Страница 18, часть 2 - гдз по алгебре 10-11 класс задачник часть 1, 2 Мордкович, Семенов


Авторы: Мордкович А. Г., Семенов П. В., Денищева Л. О., Корешкова Т. А., Мишустина Т. Н., Тульчинская Е. Е.
Тип: Задачник
Издательство: Мнемозина
Год издания: 2019 - 2025
Уровень обучения: базовый
Часть: 2
Цвет обложки:
ISBN: 978-5-346-04509-0 (общ.), 978-5-346-04510-6 (ч. 1), 978-5-346-04511-3 (ч. 2)
Рекомендовано Министерством образования и науки Российской Федерации
Математика: алгебра и начала математического анализа, геометрия
Популярные ГДЗ в 10 классе
ч. 2. Cтраница 18

№6.18 (с. 18)
Условие. №6.18 (с. 18)
скриншот условия

6.18 а) $\sin t + 1 = 0;$
б) $\cos t - 1 = 0;$
в) $1 - 2\sin t = 0;$
г) $2\cos t - 1 = 0.$
Решение 1. №6.18 (с. 18)

Решение 2. №6.18 (с. 18)


Решение 3. №6.18 (с. 18)

Решение 5. №6.18 (с. 18)


Решение 6. №6.18 (с. 18)
а) $sin t + 1 = 0$
Для решения данного уравнения необходимо выразить $sin t$. Перенесем 1 в правую часть уравнения, изменив знак:
$sin t = -1$
Это частный случай простейшего тригонометрического уравнения. Решением является серия точек на единичной окружности, где ордината равна -1. Такая точка одна, и она соответствует углу $-\frac{\pi}{2}$. Учитывая периодичность синуса, общее решение записывается так:
$t = -\frac{\pi}{2} + 2\pi k$, где $k \in \mathbb{Z}$ (k — любое целое число).
Ответ: $t = -\frac{\pi}{2} + 2\pi k, k \in \mathbb{Z}$.
б) $cos t - 1 = 0$
Выразим $cos t$, перенеся -1 в правую часть уравнения:
$cos t = 1$
Это также частный случай. Решением является серия точек, где абсцисса на единичной окружности равна 1. Эта точка соответствует углу 0. Учитывая периодичность косинуса, общее решение имеет вид:
$t = 0 + 2\pi k$, или просто $t = 2\pi k$, где $k \in \mathbb{Z}$.
Ответ: $t = 2\pi k, k \in \mathbb{Z}$.
в) $1 - 2sin t = 0$
Сначала выразим $sin t$. Перенесем 1 вправо:
$-2sin t = -1$
Теперь разделим обе части на -2:
$sin t = \frac{-1}{-2} = \frac{1}{2}$
Для решения уравнения $sin t = a$ используется общая формула: $t = (-1)^k \arcsin(a) + \pi k, k \in \mathbb{Z}$.
В нашем случае $a = \frac{1}{2}$, а $\arcsin(\frac{1}{2}) = \frac{\pi}{6}$.
Подставим это значение в формулу:
$t = (-1)^k \frac{\pi}{6} + \pi k$, где $k \in \mathbb{Z}$.
Ответ: $t = (-1)^k \frac{\pi}{6} + \pi k, k \in \mathbb{Z}$.
г) $2cos t - 1 = 0$
Выразим $cos t$ из уравнения. Сначала перенесем -1 вправо:
$2cos t = 1$
Разделим обе части на 2:
$cos t = \frac{1}{2}$
Для решения уравнения $cos t = a$ используется общая формула: $t = \pm \arccos(a) + 2\pi k, k \in \mathbb{Z}$.
В нашем случае $a = \frac{1}{2}$, а $\arccos(\frac{1}{2}) = \frac{\pi}{3}$.
Подставим это значение в формулу:
$t = \pm \frac{\pi}{3} + 2\pi k$, где $k \in \mathbb{Z}$.
Ответ: $t = \pm \frac{\pi}{3} + 2\pi k, k \in \mathbb{Z}$.
№6.23 (с. 18)
Условие. №6.23 (с. 18)
скриншот условия

6.23 а) $\sin 10$;
б) $\cos (-12)$;
в) $\sin (-15)$;
г) $\cos 8$.
Решение 1. №6.23 (с. 18)

Решение 2. №6.23 (с. 18)


Решение 3. №6.23 (с. 18)

Решение 5. №6.23 (с. 18)



Решение 6. №6.23 (с. 18)
а) Чтобы определить знак выражения $ \sin 10 $, необходимо установить, в какой координатной четверти находится угол, равный 10 радиан. Для этого сравним число 10 с ближайшими к нему значениями, кратными $ \pi/2 $, используя приближение $ \pi \approx 3,1416 $.
Найдем границы четвертей:
$ 3\pi \approx 3 \times 3,1416 = 9,4248 $
$ \frac{7\pi}{2} = 3,5\pi \approx 3,5 \times 3,1416 = 10,9956 $
Поскольку $ 9,4248 < 10 < 10,9956 $, то справедливо неравенство $ 3\pi < 10 < \frac{7\pi}{2} $. Углы в этом диапазоне соответствуют III координатной четверти. В III четверти значения синуса отрицательны.
Следовательно, $ \sin 10 < 0 $.
Ответ: $ \sin 10 < 0 $.
б) Воспользуемся свойством четности функции косинус: $ \cos(-\alpha) = \cos(\alpha) $. Таким образом, $ \cos(-12) = \cos(12) $. Теперь определим знак $ \cos(12) $.
Сравним число 12 с ближайшими к нему значениями, кратными $ \pi/2 $:
$ \frac{7\pi}{2} = 3,5\pi \approx 10,9956 $
$ 4\pi \approx 4 \times 3,1416 = 12,5664 $
Поскольку $ 10,9956 < 12 < 12,5664 $, то справедливо неравенство $ \frac{7\pi}{2} < 12 < 4\pi $. Углы в этом диапазоне соответствуют IV координатной четверти. В IV четверти значения косинуса положительны.
Следовательно, $ \cos(-12) > 0 $.
Ответ: $ \cos(-12) > 0 $.
в) Воспользуемся свойством нечетности функции синус: $ \sin(-\alpha) = -\sin(\alpha) $. Таким образом, $ \sin(-15) = -\sin(15) $. Знак выражения $ \sin(-15) $ будет противоположен знаку выражения $ \sin(15) $.
Определим знак $ \sin(15) $. Сравним число 15 с ближайшими к нему значениями, кратными $ \pi/2 $:
$ \frac{9\pi}{2} = 4,5\pi \approx 4,5 \times 3,1416 = 14,1372 $
$ 5\pi \approx 5 \times 3,1416 = 15,708 $
Поскольку $ 14,1372 < 15 < 15,708 $, то справедливо неравенство $ \frac{9\pi}{2} < 15 < 5\pi $. Углы в этом диапазоне соответствуют II координатной четверти. Во II четверти значения синуса положительны, т.е. $ \sin(15) > 0 $.
Так как $ \sin(-15) = -\sin(15) $, то $ \sin(-15) < 0 $.
Ответ: $ \sin(-15) < 0 $.
г) Чтобы определить знак выражения $ \cos 8 $, сравним число 8 с ближайшими к нему значениями, кратными $ \pi/2 $.
Найдем границы четвертей:
$ \frac{5\pi}{2} = 2,5\pi \approx 2,5 \times 3,1416 = 7,854 $
$ 3\pi \approx 3 \times 3,1416 = 9,4248 $
Поскольку $ 7,854 < 8 < 9,4248 $, то справедливо неравенство $ \frac{5\pi}{2} < 8 < 3\pi $. Углы в этом диапазоне соответствуют II координатной четверти. Во II четверти значения косинуса отрицательны.
Следовательно, $ \cos 8 < 0 $.
Ответ: $ \cos 8 < 0 $.
№6.19 (с. 18)
Условие. №6.19 (с. 18)
скриншот условия

