Страница 73, часть 2 - гдз по алгебре 10-11 класс задачник часть 1, 2 Мордкович, Семенов


Авторы: Мордкович А. Г., Семенов П. В., Денищева Л. О., Корешкова Т. А., Мишустина Т. Н., Тульчинская Е. Е.
Тип: Задачник
Издательство: Мнемозина
Год издания: 2019 - 2025
Уровень обучения: базовый
Часть: 2
Цвет обложки:
ISBN: 978-5-346-04509-0 (общ.), 978-5-346-04510-6 (ч. 1), 978-5-346-04511-3 (ч. 2)
Рекомендовано Министерством образования и науки Российской Федерации
Математика: алгебра и начала математического анализа, геометрия
Популярные ГДЗ в 10 классе
ч. 2. Cтраница 73

№22.10 (с. 73)
Условие. №22.10 (с. 73)
скриншот условия

Представьте в виде произведения:
22.10 а) $\frac{1}{2} - \cos t;$
б) $\frac{\sqrt{3}}{2} + \sin t;$
в) $1 + 2\cos t;$
г) $\cos t + \sin t.$
Решение 1. №22.10 (с. 73)

Решение 2. №22.10 (с. 73)

Решение 3. №22.10 (с. 73)

Решение 5. №22.10 (с. 73)


Решение 6. №22.10 (с. 73)
а) Чтобы представить выражение $\frac{1}{2} - \cos t$ в виде произведения, заменим число $\frac{1}{2}$ на его тригонометрический эквивалент. Мы знаем, что $\cos(\frac{\pi}{3}) = \frac{1}{2}$.
Подставим это значение в исходное выражение:
$\frac{1}{2} - \cos t = \cos(\frac{\pi}{3}) - \cos t$.
Теперь мы можем применить формулу разности косинусов: $\cos \alpha - \cos \beta = -2 \sin \frac{\alpha+\beta}{2} \sin \frac{\alpha-\beta}{2}$.
В нашем случае $\alpha = \frac{\pi}{3}$ и $\beta = t$.
$\cos(\frac{\pi}{3}) - \cos t = -2 \sin \frac{\frac{\pi}{3}+t}{2} \sin \frac{\frac{\pi}{3}-t}{2} = -2 \sin(\frac{\pi}{6} + \frac{t}{2}) \sin(\frac{\pi}{6} - \frac{t}{2})$.
Для более удобной записи можно воспользоваться свойством нечетности синуса $\sin(-x) = -\sin(x)$ для второго множителя: $\sin(\frac{\pi}{6} - \frac{t}{2}) = -\sin(-(\frac{\pi}{6} - \frac{t}{2})) = -\sin(\frac{t}{2} - \frac{\pi}{6})$.
Тогда выражение примет вид: $-2 \sin(\frac{\pi}{6} + \frac{t}{2}) \cdot [-\sin(\frac{t}{2} - \frac{\pi}{6})] = 2 \sin(\frac{\pi}{6} + \frac{t}{2}) \sin(\frac{t}{2} - \frac{\pi}{6})$.
Ответ: $2 \sin(\frac{\pi}{6} + \frac{t}{2}) \sin(\frac{t}{2} - \frac{\pi}{6})$.
б) Для выражения $\frac{\sqrt{3}}{2} + \sin t$ поступим аналогично. Заменим $\frac{\sqrt{3}}{2}$ на $\sin(\frac{\pi}{3})$.
Выражение становится: $\sin(\frac{\pi}{3}) + \sin t$.
Используем формулу суммы синусов: $\sin \alpha + \sin \beta = 2 \sin \frac{\alpha+\beta}{2} \cos \frac{\alpha-\beta}{2}$.
Здесь $\alpha = \frac{\pi}{3}$ и $\beta = t$.
$\sin(\frac{\pi}{3}) + \sin t = 2 \sin \frac{\frac{\pi}{3}+t}{2} \cos \frac{\frac{\pi}{3}-t}{2} = 2 \sin(\frac{\pi}{6} + \frac{t}{2}) \cos(\frac{\pi}{6} - \frac{t}{2})$.
Ответ: $2 \sin(\frac{\pi}{6} + \frac{t}{2}) \cos(\frac{\pi}{6} - \frac{t}{2})$.
в) Рассмотрим выражение $1 + 2\cos t$. Сначала вынесем 2 за скобки:
$1 + 2\cos t = 2(\frac{1}{2} + \cos t)$.
Теперь заменим $\frac{1}{2}$ на $\cos(\frac{\pi}{3})$ внутри скобок:
$2(\cos(\frac{\pi}{3}) + \cos t)$.
Применим формулу суммы косинусов: $\cos \alpha + \cos \beta = 2 \cos \frac{\alpha+\beta}{2} \cos \frac{\alpha-\beta}{2}$.
Для выражения в скобках $\alpha = \frac{\pi}{3}$ и $\beta = t$.
$2(\cos(\frac{\pi}{3}) + \cos t) = 2 \cdot [2 \cos \frac{\frac{\pi}{3}+t}{2} \cos \frac{\frac{\pi}{3}-t}{2}] = 4 \cos(\frac{\pi}{6} + \frac{t}{2}) \cos(\frac{\pi}{6} - \frac{t}{2})$.
Ответ: $4 \cos(\frac{\pi}{6} + \frac{t}{2}) \cos(\frac{\pi}{6} - \frac{t}{2})$.
г) Для преобразования выражения $\cos t + \sin t$ используем метод введения вспомогательного угла.
Вынесем за скобки множитель $\sqrt{1^2+1^2} = \sqrt{2}$:
$\cos t + \sin t = \sqrt{2}(\frac{1}{\sqrt{2}}\cos t + \frac{1}{\sqrt{2}}\sin t)$.
Мы знаем, что $\cos(\frac{\pi}{4}) = \frac{1}{\sqrt{2}}$ и $\sin(\frac{\pi}{4}) = \frac{1}{\sqrt{2}}$. Заменим числа в скобках на эти значения:
$\sqrt{2}(\cos(\frac{\pi}{4})\cos t + \sin(\frac{\pi}{4})\sin t)$.
Выражение в скобках соответствует формуле косинуса разности: $\cos(\alpha - \beta) = \cos \alpha \cos \beta + \sin \alpha \sin \beta$.
В нашем случае $\alpha = t$ и $\beta = \frac{\pi}{4}$.
Таким образом, получаем: $\sqrt{2}\cos(t - \frac{\pi}{4})$.
(Альтернативный вариант: можно было представить выражение как $\sqrt{2}(\sin(\frac{\pi}{4})\cos t + \cos(\frac{\pi}{4})\sin t) = \sqrt{2}\sin(t + \frac{\pi}{4})$, что также является верным ответом).
Ответ: $\sqrt{2}\cos(t - \frac{\pi}{4})$.
№22.15 (с. 73)
Условие. №22.15 (с. 73)
скриншот условия

