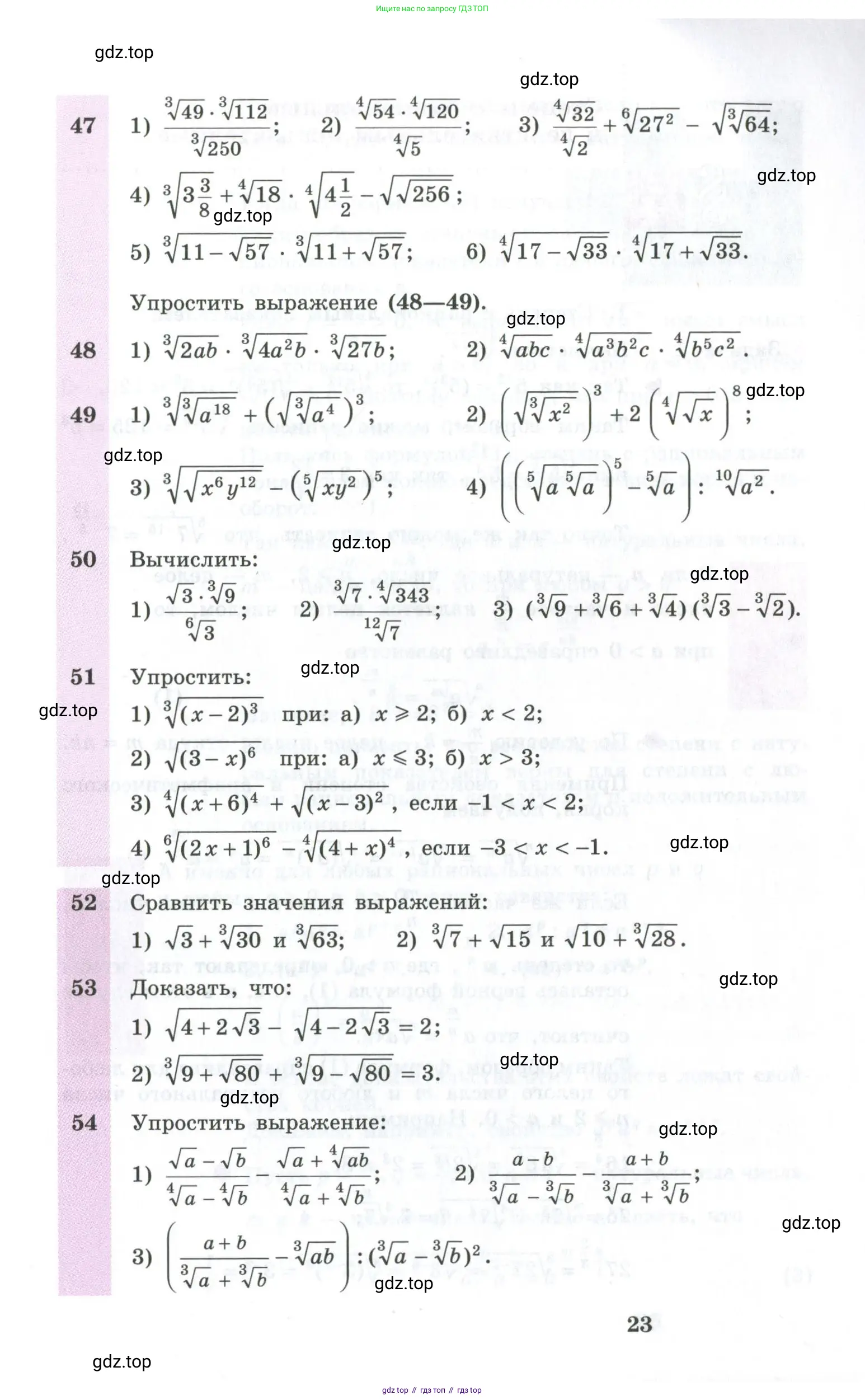
Страница 23 - гдз по алгебре 10-11 класс учебник Алимов, Колягин

Алгебра, 10-11 класс Учебник, авторы: Алимов Шавкат Арифджанович, Колягин Юрий Михайлович, Ткачева Мария Владимировна, Федорова Надежда Евгеньевна, Шабунин Михаил Иванович, издательство Просвещение, Москва, 2014

Авторы: Алимов Ш. А., Колягин Ю. М., Ткачева М. В., Федорова Н. Е., Шабунин М. И.

Тип: Учебник

Издательство: Просвещение

Год издания: 2014 - 2026

Уровень обучения: базовый и углублённый

Цвет обложки: синий, фиолетовый

ISBN: 978-5-09-112136-0

Допущено Министерством просвещения Российской Федерации

Математика: алгебра и начала математического анализа, геометрия

Cтраница 23

Алгебра, 10-11 класс Учебник, авторы: Алимов Шавкат Арифджанович, Колягин Юрий Михайлович, Ткачева Мария Владимировна, Федорова Надежда Евгеньевна, Шабунин Михаил Иванович, издательство Просвещение, Москва, 2014, страница 23
Ваш номер не отображается здесь?
Такое бывает: задание могло начаться на предыдущей или следующей странице.

Помогло решение? Оставьте отзыв в комментариях ниже.

Присоединяйтесь к Телеграм-группе @top_gdz

Присоединиться