6.19 Укажите все значения t, при которых не имеет смысла выражение:
а) $\frac{\sin t - 1}{\cos t}$;
б) $\frac{\cos t + 5}{2 \sin t - \sqrt{3}} $;
в) $\frac{\cos t}{3 - 3 \sin t}$;
г) $\frac{\sin t}{10 - 20 \cos t}$.
Решение 1. №6.19 (с. 18)

Решение 2. №6.19 (с. 18)


Решение 3. №6.19 (с. 18)

Решение 5. №6.19 (с. 18)



Решение 6. №6.19 (с. 18)
Дробное выражение не имеет смысла, когда его знаменатель равен нулю. Чтобы найти значения $t$, при которых выражения не имеют смысла, нужно приравнять знаменатели к нулю и решить полученные тригонометрические уравнения.
а) $\frac{\sin t - 1}{\cos t}$
Выражение не имеет смысла, если знаменатель $\cos t = 0$.
Решением этого простейшего тригонометрического уравнения является серия корней:
$t = \frac{\pi}{2} + \pi k$, где $k \in \mathbb{Z}$.
Ответ: $t = \frac{\pi}{2} + \pi k, k \in \mathbb{Z}$.
б) $\frac{\cos t + 5}{2 \sin t - \sqrt{3}}$
Выражение не имеет смысла, если знаменатель $2 \sin t - \sqrt{3} = 0$.
Решим это уравнение:
$2 \sin t = \sqrt{3}$
$\sin t = \frac{\sqrt{3}}{2}$
Общее решение для этого уравнения имеет вид:
$t = (-1)^k \arcsin\left(\frac{\sqrt{3}}{2}\right) + \pi k, k \in \mathbb{Z}$.
Так как $\arcsin\left(\frac{\sqrt{3}}{2}\right) = \frac{\pi}{3}$, получаем:
$t = (-1)^k \frac{\pi}{3} + \pi k, k \in \mathbb{Z}$.
Ответ: $t = (-1)^k \frac{\pi}{3} + \pi k, k \in \mathbb{Z}$.
в) $\frac{\cos t}{3 - 3 \sin t}$
Выражение не имеет смысла, если знаменатель $3 - 3 \sin t = 0$.
Решим это уравнение:
$3 = 3 \sin t$
$\sin t = 1$
Это частный случай, решением которого является:
$t = \frac{\pi}{2} + 2\pi k, k \in \mathbb{Z}$.
Ответ: $t = \frac{\pi}{2} + 2\pi k, k \in \mathbb{Z}$.
г) $\frac{\sin t}{10 - 20 \cos t}$
Выражение не имеет смысла, если знаменатель $10 - 20 \cos t = 0$.
Решим это уравнение:
$10 = 20 \cos t$
$\cos t = \frac{10}{20} = \frac{1}{2}$
Общее решение для этого уравнения имеет вид:
$t = \pm \arccos\left(\frac{1}{2}\right) + 2\pi k, k \in \mathbb{Z}$.
Так как $\arccos\left(\frac{1}{2}\right) = \frac{\pi}{3}$, получаем:
$t = \pm \frac{\pi}{3} + 2\pi k, k \in \mathbb{Z}$.
Ответ: $t = \pm \frac{\pi}{3} + 2\pi k, k \in \mathbb{Z}$.
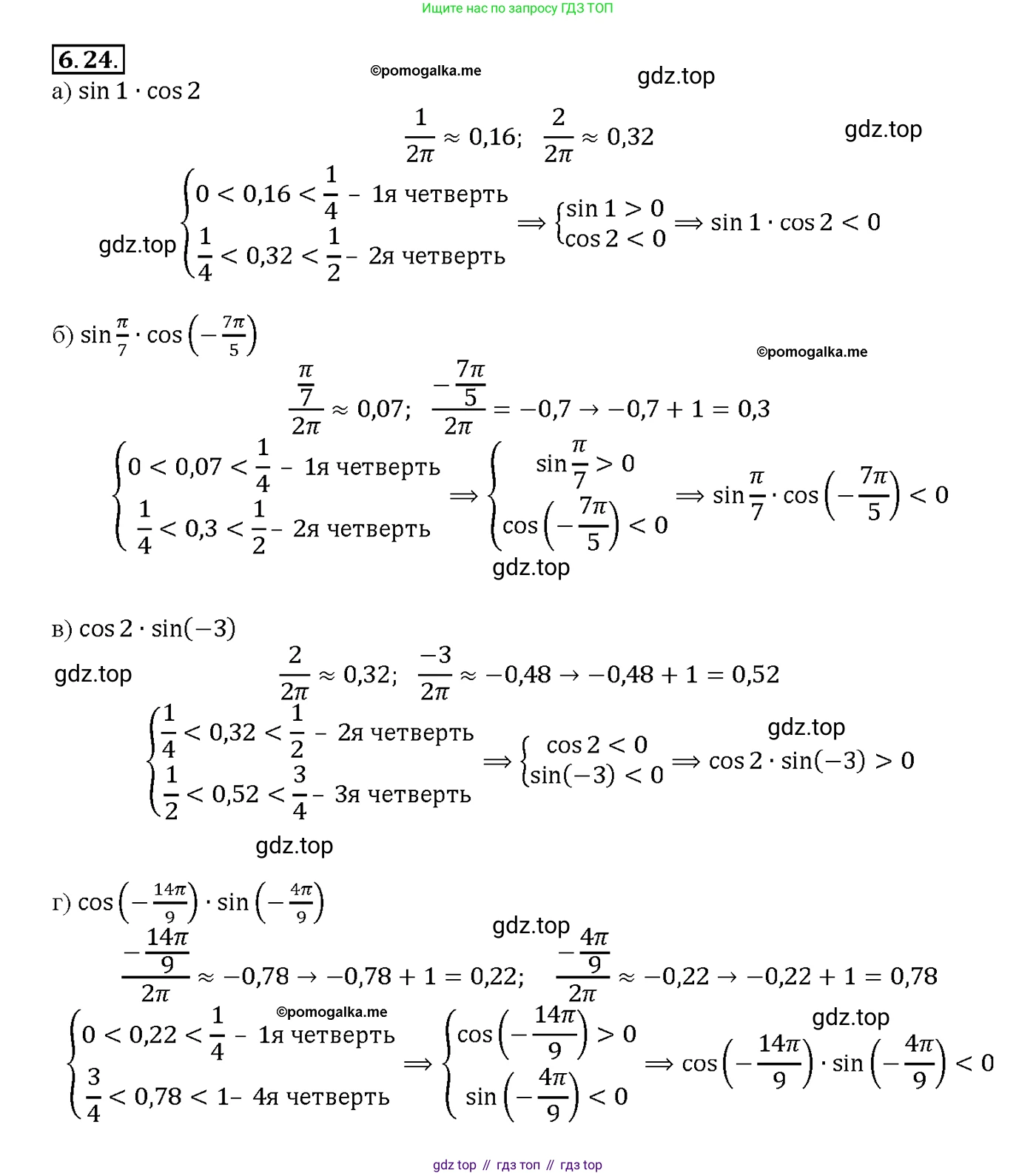
№6.24 (с. 18)
Условие. №6.24 (с. 18)
скриншот условия