Докажите тождество:
22.15 a)$\frac{\sin (\alpha + \beta) + \sin (\alpha - \beta)}{\cos (\alpha + \beta) + \cos (\alpha - \beta)} = \operatorname{tg} \alpha;$
б) $\frac{\cos (\alpha - \beta) - \cos (\alpha + \beta)}{\sin (\alpha + \beta) - \sin (\alpha - \beta)} = \operatorname{tg} \alpha.$
Решение 1. №22.15 (с. 73)

Решение 2. №22.15 (с. 73)

Решение 3. №22.15 (с. 73)

Решение 5. №22.15 (с. 73)

Решение 6. №22.15 (с. 73)
а) Для доказательства данного тождества преобразуем его левую часть. Воспользуемся формулами суммы синусов и суммы косинусов (формулы преобразования суммы в произведение):
$\sin x + \sin y = 2 \sin\frac{x+y}{2}\cos\frac{x-y}{2}$
$\cos x + \cos y = 2 \cos\frac{x+y}{2}\cos\frac{x-y}{2}$
Применим эти формулы к числителю и знаменателю дроби, где $x = \alpha + \beta$ и $y = \alpha - \beta$.
Преобразуем числитель:
$\sin(\alpha + \beta) + \sin(\alpha - \beta) = 2 \sin\frac{(\alpha + \beta) + (\alpha - \beta)}{2}\cos\frac{(\alpha + \beta) - (\alpha - \beta)}{2} = 2 \sin\frac{2\alpha}{2}\cos\frac{2\beta}{2} = 2 \sin\alpha\cos\beta$.
Преобразуем знаменатель:
$\cos(\alpha + \beta) + \cos(\alpha - \beta) = 2 \cos\frac{(\alpha + \beta) + (\alpha - \beta)}{2}\cos\frac{(\alpha + \beta) - (\alpha - \beta)}{2} = 2 \cos\frac{2\alpha}{2}\cos\frac{2\beta}{2} = 2 \cos\alpha\cos\beta$.
Подставим полученные выражения обратно в левую часть исходного равенства:
$\frac{2 \sin\alpha\cos\beta}{2 \cos\alpha\cos\beta}$.
При условии, что $\cos\alpha \neq 0$ и $\cos\beta \neq 0$, мы можем сократить дробь на $2\cos\beta$:
$\frac{\sin\alpha}{\cos\alpha} = \tan\alpha$.
Таким образом, левая часть тождества равна правой. Тождество доказано.
Ответ: тождество доказано.
б) Для доказательства второго тождества также преобразуем его левую часть. Воспользуемся формулами разности косинусов и разности синусов:
$\cos A - \cos B = -2\sin\frac{A+B}{2}\sin\frac{A-B}{2}$
$\sin A - \sin B = 2\cos\frac{A+B}{2}\sin\frac{A-B}{2}$
Применим эти формулы к числителю и знаменателю дроби.
Для числителя: $A = \alpha - \beta$, $B = \alpha + \beta$.
$\cos(\alpha - \beta) - \cos(\alpha + \beta) = -2\sin\frac{(\alpha - \beta) + (\alpha + \beta)}{2}\sin\frac{(\alpha - \beta) - (\alpha + \beta)}{2} = -2\sin\frac{2\alpha}{2}\sin\frac{-2\beta}{2} = -2\sin\alpha\sin(-\beta)$.
Поскольку синус — нечетная функция, $\sin(-\beta) = -\sin\beta$. Тогда выражение для числителя примет вид:
$-2\sin\alpha(-\sin\beta) = 2\sin\alpha\sin\beta$.
Для знаменателя: $A = \alpha + \beta$, $B = \alpha - \beta$.
$\sin(\alpha + \beta) - \sin(\alpha - \beta) = 2\cos\frac{(\alpha + \beta) + (\alpha - \beta)}{2}\sin\frac{(\alpha + \beta) - (\alpha - \beta)}{2} = 2\cos\frac{2\alpha}{2}\sin\frac{2\beta}{2} = 2\cos\alpha\sin\beta$.
Подставим полученные выражения обратно в левую часть тождества:
$\frac{2 \sin\alpha\sin\beta}{2 \cos\alpha\sin\beta}$.
При условии, что $\cos\alpha \neq 0$ и $\sin\beta \neq 0$, мы можем сократить дробь на $2\sin\beta$:
$\frac{\sin\alpha}{\cos\alpha} = \tan\alpha$.
Таким образом, левая часть тождества равна правой. Тождество доказано.
Ответ: тождество доказано.
№22.11 (с. 73)
Условие. №22.11 (с. 73)
скриншот условия

22.11 a) $\sin 5x + 2\sin 6x + \sin 7x;$
б) $2\cos x + \cos 2x + \cos 4x.$
Решение 1. №22.11 (с. 73)

Решение 2. №22.11 (с. 73)

Решение 3. №22.11 (с. 73)

Решение 5. №22.11 (с. 73)

Решение 6. №22.11 (с. 73)
а)
Требуется преобразовать в произведение выражение $\sin 5x + 2\sin 6x + \sin 7x$.
Сгруппируем первое и третье слагаемые:
$(\sin 5x + \sin 7x) + 2\sin 6x$
Применим формулу суммы синусов: $\sin \alpha + \sin \beta = 2\sin\frac{\alpha+\beta}{2}\cos\frac{\alpha-\beta}{2}$.
Для суммы $\sin 5x + \sin 7x$ получаем:
$\sin 5x + \sin 7x = 2\sin\frac{5x+7x}{2}\cos\frac{7x-5x}{2} = 2\sin\frac{12x}{2}\cos\frac{2x}{2} = 2\sin 6x \cos x$
Теперь подставим это в исходное выражение:
$2\sin 6x \cos x + 2\sin 6x$
Вынесем общий множитель $2\sin 6x$ за скобки:
$2\sin 6x (\cos x + 1)$
Воспользуемся формулой косинуса двойного угла в виде $1 + \cos \alpha = 2\cos^2\frac{\alpha}{2}$. В нашем случае $\alpha = x$:
$2\sin 6x \cdot (2\cos^2\frac{x}{2})$
Перемножив коэффициенты, получим окончательный вид:
$4\sin 6x \cos^2\frac{x}{2}$
Ответ: $4\sin 6x \cos^2\frac{x}{2}$
б)
Требуется преобразовать в произведение выражение $2\cos x + \cos 2x + \cos 4x$.
Сгруппируем второе и третье слагаемые:
$2\cos x + (\cos 2x + \cos 4x)$
Применим формулу суммы косинусов: $\cos \alpha + \cos \beta = 2\cos\frac{\alpha+\beta}{2}\cos\frac{\alpha-\beta}{2}$.
Для суммы $\cos 2x + \cos 4x$ получаем:
$\cos 2x + \cos 4x = 2\cos\frac{2x+4x}{2}\cos\frac{4x-2x}{2} = 2\cos\frac{6x}{2}\cos\frac{2x}{2} = 2\cos 3x \cos x$
Теперь подставим это в исходное выражение:
$2\cos x + 2\cos 3x \cos x$
Вынесем общий множитель $2\cos x$ за скобки:
$2\cos x (1 + \cos 3x)$
Воспользуемся формулой $1 + \cos \alpha = 2\cos^2\frac{\alpha}{2}$. В нашем случае $\alpha = 3x$:
$2\cos x \cdot (2\cos^2\frac{3x}{2})$
Перемножив коэффициенты, получим окончательный вид:
$4\cos x \cos^2\frac{3x}{2}$
Ответ: $4\cos x \cos^2\frac{3x}{2}$
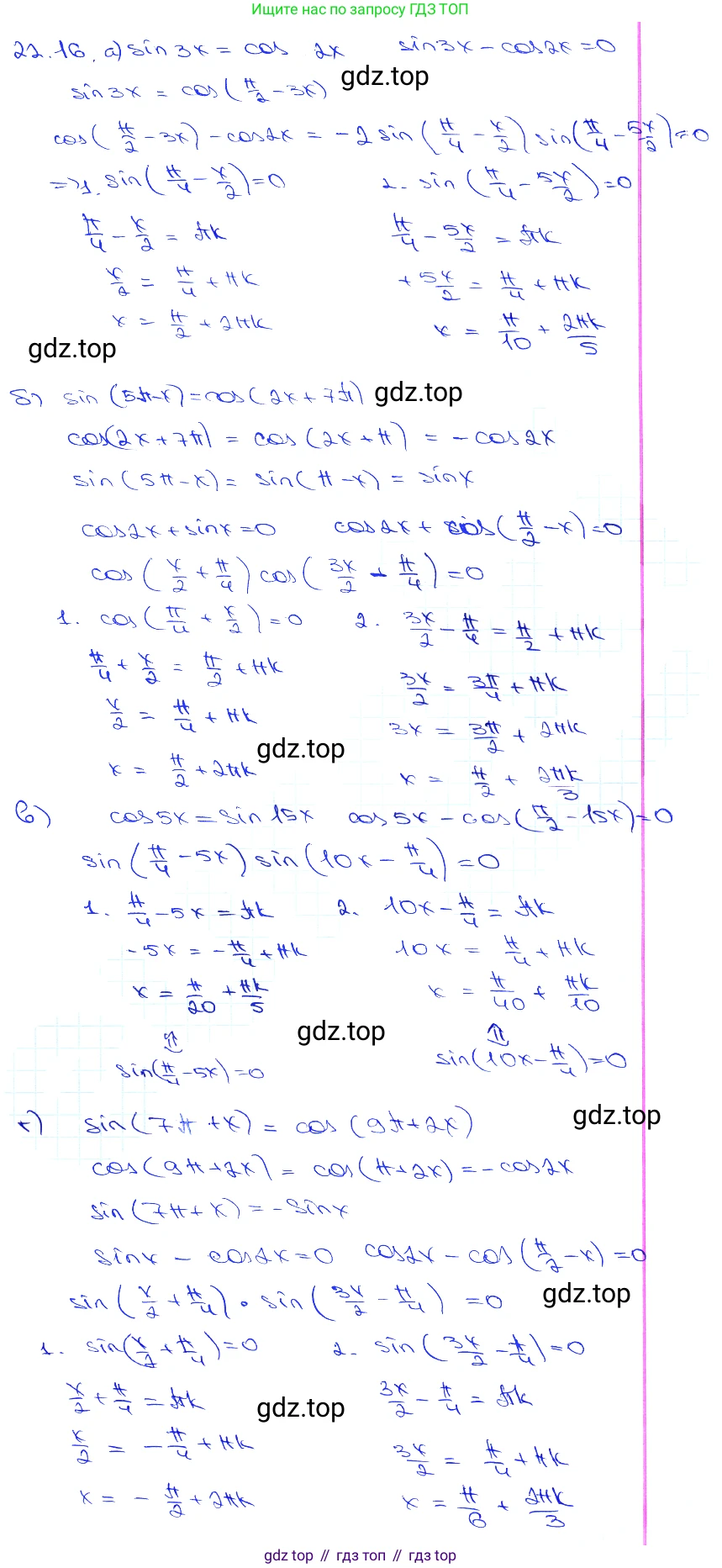
№22.16 (с. 73)
Условие. №22.16 (с. 73)
скриншот условия

22.16 a) $\sin x + \sin y + \sin (x - y) = 4 \sin \frac{x}{2} \cos \frac{x}{2} \cos \frac{x - y}{2}$
б) $\frac{\sin x + \sin 2x + \sin 3x}{\cos x + \cos 2x + \cos 3x} = \text{tg } 2x.$
Решение 1. №22.16 (с. 73)