6.24 a) $sin 1 \cdot cos 2;$
Б) $sin \frac{\pi}{7} \cdot cos \left(-\frac{7\pi}{5}\right);$
В) $cos 2 \cdot sin (-3);$
Г) $cos \left(-\frac{14\pi}{9}\right) \cdot sin \left(-\frac{4\pi}{9}\right).$
Решение 1. №6.24 (с. 18)

Решение 2. №6.24 (с. 18)


Решение 3. №6.24 (с. 18)

Решение 5. №6.24 (с. 18)



Решение 6. №6.24 (с. 18)
а) Для преобразования произведения тригонометрических функций в сумму используем формулу: $ \sin\alpha \cdot \cos\beta = \frac{1}{2}(\sin(\alpha+\beta) + \sin(\alpha-\beta)) $. В данном случае $ \alpha = 1 $ и $ \beta = 2 $. Подставим значения в формулу: $ \sin 1 \cdot \cos 2 = \frac{1}{2}(\sin(1+2) + \sin(1-2)) = \frac{1}{2}(\sin 3 + \sin(-1)) $. Так как синус является нечетной функцией, $ \sin(-x) = -\sin x $, то $ \sin(-1) = -\sin 1 $. Следовательно, получаем: $ \frac{1}{2}(\sin 3 - \sin 1) $.
Ответ: $ \frac{1}{2}(\sin 3 - \sin 1) $.
б) Сначала воспользуемся свойством четности косинуса: $ \cos(-x) = \cos x $. Таким образом, $ \cos(-\frac{7\pi}{5}) = \cos(\frac{7\pi}{5}) $. Выражение принимает вид: $ \sin\frac{\pi}{7} \cdot \cos\frac{7\pi}{5} $. Применяем формулу преобразования произведения в сумму: $ \sin\alpha \cdot \cos\beta = \frac{1}{2}(\sin(\alpha+\beta) + \sin(\alpha-\beta)) $. Здесь $ \alpha = \frac{\pi}{7} $ и $ \beta = \frac{7\pi}{5} $. Найдем сумму и разность углов: $ \alpha + \beta = \frac{\pi}{7} + \frac{7\pi}{5} = \frac{5\pi + 49\pi}{35} = \frac{54\pi}{35} $. $ \alpha - \beta = \frac{\pi}{7} - \frac{7\pi}{5} = \frac{5\pi - 49\pi}{35} = -\frac{44\pi}{35} $. Подставляем в формулу: $ \sin\frac{\pi}{7} \cdot \cos\frac{7\pi}{5} = \frac{1}{2}(\sin(\frac{54\pi}{35}) + \sin(-\frac{44\pi}{35})) $. Используя свойство нечетности синуса $ \sin(-x) = -\sin x $, получаем: $ \frac{1}{2}(\sin\frac{54\pi}{35} - \sin\frac{44\pi}{35}) $.
Ответ: $ \frac{1}{2}(\sin\frac{54\pi}{35} - \sin\frac{44\pi}{35}) $.
в) Воспользуемся свойством нечетности синуса: $ \sin(-x) = -\sin x $. Тогда $ \sin(-3) = -\sin 3 $. Выражение становится: $ \cos 2 \cdot (-\sin 3) = -\cos 2 \cdot \sin 3 $. Применим формулу преобразования произведения косинуса на синус в разность синусов: $ \cos\alpha \cdot \sin\beta = \frac{1}{2}(\sin(\alpha+\beta) - \sin(\alpha-\beta)) $. В нашем случае $ \alpha = 2 $ и $ \beta = 3 $. $ -\cos 2 \cdot \sin 3 = -\left[\frac{1}{2}(\sin(2+3) - \sin(2-3))\right] = -\frac{1}{2}(\sin 5 - \sin(-1)) $. Так как $ \sin(-1) = -\sin 1 $, то: $ -\frac{1}{2}(\sin 5 - (-\sin 1)) = -\frac{1}{2}(\sin 5 + \sin 1) $.
Ответ: $ -\frac{1}{2}(\sin 5 + \sin 1) $.
г) Используем свойства четности косинуса ($ \cos(-x) = \cos x $) и нечетности синуса ($ \sin(-x) = -\sin x $). $ \cos(-\frac{14\pi}{9}) = \cos(\frac{14\pi}{9}) $. $ \sin(-\frac{4\pi}{9}) = -\sin(\frac{4\pi}{9}) $. Выражение принимает вид: $ \cos(\frac{14\pi}{9}) \cdot (-\sin(\frac{4\pi}{9})) = -\cos(\frac{14\pi}{9}) \sin(\frac{4\pi}{9}) $. Применяем формулу $ \cos\alpha \cdot \sin\beta = \frac{1}{2}(\sin(\alpha+\beta) - \sin(\alpha-\beta)) $. Здесь $ \alpha = \frac{14\pi}{9} $ и $ \beta = \frac{4\pi}{9} $. $ \alpha + \beta = \frac{14\pi}{9} + \frac{4\pi}{9} = \frac{18\pi}{9} = 2\pi $. $ \alpha - \beta = \frac{14\pi}{9} - \frac{4\pi}{9} = \frac{10\pi}{9} $. Подставляем в формулу: $ -\cos(\frac{14\pi}{9}) \sin(\frac{4\pi}{9}) = -\frac{1}{2}(\sin(2\pi) - \sin(\frac{10\pi}{9})) $. Зная, что $ \sin(2\pi) = 0 $, получаем: $ -\frac{1}{2}(0 - \sin(\frac{10\pi}{9})) = \frac{1}{2}\sin(\frac{10\pi}{9}) $. Можно упростить дальше, используя формулу приведения: $ \sin(\frac{10\pi}{9}) = \sin(\pi + \frac{\pi}{9}) = -\sin(\frac{\pi}{9}) $. Тогда окончательный результат: $ \frac{1}{2}(-\sin(\frac{\pi}{9})) = -\frac{1}{2}\sin(\frac{\pi}{9}) $.
Ответ: $ -\frac{1}{2}\sin(\frac{\pi}{9}) $.
№6.15 (с. 18)
Условие. №6.15 (с. 18)
скриншот условия