Решение 2. №22.16 (с. 73)

Решение 3. №22.16 (с. 73)

Решение 5. №22.16 (с. 73)

Решение 6. №22.16 (с. 73)
а)
Заметим, что в условии задачи, скорее всего, опечатка. Тождество в виде $ \sin x + \sin y + \sin (x - y) = 4 \sin \frac{x}{2} \cos \frac{x}{2} \cos \frac{x - y}{2} $ не является верным. Например, при $ x = \pi, y = \frac{\pi}{2} $:
Левая часть: $ \sin \pi + \sin \frac{\pi}{2} + \sin(\pi - \frac{\pi}{2}) = 0 + 1 + \sin(\frac{\pi}{2}) = 1 + 1 = 2 $.
Правая часть: $ 4 \sin \frac{\pi}{2} \cos \frac{\pi}{2} \cos \frac{\pi - \pi/2}{2} = 4 \cdot 1 \cdot 0 \cdot \cos \frac{\pi}{4} = 0 $.
Так как $ 2 \neq 0 $, тождество неверно.
Вероятнее всего, правильное тождество выглядит так: $ \sin x + \sin y + \sin (x - y) = 4 \sin \frac{x}{2} \cos \frac{y}{2} \cos \frac{x - y}{2} $. Докажем его.
Преобразуем левую часть (ЛЧ). Сначала сгруппируем первые два слагаемых и применим формулу суммы синусов $ \sin \alpha + \sin \beta = 2 \sin \frac{\alpha+\beta}{2} \cos \frac{\alpha-\beta}{2} $:
$ \sin x + \sin y = 2 \sin \frac{x+y}{2} \cos \frac{x-y}{2} $
Затем преобразуем третье слагаемое $ \sin(x-y) $ по формуле синуса двойного угла $ \sin(2\alpha) = 2 \sin \alpha \cos \alpha $, где $ \alpha = \frac{x-y}{2} $:
$ \sin(x-y) = 2 \sin \frac{x-y}{2} \cos \frac{x-y}{2} $
Таким образом, левая часть тождества принимает вид:
$ \text{ЛЧ} = \left( \sin x + \sin y \right) + \sin(x-y) = 2 \sin \frac{x+y}{2} \cos \frac{x-y}{2} + 2 \sin \frac{x-y}{2} \cos \frac{x-y}{2} $
Вынесем общий множитель $ 2 \cos \frac{x-y}{2} $ за скобки:
$ \text{ЛЧ} = 2 \cos \frac{x-y}{2} \left( \sin \frac{x+y}{2} + \sin \frac{x-y}{2} \right) $
К выражению в скобках снова применим формулу суммы синусов:
$ \sin \frac{x+y}{2} + \sin \frac{x-y}{2} = 2 \sin \frac{\frac{x+y}{2} + \frac{x-y}{2}}{2} \cos \frac{\frac{x+y}{2} - \frac{x-y}{2}}{2} = 2 \sin \frac{x}{2} \cos \frac{y}{2} $
Подставим полученное выражение обратно в левую часть:
$ \text{ЛЧ} = 2 \cos \frac{x-y}{2} \left( 2 \sin \frac{x}{2} \cos \frac{y}{2} \right) = 4 \sin \frac{x}{2} \cos \frac{y}{2} \cos \frac{x-y}{2} $
Полученное выражение совпадает с исправленной правой частью. Тождество доказано.
Ответ: Тождество $ \sin x + \sin y + \sin (x - y) = 4 \sin \frac{x}{2} \cos \frac{y}{2} \cos \frac{x - y}{2} $ доказано (исходное условие, вероятно, содержало опечатку).
б)
Докажем тождество: $ \frac{\sin x + \sin 2x + \sin 3x}{\cos x + \cos 2x + \cos 3x} = \tg 2x $.
Преобразуем числитель и знаменатель дроби в левой части. Сгруппируем первое и третье слагаемые и применим формулы суммы синусов и косинусов.
Числитель: $ \text{Ч} = (\sin 3x + \sin x) + \sin 2x $.
Используем формулу $ \sin \alpha + \sin \beta = 2 \sin \frac{\alpha+\beta}{2} \cos \frac{\alpha-\beta}{2} $:
$ \sin 3x + \sin x = 2 \sin \frac{3x+x}{2} \cos \frac{3x-x}{2} = 2 \sin 2x \cos x $
Тогда числитель равен:
$ \text{Ч} = 2 \sin 2x \cos x + \sin 2x = \sin 2x (2 \cos x + 1) $
Знаменатель: $ \text{З} = (\cos 3x + \cos x) + \cos 2x $.
Используем формулу $ \cos \alpha + \cos \beta = 2 \cos \frac{\alpha+\beta}{2} \cos \frac{\alpha-\beta}{2} $:
$ \cos 3x + \cos x = 2 \cos \frac{3x+x}{2} \cos \frac{3x-x}{2} = 2 \cos 2x \cos x $
Тогда знаменатель равен:
$ \text{З} = 2 \cos 2x \cos x + \cos 2x = \cos 2x (2 \cos x + 1) $
Теперь подставим преобразованные числитель и знаменатель в исходную дробь:
$ \frac{\text{Ч}}{\text{З}} = \frac{\sin 2x (2 \cos x + 1)}{\cos 2x (2 \cos x + 1)} $
При условии, что $ 2 \cos x + 1 \neq 0 $ и $ \cos 2x \neq 0 $, мы можем сократить общий множитель $ (2 \cos x + 1) $:
$ \frac{\sin 2x}{\cos 2x} = \tg 2x $
Левая часть равна правой. Тождество доказано для области определения выражения.
Ответ: Тождество $ \frac{\sin x + \sin 2x + \sin 3x}{\cos x + \cos 2x + \cos 3x} = \tg 2x $ доказано.
№22.12 (с. 73)
Условие. №22.12 (с. 73)
скриншот условия

22.12 a) $ \sin t + \sin 2t + \sin 3t + \sin 4t; $
б) $ \cos 2t - \cos 4t - \cos 6t + \cos 8t. $
Решение 1. №22.12 (с. 73)

Решение 2. №22.12 (с. 73)

Решение 3. №22.12 (с. 73)

Решение 5. №22.12 (с. 73)

Решение 6. №22.12 (с. 73)
а) Для того чтобы представить сумму в виде произведения, сгруппируем слагаемые: первое с четвертым и второе с третьим.
$ \sin t + \sin 2t + \sin 3t + \sin 4t = (\sin 4t + \sin t) + (\sin 3t + \sin 2t) $
Теперь применим формулу суммы синусов $ \sin x + \sin y = 2 \sin\frac{x+y}{2} \cos\frac{x-y}{2} $ к каждой группе.
Для первой группы:
$ \sin 4t + \sin t = 2 \sin\frac{4t+t}{2} \cos\frac{4t-t}{2} = 2 \sin\frac{5t}{2} \cos\frac{3t}{2} $
Для второй группы:
$ \sin 3t + \sin 2t = 2 \sin\frac{3t+2t}{2} \cos\frac{3t-2t}{2} = 2 \sin\frac{5t}{2} \cos\frac{t}{2} $
Подставим полученные выражения обратно в сумму:
$ 2 \sin\frac{5t}{2} \cos\frac{3t}{2} + 2 \sin\frac{5t}{2} \cos\frac{t}{2} $
Вынесем общий множитель $ 2 \sin\frac{5t}{2} $ за скобки:
$ 2 \sin\frac{5t}{2} (\cos\frac{3t}{2} + \cos\frac{t}{2}) $
Теперь к выражению в скобках применим формулу суммы косинусов $ \cos x + \cos y = 2 \cos\frac{x+y}{2} \cos\frac{x-y}{2} $:
$ \cos\frac{3t}{2} + \cos\frac{t}{2} = 2 \cos\frac{\frac{3t}{2}+\frac{t}{2}}{2} \cos\frac{\frac{3t}{2}-\frac{t}{2}}{2} = 2 \cos\frac{2t}{2} \cos\frac{t}{2} = 2 \cos t \cos\frac{t}{2} $
Подставим результат в наше выражение:
$ 2 \sin\frac{5t}{2} \cdot (2 \cos t \cos\frac{t}{2}) = 4 \cos\frac{t}{2} \cos t \sin\frac{5t}{2} $
Ответ: $ 4 \cos\frac{t}{2} \cos t \sin\frac{5t}{2} $
б) Перегруппируем слагаемые для удобства применения формул:
$ \cos 2t - \cos 4t - \cos 6t + \cos 8t = (\cos 8t + \cos 2t) - (\cos 6t + \cos 4t) $
Применим формулу суммы косинусов $ \cos x + \cos y = 2 \cos\frac{x+y}{2} \cos\frac{x-y}{2} $ к каждой из скобок.
Для первой скобки:
$ \cos 8t + \cos 2t = 2 \cos\frac{8t+2t}{2} \cos\frac{8t-2t}{2} = 2 \cos 5t \cos 3t $
Для второй скобки:
$ \cos 6t + \cos 4t = 2 \cos\frac{6t+4t}{2} \cos\frac{6t-4t}{2} = 2 \cos 5t \cos t $
Подставим полученные произведения в исходное выражение:
$ 2 \cos 5t \cos 3t - 2 \cos 5t \cos t $
Вынесем общий множитель $ 2 \cos 5t $ за скобки:
$ 2 \cos 5t (\cos 3t - \cos t) $
К выражению в скобках применим формулу разности косинусов $ \cos x - \cos y = -2 \sin\frac{x+y}{2} \sin\frac{x-y}{2} $:
$ \cos 3t - \cos t = -2 \sin\frac{3t+t}{2} \sin\frac{3t-t}{2} = -2 \sin 2t \sin t $
Подставим полученный результат в итоговое выражение:
$ 2 \cos 5t \cdot (-2 \sin 2t \sin t) = -4 \sin t \sin 2t \cos 5t $
Ответ: $ -4 \sin t \sin 2t \cos 5t $
№22.17 (с. 73)
Условие. №22.17 (с. 73)
скриншот условия

22.17 a) $\sin^2(\alpha + \beta) - \sin^2(\alpha - \beta) = \sin 2\alpha \sin 2\beta;$
б) $\cos^2(\alpha - \beta) - \cos^2(\alpha + \beta) = \sin 2\alpha \sin 2\beta.$
Решение 1. №22.17 (с. 73)

Решение 2. №22.17 (с. 73)

Решение 3. №22.17 (с. 73)

Решение 5. №22.17 (с. 73)