6.15 Найдите наименьшее и наибольшее значения выражения:
a) $2\sin t$;
б) $3 + 4\cos t$;
в) $-3\cos t$;
г) $3 - 5\sin t$.
Решение 1. №6.15 (с. 18)

Решение 2. №6.15 (с. 18)

Решение 3. №6.15 (с. 18)

Решение 5. №6.15 (с. 18)


Решение 6. №6.15 (с. 18)
а) Для нахождения наименьшего и наибольшего значений выражения $2\sin t$ воспользуемся свойством ограниченности функции синус.
Известно, что для любого значения $t$ выполняется двойное неравенство:$-1 \le \sin t \le 1$.
Умножим все части этого неравенства на положительное число 2. Знак неравенства при этом не изменится:$2 \cdot (-1) \le 2 \cdot \sin t \le 2 \cdot 1$.
Выполнив умножение, получаем:$-2 \le 2\sin t \le 2$.
Следовательно, наименьшее значение выражения равно -2 (достигается, когда $\sin t = -1$), а наибольшее значение равно 2 (достигается, когда $\sin t = 1$).
Ответ: наименьшее значение -2, наибольшее значение 2.
б) Рассмотрим выражение $3 + 4\cos t$. Воспользуемся свойством ограниченности функции косинус.
Для любого значения $t$ справедливо неравенство:$-1 \le \cos t \le 1$.
Сначала умножим все части неравенства на 4. Так как $4 > 0$, знаки неравенства сохраняются:$4 \cdot (-1) \le 4 \cdot \cos t \le 4 \cdot 1$,что равносильно$-4 \le 4\cos t \le 4$.
Теперь прибавим ко всем частям неравенства число 3:$3 + (-4) \le 3 + 4\cos t \le 3 + 4$.
Упростив, получаем:$-1 \le 3 + 4\cos t \le 7$.
Таким образом, наименьшее значение выражения равно -1, а наибольшее — 7.
Ответ: наименьшее значение -1, наибольшее значение 7.
в) Найдем область значений для выражения $-3\cos t$.
Начнем с базового неравенства для косинуса:$-1 \le \cos t \le 1$.
Умножим все части неравенства на отрицательное число -3. При умножении на отрицательное число знаки неравенства меняются на противоположные:$(-3) \cdot (-1) \ge (-3) \cdot \cos t \ge (-3) \cdot 1$.
Выполним вычисления:$3 \ge -3\cos t \ge -3$.
Запишем это неравенство в привычном виде, от меньшего к большему:$-3 \le -3\cos t \le 3$.
Отсюда следует, что наименьшее значение выражения равно -3, а наибольшее равно 3.
Ответ: наименьшее значение -3, наибольшее значение 3.
г) Рассмотрим выражение $3 - 5\sin t$.
Исходное неравенство для функции синус:$-1 \le \sin t \le 1$.
Сначала найдем область значений для $-5\sin t$. Умножим все части неравенства на -5. Так как мы умножаем на отрицательное число, знаки неравенства изменятся на противоположные:$(-5) \cdot (-1) \ge (-5) \cdot \sin t \ge (-5) \cdot 1$.
После умножения получаем:$5 \ge -5\sin t \ge -5$.
Перепишем в стандартном виде:$-5 \le -5\sin t \le 5$.
Теперь прибавим ко всем частям полученного неравенства число 3:$3 + (-5) \le 3 - 5\sin t \le 3 + 5$.
Упростив, находим окончательный диапазон значений:$-2 \le 3 - 5\sin t \le 8$.
Следовательно, наименьшее значение выражения равно -2, а наибольшее — 8.
Ответ: наименьшее значение -2, наибольшее значение 8.
№6.20 (с. 18)
Условие. №6.20 (с. 18)
скриншот условия

Определите знак числа:
6.20 а) $\sin \frac{4\pi}{7}$;
б) $\cos \left(-\frac{5\pi}{7}\right)$;
в) $\sin \frac{9\pi}{8}$;
г) $\sin \left(-\frac{3\pi}{8}\right)$.
Решение 1. №6.20 (с. 18)