Решение 6. №22.17 (с. 73)
a) Докажем тождество $\sin^2(\alpha + \beta) - \sin^2(\alpha - \beta) = \sin 2\alpha \sin 2\beta$.
Преобразуем левую часть равенства, используя формулу разности квадратов $a^2 - b^2 = (a-b)(a+b)$:
$\sin^2(\alpha + \beta) - \sin^2(\alpha - \beta) = (\sin(\alpha + \beta) - \sin(\alpha - \beta))(\sin(\alpha + \beta) + \sin(\alpha - \beta))$
Теперь применим формулы преобразования суммы и разности синусов в произведение:
- $\sin x + \sin y = 2\sin\frac{x+y}{2}\cos\frac{x-y}{2}$
- $\sin x - \sin y = 2\sin\frac{x-y}{2}\cos\frac{x+y}{2}$
Для первой скобки $(\sin(\alpha + \beta) + \sin(\alpha - \beta))$ имеем:
$x = \alpha + \beta$, $y = \alpha - \beta$.
$\frac{x+y}{2} = \frac{(\alpha+\beta)+(\alpha-\beta)}{2} = \frac{2\alpha}{2} = \alpha$
$\frac{x-y}{2} = \frac{(\alpha+\beta)-(\alpha-\beta)}{2} = \frac{2\beta}{2} = \beta$
Следовательно, $\sin(\alpha + \beta) + \sin(\alpha - \beta) = 2\sin\alpha\cos\beta$.
Для второй скобки $(\sin(\alpha + \beta) - \sin(\alpha - \beta))$ имеем те же $x$ и $y$:
$\sin(\alpha + \beta) - \sin(\alpha - \beta) = 2\sin\beta\cos\alpha$.
Теперь перемножим полученные выражения:
$(2\sin\alpha\cos\beta) \cdot (2\sin\beta\cos\alpha) = 4\sin\alpha\cos\alpha\sin\beta\cos\beta$
Сгруппируем множители:
$(2\sin\alpha\cos\alpha) \cdot (2\sin\beta\cos\beta)$
Используя формулу синуса двойного угла $\sin(2\theta) = 2\sin\theta\cos\theta$, получаем:
$\sin(2\alpha)\sin(2\beta)$
Мы показали, что левая часть тождества равна правой. Тождество доказано.
Ответ: Тождество $\sin^2(\alpha + \beta) - \sin^2(\alpha - \beta) = \sin 2\alpha \sin 2\beta$ доказано.
б) Докажем тождество $\cos^2(\alpha - \beta) - \cos^2(\alpha + \beta) = \sin 2\alpha \sin 2\beta$.
Преобразуем левую часть равенства, используя основное тригонометрическое тождество $\cos^2 x = 1 - \sin^2 x$.
$\cos^2(\alpha - \beta) - \cos^2(\alpha + \beta) = (1 - \sin^2(\alpha - \beta)) - (1 - \sin^2(\alpha + \beta))$
Раскроем скобки и упростим выражение:
$1 - \sin^2(\alpha - \beta) - 1 + \sin^2(\alpha + \beta) = \sin^2(\alpha + \beta) - \sin^2(\alpha - \beta)$
Полученное выражение является левой частью тождества из пункта a).
Как было доказано выше, $\sin^2(\alpha + \beta) - \sin^2(\alpha - \beta) = \sin 2\alpha \sin 2\beta$.
Следовательно, $\cos^2(\alpha - \beta) - \cos^2(\alpha + \beta) = \sin 2\alpha \sin 2\beta$. Тождество доказано.
Ответ: Тождество $\cos^2(\alpha - \beta) - \cos^2(\alpha + \beta) = \sin 2\alpha \sin 2\beta$ доказано.
№22.13 (с. 73)
Условие. №22.13 (с. 73)
скриншот условия

Докажите, что верно равенство:
22.13 a) $ \sin 20^\circ + \sin 40^\circ - \cos 10^\circ = 0 $;
б) $ \cos 85^\circ + \cos 35^\circ - \cos 25^\circ = 0 $.
Решение 1. №22.13 (с. 73)

Решение 2. №22.13 (с. 73)

Решение 3. №22.13 (с. 73)

Решение 5. №22.13 (с. 73)

Решение 6. №22.13 (с. 73)
a)
Чтобы доказать равенство $sin 20° + sin 40° - cos 10° = 0$, мы преобразуем его левую часть, используя тригонометрические формулы.
Для начала сгруппируем первые два слагаемых $(sin 20° + sin 40°)$ и применим к ним формулу суммы синусов:
$sin \alpha + sin \beta = 2 sin(\frac{\alpha + \beta}{2}) cos(\frac{\alpha - \beta}{2})$
Подставим наши значения $\alpha = 40°$ и $\beta = 20°$:
$sin 40° + sin 20° = 2 sin(\frac{40° + 20°}{2}) cos(\frac{40° - 20°}{2}) = 2 sin(\frac{60°}{2}) cos(\frac{20°}{2}) = 2 sin 30° cos 10°$
Известно, что $sin 30° = \frac{1}{2}$. Подставим это табличное значение в полученное выражение:
$2 sin 30° cos 10° = 2 \cdot \frac{1}{2} \cdot cos 10° = 1 \cdot cos 10° = cos 10°$
Теперь вернемся к исходному выражению и заменим сумму синусов на полученный результат:
$(sin 20° + sin 40°) - cos 10° = cos 10° - cos 10° = 0$
Мы получили верное тождество $0 = 0$, что и требовалось доказать.
Ответ: Равенство $sin 20° + sin 40° - cos 10° = 0$ верно.
б)
Чтобы доказать равенство $cos 85° + cos 35° - cos 25° = 0$, мы также преобразуем его левую часть.
Сгруппируем первые два слагаемых $(cos 85° + cos 35°)$ и применим к ним формулу суммы косинусов:
$cos \alpha + cos \beta = 2 cos(\frac{\alpha + \beta}{2}) cos(\frac{\alpha - \beta}{2})$
Подставим наши значения $\alpha = 85°$ и $\beta = 35°$:
$cos 85° + cos 35° = 2 cos(\frac{85° + 35°}{2}) cos(\frac{85° - 35°}{2}) = 2 cos(\frac{120°}{2}) cos(\frac{50°}{2}) = 2 cos 60° cos 25°$
Известно, что $cos 60° = \frac{1}{2}$. Подставим это табличное значение в полученное выражение:
$2 cos 60° cos 25° = 2 \cdot \frac{1}{2} \cdot cos 25° = 1 \cdot cos 25° = cos 25°$
Теперь вернемся к исходному выражению и заменим сумму косинусов на полученный результат:
$(cos 85° + cos 35°) - cos 25° = cos 25° - cos 25° = 0$
Мы получили верное тождество $0 = 0$, что и требовалось доказать.
Ответ: Равенство $cos 85° + cos 35° - cos 25° = 0$ верно.
№22.18 (с. 73)
Условие. №22.18 (с. 73)
скриншот условия

22.18 Вычислите $\frac{\sin \alpha + \sin 3\alpha + \sin 5\alpha + \sin 7\alpha}{\cos \alpha + \cos 3\alpha + \cos 5\alpha + \cos 7\alpha}$, если $ctg\, 4\alpha = 0,2$.
Решение 1. №22.18 (с. 73)

Решение 2. №22.18 (с. 73)

Решение 3. №22.18 (с. 73)

Решение 5. №22.18 (с. 73)