Решение 2. №6.20 (с. 18)

Решение 3. №6.20 (с. 18)

Решение 5. №6.20 (с. 18)



Решение 6. №6.20 (с. 18)
а) Чтобы определить знак числа $\sin\frac{4\pi}{7}$, необходимо определить, в какой координатной четверти находится угол $\alpha = \frac{4\pi}{7}$ на тригонометрической окружности. Сравним значение угла с границами четвертей. Первая четверть от $0$ до $\frac{\pi}{2}$, вторая — от $\frac{\pi}{2}$ до $\pi$. Приведем дроби к общему знаменателю: $\frac{\pi}{2} = \frac{3.5\pi}{7}$ и $\pi = \frac{7\pi}{7}$. Так как выполняется неравенство $\frac{3.5\pi}{7} < \frac{4\pi}{7} < \frac{7\pi}{7}$, то есть $\frac{\pi}{2} < \frac{4\pi}{7} < \pi$, угол находится во второй четверти. Функция синус (которая соответствует ординате точки на окружности) во второй четверти имеет положительные значения. Следовательно, $\sin\frac{4\pi}{7} > 0$.
Ответ: знак плюс (+).
б) Чтобы определить знак числа $\cos(-\frac{5\pi}{7})$, воспользуемся свойством четности функции косинус: $\cos(-x) = \cos(x)$. Следовательно, $\cos(-\frac{5\pi}{7}) = \cos(\frac{5\pi}{7})$. Теперь определим, в какой четверти находится угол $\alpha = \frac{5\pi}{7}$. Сравним его с $\frac{\pi}{2}$ и $\pi$: $\frac{\pi}{2} = \frac{3.5\pi}{7}$ и $\pi = \frac{7\pi}{7}$. Из неравенства $\frac{3.5\pi}{7} < \frac{5\pi}{7} < \frac{7\pi}{7}$ следует, что $\frac{\pi}{2} < \frac{5\pi}{7} < \pi$. Угол $\frac{5\pi}{7}$ находится во второй четверти. Функция косинус (которая соответствует абсциссе точки на окружности) во второй четверти имеет отрицательные значения. Следовательно, $\cos(-\frac{5\pi}{7}) < 0$.
Ответ: знак минус (-).
в) Чтобы определить знак числа $\sin\frac{9\pi}{8}$, найдем, в какой четверти находится угол $\alpha = \frac{9\pi}{8}$. Сравним этот угол с границами четвертей. Вторая четверть заканчивается на $\pi$, третья — от $\pi$ до $\frac{3\pi}{2}$. Приведем дроби к общему знаменателю: $\pi = \frac{8\pi}{8}$ и $\frac{3\pi}{2} = \frac{12\pi}{8}$. Так как выполняется неравенство $\frac{8\pi}{8} < \frac{9\pi}{8} < \frac{12\pi}{8}$, то есть $\pi < \frac{9\pi}{8} < \frac{3\pi}{2}$, угол находится в третьей четверти. Функция синус в третьей четверти имеет отрицательные значения. Следовательно, $\sin\frac{9\pi}{8} < 0$.
Ответ: знак минус (-).
г) Чтобы определить знак числа $\sin(-\frac{3\pi}{8})$, можно рассмотреть угол $\alpha = -\frac{3\pi}{8}$. Отрицательные углы отсчитываются по часовой стрелке от положительного направления оси Ox. Четвертая четверть находится в интервале от $-\frac{\pi}{2}$ до $0$. Сравним угол $-\frac{3\pi}{8}$ с $-\frac{\pi}{2}$. Приведем к общему знаменателю: $-\frac{\pi}{2} = -\frac{4\pi}{8}$. Поскольку $-\frac{4\pi}{8} < -\frac{3\pi}{8} < 0$, то есть $-\frac{\pi}{2} < -\frac{3\pi}{8} < 0$, угол находится в четвертой четверти. Функция синус в четвертой четверти имеет отрицательные значения. Также можно воспользоваться свойством нечетности функции синус: $\sin(-x) = -\sin(x)$. Тогда $\sin(-\frac{3\pi}{8}) = -\sin(\frac{3\pi}{8})$. Угол $\frac{3\pi}{8}$ находится в первой четверти ($0 < \frac{3\pi}{8} < \frac{\pi}{2}$), где синус положителен. Значит, $-\sin(\frac{3\pi}{8})$ будет отрицательным. Следовательно, $\sin(-\frac{3\pi}{8}) < 0$.
Ответ: знак минус (-).
№6.25 (с. 18)
Условие. №6.25 (с. 18)
скриншот условия

6.25 a) $\cos \frac{5\pi}{9} - \operatorname{tg} \frac{25\pi}{18};$
б) $\operatorname{tg} 1 - \cos 2;$
в) $\sin \frac{7\pi}{10} - \operatorname{ctg} \frac{3\pi}{5};$
г) $\sin 2 - \operatorname{ctg} 5,5.$
Решение 1. №6.25 (с. 18)

Решение 2. №6.25 (с. 18)


Решение 3. №6.25 (с. 18)

Решение 5. №6.25 (с. 18)



Решение 6. №6.25 (с. 18)
а) Чтобы определить знак выражения $ \cos \frac{5\pi}{9} - \text{tg} \frac{25\pi}{18} $, найдем знаки каждого из его членов. Угол $ \frac{5\pi}{9} $ находится во второй координатной четверти, так как $ \frac{\pi}{2} < \frac{5\pi}{9} < \pi $. В этой четверти косинус отрицателен, поэтому $ \cos \frac{5\pi}{9} < 0 $. Угол $ \frac{25\pi}{18} $ можно представить как $ \frac{25\pi}{18} = \pi + \frac{7\pi}{18} $, он находится в третьей координатной четверти, где тангенс положителен, поэтому $ \text{tg} \frac{25\pi}{18} > 0 $. Выражение представляет собой разность отрицательного и положительного чисел, которая всегда отрицательна: $ (\text{отрицательное}) - (\text{положительное}) < 0 $.
Ответ: $ \cos \frac{5\pi}{9} - \text{tg} \frac{25\pi}{18} < 0 $.
б) Чтобы определить знак выражения $ \text{tg} \, 1 - \cos 2 $, определим знаки его членов, учитывая, что углы заданы в радианах ($ \pi \approx 3.14 $, $ \frac{\pi}{2} \approx 1.57 $). Угол $ 1 $ радиан находится в первой четверти, так как $ 0 < 1 < \frac{\pi}{2} $. В этой четверти тангенс положителен, то есть $ \text{tg} \, 1 > 0 $. Угол $ 2 $ радиана находится во второй четверти, так как $ \frac{\pi}{2} < 2 < \pi $. В этой четверти косинус отрицателен, то есть $ \cos 2 < 0 $. Выражение представляет собой разность положительного и отрицательного чисел, которая всегда положительна: $ (\text{положительное}) - (\text{отрицательное}) > 0 $.
Ответ: $ \text{tg} \, 1 - \cos 2 > 0 $.
в) Чтобы определить знак выражения $ \sin \frac{7\pi}{10} - \text{ctg} \frac{3\pi}{5} $, найдем знаки каждого из его членов. Угол $ \frac{7\pi}{10} $ находится во второй четверти, так как $ \frac{\pi}{2} < \frac{7\pi}{10} < \pi $. Во второй четверти синус положителен, поэтому $ \sin \frac{7\pi}{10} > 0 $. Угол $ \frac{3\pi}{5} $ также находится во второй четверти, так как $ \frac{\pi}{2} < \frac{3\pi}{5} < \pi $. Во второй четверти котангенс отрицателен, поэтому $ \text{ctg} \frac{3\pi}{5} < 0 $. Выражение представляет собой разность положительного и отрицательного чисел, которая всегда положительна: $ (\text{положительное}) - (\text{отрицательное}) > 0 $.
Ответ: $ \sin \frac{7\pi}{10} - \text{ctg} \frac{3\pi}{5} > 0 $.
г) Чтобы определить знак выражения $ \sin 2 - \text{ctg} \, 5.5 $, определим знаки его членов, учитывая, что углы заданы в радианах ($ \frac{\pi}{2} \approx 1.57 $, $ \pi \approx 3.14 $, $ \frac{3\pi}{2} \approx 4.71 $, $ 2\pi \approx 6.28 $). Угол $ 2 $ радиана находится во второй четверти ($ \frac{\pi}{2} < 2 < \pi $), где синус положителен, то есть $ \sin 2 > 0 $. Угол $ 5.5 $ радиан находится в четвертой четверти ($ \frac{3\pi}{2} < 5.5 < 2\pi $), где котангенс отрицателен, то есть $ \text{ctg} \, 5.5 < 0 $. Выражение представляет собой разность положительного и отрицательного чисел, которая всегда положительна: $ (\text{положительное}) - (\text{отрицательное}) > 0 $.
Ответ: $ \sin 2 - \text{ctg} \, 5.5 > 0 $.
№6.16 (с. 18)
Условие. №6.16 (с. 18)
скриншот условия

Решите уравнение:
6.16 а) $ \cos t = \frac{\sqrt{2}}{2} $;
б) $ \sin t = -\frac{1}{2} $;
в) $ \cos t = -\frac{1}{2} $;
г) $ \sin t = \frac{\sqrt{2}}{2} $.
Решение 1. №6.16 (с. 18)

Решение 2. №6.16 (с. 18)


Решение 3. №6.16 (с. 18)

Решение 5. №6.16 (с. 18)


Решение 6. №6.16 (с. 18)
а) Дано уравнение $cos t = \frac{\sqrt{2}}{2}$. Это простейшее тригонометрическое уравнение вида $cos t = a$. Общее решение для такого уравнения записывается формулой $t = \pm \arccos(a) + 2\pi n$, где $n \in \mathbb{Z}$ (n — любое целое число). В данном случае $a = \frac{\sqrt{2}}{2}$. Нам нужно найти арккосинус этого значения. Из таблицы значений тригонометрических функций мы знаем, что $\arccos(\frac{\sqrt{2}}{2}) = \frac{\pi}{4}$. Подставив это значение в общую формулу, получаем решение уравнения.
$t = \pm \frac{\pi}{4} + 2\pi n$, $n \in \mathbb{Z}$.
Ответ: $t = \pm \frac{\pi}{4} + 2\pi n, n \in \mathbb{Z}$.
б) Дано уравнение $sin t = -\frac{1}{2}$. Это простейшее тригонометрическое уравнение вида $sin t = a$. Общая формула для решения такого уравнения: $t = (-1)^n \arcsin(a) + \pi n$, где $n \in \mathbb{Z}$. В нашем случае $a = -\frac{1}{2}$. Сначала найдем значение $\arcsin(-\frac{1}{2})$. Используем свойство нечетности функции арксинус: $\arcsin(-x) = -\arcsin(x)$. Табличное значение $\arcsin(\frac{1}{2}) = \frac{\pi}{6}$. Следовательно, $\arcsin(-\frac{1}{2}) = -\frac{\pi}{6}$. Подставляем это значение в общую формулу: $t = (-1)^n (-\frac{\pi}{6}) + \pi n$. Это выражение можно записать в более удобном виде: $t = (-1)^{n+1} \frac{\pi}{6} + \pi n$, где $n \in \mathbb{Z}$.
Ответ: $t = (-1)^{n+1} \frac{\pi}{6} + \pi n, n \in \mathbb{Z}$.
в) Дано уравнение $cos t = -\frac{1}{2}$. Как и в пункте а), используем общую формулу для решения уравнения $cos t = a$: $t = \pm \arccos(a) + 2\pi n$, где $n \in \mathbb{Z}$. Здесь $a = -\frac{1}{2}$. Для нахождения арккосинуса отрицательного числа используем формулу $\arccos(-x) = \pi - \arccos(x)$. Табличное значение $\arccos(\frac{1}{2}) = \frac{\pi}{3}$. Тогда $\arccos(-\frac{1}{2}) = \pi - \arccos(\frac{1}{2}) = \pi - \frac{\pi}{3} = \frac{2\pi}{3}$. Теперь подставим найденное значение в общую формулу решения.
$t = \pm \frac{2\pi}{3} + 2\pi n$, $n \in \mathbb{Z}$.
Ответ: $t = \pm \frac{2\pi}{3} + 2\pi n, n \in \mathbb{Z}$.
г) Дано уравнение $sin t = \frac{\sqrt{2}}{2}$. Используем общую формулу для решения уравнения вида $sin t = a$: $t = (-1)^n \arcsin(a) + \pi n$, где $n \in \mathbb{Z}$. В этом уравнении $a = \frac{\sqrt{2}}{2}$. Значение арксинуса для этого числа является табличным: $\arcsin(\frac{\sqrt{2}}{2}) = \frac{\pi}{4}$. Подставляем это значение в общую формулу и получаем итоговое решение.
$t = (-1)^n \frac{\pi}{4} + \pi n$, $n \in \mathbb{Z}$.
Ответ: $t = (-1)^n \frac{\pi}{4} + \pi n, n \in \mathbb{Z}$.
№6.21 (с. 18)
Условие. №6.21 (с. 18)
скриншот условия