Решение 6. №22.18 (с. 73)
Для вычисления значения данного выражения необходимо упростить числитель и знаменатель дроби. Сделаем это, сгруппировав слагаемые и применив формулы суммы синусов и косинусов.
1. Упрощение числителя:
Сгруппируем слагаемые в числителе следующим образом: $(\sin \alpha + \sin 7\alpha) + (\sin 3\alpha + \sin 5\alpha)$.
Воспользуемся формулой суммы синусов: $\sin x + \sin y = 2 \sin\frac{x+y}{2} \cos\frac{x-y}{2}$.
Для первой группы:
$\sin \alpha + \sin 7\alpha = 2 \sin\frac{\alpha+7\alpha}{2} \cos\frac{7\alpha-\alpha}{2} = 2 \sin 4\alpha \cos 3\alpha$
Для второй группы:
$\sin 3\alpha + \sin 5\alpha = 2 \sin\frac{3\alpha+5\alpha}{2} \cos\frac{5\alpha-3\alpha}{2} = 2 \sin 4\alpha \cos \alpha$
Сложив результаты, получим выражение для числителя:
$2 \sin 4\alpha \cos 3\alpha + 2 \sin 4\alpha \cos \alpha = 2 \sin 4\alpha (\cos 3\alpha + \cos \alpha)$
2. Упрощение знаменателя:
Аналогично сгруппируем слагаемые в знаменателе: $(\cos \alpha + \cos 7\alpha) + (\cos 3\alpha + \cos 5\alpha)$.
Воспользуемся формулой суммы косинусов: $\cos x + \cos y = 2 \cos\frac{x+y}{2} \cos\frac{x-y}{2}$.
Для первой группы:
$\cos \alpha + \cos 7\alpha = 2 \cos\frac{\alpha+7\alpha}{2} \cos\frac{7\alpha-\alpha}{2} = 2 \cos 4\alpha \cos 3\alpha$
Для второй группы:
$\cos 3\alpha + \cos 5\alpha = 2 \cos\frac{3\alpha+5\alpha}{2} \cos\frac{5\alpha-3\alpha}{2} = 2 \cos 4\alpha \cos \alpha$
Сложив результаты, получим выражение для знаменателя:
$2 \cos 4\alpha \cos 3\alpha + 2 \cos 4\alpha \cos \alpha = 2 \cos 4\alpha (\cos 3\alpha + \cos \alpha)$
3. Упрощение дроби и вычисление:
Подставим упрощенные выражения для числителя и знаменателя в исходную дробь:
$\frac{2 \sin 4\alpha (\cos 3\alpha + \cos \alpha)}{2 \cos 4\alpha (\cos 3\alpha + \cos \alpha)}$
Поскольку из условия $\ctg 4\alpha = 0,2$ следует, что $\cos 4\alpha \neq 0$ и $\sin 4\alpha \neq 0$, мы можем сократить дробь на общие множители $2$ и $(\cos 3\alpha + \cos \alpha)$, при условии, что последний не равен нулю (что предполагается, так как требуется вычислить значение выражения).
$\frac{\sin 4\alpha}{\cos 4\alpha} = \tan 4\alpha$
Мы знаем, что тангенс и котангенс одного и того же угла связаны соотношением $\tan x = \frac{1}{\ctg x}$.
Используя данное нам значение $\ctg 4\alpha = 0,2$, находим:
$\tan 4\alpha = \frac{1}{\ctg 4\alpha} = \frac{1}{0,2} = \frac{1}{1/5} = 5$
Таким образом, значение исходного выражения равно 5.
Ответ: 5
№22.9 (с. 73)
Условие. №22.9 (с. 73)
скриншот условия

22.9 Докажите тождество:
a) $\frac{\sin 2\alpha + \sin 6\alpha}{\cos 2\alpha + \cos 6\alpha} = \operatorname{tg} 4\alpha;$
б) $\frac{\cos 2\alpha - \cos 4\alpha}{\cos 2\alpha + \cos 4\alpha} = \operatorname{tg} 3\alpha \operatorname{tg} \alpha.$
Решение 1. №22.9 (с. 73)

Решение 2. №22.9 (с. 73)

Решение 3. №22.9 (с. 73)

Решение 5. №22.9 (с. 73)

Решение 6. №22.9 (с. 73)
а) Для доказательства тождества $ \frac{\sin 2\alpha + \sin 6\alpha}{\cos 2\alpha + \cos 6\alpha} = \operatorname{tg} 4\alpha $ преобразуем его левую часть.
Воспользуемся формулами суммы синусов и суммы косинусов:
$ \sin x + \sin y = 2 \sin\frac{x+y}{2} \cos\frac{x-y}{2} $
$ \cos x + \cos y = 2 \cos\frac{x+y}{2} \cos\frac{x-y}{2} $
Применим эти формулы к числителю и знаменателю дроби. Для удобства вычислений поменяем слагаемые местами (что не изменит сумму).
Числитель: $ \sin 6\alpha + \sin 2\alpha = 2 \sin\frac{6\alpha+2\alpha}{2} \cos\frac{6\alpha-2\alpha}{2} = 2 \sin 4\alpha \cos 2\alpha $.
Знаменатель: $ \cos 6\alpha + \cos 2\alpha = 2 \cos\frac{6\alpha+2\alpha}{2} \cos\frac{6\alpha-2\alpha}{2} = 2 \cos 4\alpha \cos 2\alpha $.
Теперь подставим полученные выражения обратно в дробь:
$ \frac{\sin 2\alpha + \sin 6\alpha}{\cos 2\alpha + \cos 6\alpha} = \frac{2 \sin 4\alpha \cos 2\alpha}{2 \cos 4\alpha \cos 2\alpha} $.
Сокращаем общий множитель $ 2 \cos 2\alpha $:
$ \frac{\sin 4\alpha}{\cos 4\alpha} $.
По определению тангенса, $ \operatorname{tg} x = \frac{\sin x}{\cos x} $, следовательно:
$ \frac{\sin 4\alpha}{\cos 4\alpha} = \operatorname{tg} 4\alpha $.
Мы преобразовали левую часть тождества к правой, что и требовалось доказать.
Ответ: Тождество доказано.
б) Для доказательства тождества $ \frac{\cos 2\alpha - \cos 4\alpha}{\cos 2\alpha + \cos 4\alpha} = \operatorname{tg} 3\alpha \operatorname{tg} \alpha $ преобразуем его левую часть.
Воспользуемся формулами разности и суммы косинусов:
$ \cos x - \cos y = -2 \sin\frac{x+y}{2} \sin\frac{x-y}{2} $
$ \cos x + \cos y = 2 \cos\frac{x+y}{2} \cos\frac{x-y}{2} $
Применим эти формулы к числителю и знаменателю дроби.
Числитель: $ \cos 2\alpha - \cos 4\alpha = -2 \sin\frac{2\alpha+4\alpha}{2} \sin\frac{2\alpha-4\alpha}{2} = -2 \sin 3\alpha \sin(-\alpha) $.
Так как синус — нечетная функция ($ \sin(-x) = -\sin x $), выражение упрощается:
$ -2 \sin 3\alpha (-\sin\alpha) = 2 \sin 3\alpha \sin\alpha $.
Знаменатель: $ \cos 2\alpha + \cos 4\alpha = 2 \cos\frac{2\alpha+4\alpha}{2} \cos\frac{2\alpha-4\alpha}{2} = 2 \cos 3\alpha \cos(-\alpha) $.
Так как косинус — четная функция ($ \cos(-x) = \cos x $), выражение упрощается:
$ 2 \cos 3\alpha \cos\alpha $.
Теперь подставим полученные выражения обратно в дробь:
$ \frac{\cos 2\alpha - \cos 4\alpha}{\cos 2\alpha + \cos 4\alpha} = \frac{2 \sin 3\alpha \sin\alpha}{2 \cos 3\alpha \cos\alpha} $.
Сокращаем на 2 и перегруппировываем множители:
$ \frac{\sin 3\alpha}{\cos 3\alpha} \cdot \frac{\sin\alpha}{\cos\alpha} $.
По определению тангенса, $ \operatorname{tg} x = \frac{\sin x}{\cos x} $, следовательно:
$ \frac{\sin 3\alpha}{\cos 3\alpha} \cdot \frac{\sin\alpha}{\cos\alpha} = \operatorname{tg} 3\alpha \operatorname{tg} \alpha $.
Мы преобразовали левую часть тождества к правой, что и требовалось доказать.
Ответ: Тождество доказано.
№22.14 (с. 73)
Условие. №22.14 (с. 73)
скриншот условия

22.14 а) $\sin 87^\circ - \sin 59^\circ - \sin 93^\circ + \sin 61^\circ = \sin 1^\circ$;
б) $\cos 115^\circ - \cos 35^\circ + \cos 65^\circ + \cos 25^\circ = \sin 5^\circ$.
Решение 1. №22.14 (с. 73)

Решение 2. №22.14 (с. 73)

Решение 3. №22.14 (с. 73)

Решение 5. №22.14 (с. 73)

Решение 6. №22.14 (с. 73)
а) Чтобы доказать тождество, преобразуем его левую часть: $\sin 87^\circ - \sin 59^\circ - \sin 93^\circ + \sin 61^\circ$.
Сначала воспользуемся формулами приведения для $\sin 87^\circ$ и $\sin 93^\circ$.
$\sin 87^\circ = \sin(90^\circ - 3^\circ) = \cos 3^\circ$
$\sin 93^\circ = \sin(90^\circ + 3^\circ) = \cos 3^\circ$
Подставим эти значения в исходное выражение:
$\cos 3^\circ - \sin 59^\circ - \cos 3^\circ + \sin 61^\circ$
Сгруппируем слагаемые: $(\cos 3^\circ - \cos 3^\circ) + (\sin 61^\circ - \sin 59^\circ) = 0 + \sin 61^\circ - \sin 59^\circ = \sin 61^\circ - \sin 59^\circ$.
Теперь применим формулу разности синусов $\sin \alpha - \sin \beta = 2\cos\frac{\alpha+\beta}{2}\sin\frac{\alpha-\beta}{2}$:
$\sin 61^\circ - \sin 59^\circ = 2\cos\frac{61^\circ+59^\circ}{2}\sin\frac{61^\circ-59^\circ}{2} = 2\cos\frac{120^\circ}{2}\sin\frac{2^\circ}{2} = 2\cos 60^\circ \sin 1^\circ$.
Зная, что $\cos 60^\circ = \frac{1}{2}$, получаем:
$2 \cdot \frac{1}{2} \cdot \sin 1^\circ = \sin 1^\circ$.
Таким образом, левая часть тождества равна правой части. Тождество доказано.
Ответ: левая часть выражения равна $\sin 1^\circ$, тождество верно.
б) Чтобы доказать тождество, преобразуем его левую часть: $\cos 115^\circ - \cos 35^\circ + \cos 65^\circ + \cos 25^\circ$.
Воспользуемся формулой приведения для $\cos 115^\circ$:
$\cos 115^\circ = \cos(180^\circ - 65^\circ) = -\cos 65^\circ$.
Подставим это значение в исходное выражение:
$-\cos 65^\circ - \cos 35^\circ + \cos 65^\circ + \cos 25^\circ$.
Сгруппируем слагаемые: $(-\cos 65^\circ + \cos 65^\circ) + (\cos 25^\circ - \cos 35^\circ) = 0 + \cos 25^\circ - \cos 35^\circ = \cos 25^\circ - \cos 35^\circ$.
Теперь применим формулу разности косинусов $\cos \alpha - \cos \beta = -2\sin\frac{\alpha+\beta}{2}\sin\frac{\alpha-\beta}{2}$:
$\cos 25^\circ - \cos 35^\circ = -2\sin\frac{25^\circ+35^\circ}{2}\sin\frac{25^\circ-35^\circ}{2} = -2\sin\frac{60^\circ}{2}\sin\frac{-10^\circ}{2} = -2\sin 30^\circ \sin(-5^\circ)$.
Используя свойство нечетности синуса $\sin(-\alpha) = -\sin \alpha$ и значение $\sin 30^\circ = \frac{1}{2}$, получаем:
$-2 \cdot \frac{1}{2} \cdot (-\sin 5^\circ) = -1 \cdot (-\sin 5^\circ) = \sin 5^\circ$.
Таким образом, левая часть тождества равна правой части. Тождество доказано.
Ответ: левая часть выражения равна $\sin 5^\circ$, тождество верно.
Помогло решение? Оставьте отзыв в комментариях ниже.