6.21 а) $\text{tg} \frac{6\pi}{7}$;
б) $\text{ctg} \frac{10\pi}{9}$;
в) $\text{tg} \frac{8\pi}{11}$;
г) $\text{ctg} \frac{11\pi}{5}$.
Решение 1. №6.21 (с. 18)

Решение 2. №6.21 (с. 18)

Решение 3. №6.21 (с. 18)

Решение 5. №6.21 (с. 18)



Решение 6. №6.21 (с. 18)
а)
Чтобы определить знак выражения $\text{tg} \frac{6\pi}{7}$, необходимо определить, в какой четверти тригонометрической окружности находится угол $\frac{6\pi}{7}$.
Сравним этот угол с границами четвертей:
Первая четверть: от $0$ до $\frac{\pi}{2}$.
Вторая четверть: от $\frac{\pi}{2}$ до $\pi$.
Приведем дроби к общему знаменателю 7:
$\frac{\pi}{2} = \frac{3.5\pi}{7}$
$\pi = \frac{7\pi}{7}$
Так как $\frac{3.5\pi}{7} < \frac{6\pi}{7} < \frac{7\pi}{7}$, то угол $\frac{6\pi}{7}$ находится во второй четверти.
В этой четверти синус положителен ($\text{sin} x > 0$), а косинус отрицателен ($\text{cos} x < 0$). Тангенс определяется как отношение синуса к косинусу: $\text{tg} x = \frac{\text{sin} x}{\text{cos} x}$.
Следовательно, во второй четверти тангенс отрицателен.
Ответ: $\text{tg} \frac{6\pi}{7} < 0$.
б)
Чтобы определить знак выражения $\text{ctg} \frac{10\pi}{9}$, найдем, в какой четверти находится угол $\frac{10\pi}{9}$.
Сравним угол с границами четвертей, приведя дроби к общему знаменателю 9:
$\pi = \frac{9\pi}{9}$
$\frac{3\pi}{2} = \frac{13.5\pi}{9}$
Неравенство $\frac{9\pi}{9} < \frac{10\pi}{9} < \frac{13.5\pi}{9}$ показывает, что угол $\frac{10\pi}{9}$ находится в третьей четверти.
В третьей четверти и синус, и косинус отрицательны ($\text{sin} x < 0$, $\text{cos} x < 0$). Котангенс определяется как отношение косинуса к синусу: $\text{ctg} x = \frac{\text{cos} x}{\text{sin} x}$.
Отношение двух отрицательных чисел является положительным числом, поэтому в третьей четверти котангенс положителен.
Ответ: $\text{ctg} \frac{10\pi}{9} > 0$.
в)
Определим знак выражения $\text{tg} \frac{8\pi}{11}$ путем нахождения четверти, в которой расположен угол $\frac{8\pi}{11}$.
Сравним угол с границами четвертей, приведя дроби к общему знаменателю 11:
$\frac{\pi}{2} = \frac{5.5\pi}{11}$
$\pi = \frac{11\pi}{11}$
Из неравенства $\frac{5.5\pi}{11} < \frac{8\pi}{11} < \frac{11\pi}{11}$ следует, что угол $\frac{8\pi}{11}$ находится во второй четверти.
Во второй четверти тангенс отрицателен ($\text{tg} x = \frac{\text{sin} x}{\text{cos} x}$, где $\text{sin} x > 0$, а $\text{cos} x < 0$).
Ответ: $\text{tg} \frac{8\pi}{11} < 0$.
г)
Чтобы определить знак выражения $\text{ctg} \frac{11\pi}{5}$, найдем, в какой четверти находится угол $\frac{11\pi}{5}$.
Угол $\frac{11\pi}{5}$ больше, чем $2\pi$. Воспользуемся периодичностью функции котангенса. Период котангенса равен $\pi$.
Представим угол в виде $\frac{11\pi}{5} = \frac{10\pi + \pi}{5} = \frac{10\pi}{5} + \frac{\pi}{5} = 2\pi + \frac{\pi}{5}$.
Так как котангенс является периодической функцией с периодом $\pi$, то $\text{ctg}(\alpha + k\pi) = \text{ctg}(\alpha)$ для любого целого $k$. В нашем случае $2\pi = 2 \cdot \pi$, поэтому $k=2$.
$\text{ctg} \frac{11\pi}{5} = \text{ctg}(2\pi + \frac{\pi}{5}) = \text{ctg}(\frac{\pi}{5})$.
Угол $\frac{\pi}{5}$ находится в первой четверти, так как $0 < \frac{\pi}{5} < \frac{\pi}{2}$ (поскольку $\frac{\pi}{2} = \frac{2.5\pi}{5}$).
В первой четверти все тригонометрические функции, включая котангенс, положительны.
Ответ: $\text{ctg} \frac{11\pi}{5} > 0$.
№6.17 (с. 18)
Условие. №6.17 (с. 18)
скриншот условия

6.17 a) $sin t = -\frac{\sqrt{3}}{2};$
б) $sin t = \sqrt{3};$
В) $cos t = -\frac{\sqrt{3}}{2};$
Г) $cos t = -\frac{\pi}{3}.$
Решение 2. №6.17 (с. 18)


Решение 3. №6.17 (с. 18)

Решение 5. №6.17 (с. 18)

Решение 6. №6.17 (с. 18)
а) Решим уравнение $\sin t = -\frac{\sqrt{3}}{2}$.
Это простейшее тригонометрическое уравнение. Общая формула для решения уравнения $\sin t = a$, где $|a| \le 1$, имеет вид $t = (-1)^n \arcsin(a) + \pi n$, где $n \in \mathbb{Z}$.
В нашем случае $a = -\frac{\sqrt{3}}{2}$.
Найдем арксинус этого значения: $\arcsin(-\frac{\sqrt{3}}{2})$. Так как арксинус — нечетная функция, $\arcsin(-x) = -\arcsin(x)$.
$\arcsin(-\frac{\sqrt{3}}{2}) = -\arcsin(\frac{\sqrt{3}}{2}) = -\frac{\pi}{3}$.
Подставляем найденное значение в общую формулу:
$t = (-1)^n \cdot (-\frac{\pi}{3}) + \pi n, n \in \mathbb{Z}$.
Эту формулу можно записать как $t = (-1)^{n+1} \frac{\pi}{3} + \pi n, n \in \mathbb{Z}$.
Ответ: $t = (-1)^{n+1} \frac{\pi}{3} + \pi n, n \in \mathbb{Z}$.
б) Решим уравнение $\sin t = \sqrt{3}$.
Область значений функции синус — это отрезок $[-1, 1]$. То есть, для любого действительного числа $t$ должно выполняться неравенство $-1 \le \sin t \le 1$.
В данном уравнении требуется, чтобы синус был равен $\sqrt{3}$.
Так как $\sqrt{3} \approx 1.732$, то $\sqrt{3} > 1$.
Следовательно, данное уравнение не имеет действительных решений.
Ответ: решений нет.
в) Решим уравнение $\cos t = -\frac{\sqrt{3}}{2}$.
Общая формула для решения уравнения $\cos t = a$, где $|a| \le 1$, имеет вид $t = \pm \arccos(a) + 2\pi n$, где $n \in \mathbb{Z}$.
В нашем случае $a = -\frac{\sqrt{3}}{2}$.
Найдем арккосинус этого значения, используя свойство $\arccos(-x) = \pi - \arccos(x)$:
$\arccos(-\frac{\sqrt{3}}{2}) = \pi - \arccos(\frac{\sqrt{3}}{2}) = \pi - \frac{\pi}{6} = \frac{5\pi}{6}$.
Подставляем найденное значение в общую формулу:
$t = \pm \frac{5\pi}{6} + 2\pi n, n \in \mathbb{Z}$.
Ответ: $t = \pm \frac{5\pi}{6} + 2\pi n, n \in \mathbb{Z}$.
г) Решим уравнение $\cos t = -\frac{\pi}{3}$.
Область значений функции косинус, как и у синуса, — это отрезок $[-1, 1]$. То есть, для любого действительного числа $t$ должно выполняться неравенство $-1 \le \cos t \le 1$.
В данном уравнении требуется, чтобы косинус был равен $-\frac{\pi}{3}$.
Приблизительное значение числа $\pi$ равно $3.14159$. Тогда $-\frac{\pi}{3} \approx -\frac{3.14159}{3} \approx -1.047$.
Так как $-1.047 < -1$, значение $-\frac{\pi}{3}$ не входит в область значений функции косинус.
Следовательно, данное уравнение не имеет действительных решений.
Ответ: решений нет.
№6.22 (с. 18)
Условие. №6.22 (с. 18)
скриншот условия

6.22 а) $ \sin(-2); $
б) $ \cos 3; $
в) $ \sin 5; $
г) $ \cos(-6). $
Решение 1. №6.22 (с. 18)

Решение 2. №6.22 (с. 18)


Решение 3. №6.22 (с. 18)

Решение 5. №6.22 (с. 18)


Решение 6. №6.22 (с. 18)
а) Для определения знака выражения $ \sin(-2) $ воспользуемся свойством нечетности функции синус: $ \sin(-\alpha) = -\sin(\alpha) $. Следовательно, $ \sin(-2) = -\sin(2) $.
Теперь определим знак $ \sin(2) $. Для этого найдем, в какой четверти тригонометрической окружности находится угол в 2 радиана. Используем приближенные значения границ четвертей: $ \pi/2 \approx 1,57 $ и $ \pi \approx 3,14 $.
Поскольку выполняется неравенство $ \pi/2 < 2 < \pi $ (то есть $ 1,57 < 2 < 3,14 $), угол в 2 радиана находится во II четверти.
Во II четверти синус имеет положительный знак, значит $ \sin(2) > 0 $.
Тогда $ \sin(-2) = -\sin(2) < 0 $.
Ответ: отрицательное.
б) Для определения знака выражения $ \cos(3) $ найдем, в какой четверти тригонометрической окружности находится угол в 3 радиана. Используем приближенные значения границ четвертей: $ \pi/2 \approx 1,57 $ и $ \pi \approx 3,14 $.
Поскольку выполняется неравенство $ \pi/2 < 3 < \pi $ (то есть $ 1,57 < 3 < 3,14 $), угол в 3 радиана находится во II четверти.
Во II четверти косинус имеет отрицательный знак.
Следовательно, $ \cos(3) < 0 $.
Ответ: отрицательное.
в) Для определения знака выражения $ \sin(5) $ найдем, в какой четверти тригонометрической окружности находится угол в 5 радиан. Используем приближенные значения границ четвертей: $ 3\pi/2 \approx 4,71 $ и $ 2\pi \approx 6,28 $.
Поскольку выполняется неравенство $ 3\pi/2 < 5 < 2\pi $ (то есть $ 4,71 < 5 < 6,28 $), угол в 5 радиан находится в IV четверти.
В IV четверти синус имеет отрицательный знак.
Следовательно, $ \sin(5) < 0 $.
Ответ: отрицательное.
г) Для определения знака выражения $ \cos(-6) $ воспользуемся свойством четности функции косинус: $ \cos(-\alpha) = \cos(\alpha) $. Следовательно, $ \cos(-6) = \cos(6) $.
Теперь определим знак $ \cos(6) $. Для этого найдем, в какой четверти тригонометрической окружности находится угол в 6 радиан. Используем приближенные значения границ четвертей: $ 3\pi/2 \approx 4,71 $ и $ 2\pi \approx 6,28 $.
Поскольку выполняется неравенство $ 3\pi/2 < 6 < 2\pi $ (то есть $ 4,71 < 6 < 6,28 $), угол в 6 радиан находится в IV четверти.
В IV четверти косинус имеет положительный знак.
Следовательно, $ \cos(-6) = \cos(6) > 0 $.
Ответ: положительное.
Помогло решение? Оставьте отзыв в комментариях ниже.