Страница 74, часть 2 - гдз по алгебре 10-11 класс задачник часть 1, 2 Мордкович, Семенов


Авторы: Мордкович А. Г., Семенов П. В., Денищева Л. О., Корешкова Т. А., Мишустина Т. Н., Тульчинская Е. Е.
Тип: Задачник
Издательство: Мнемозина
Год издания: 2019 - 2025
Уровень обучения: базовый
Часть: 2
Цвет обложки:
ISBN: 978-5-346-04509-0 (общ.), 978-5-346-04510-6 (ч. 1), 978-5-346-04511-3 (ч. 2)
Рекомендовано Министерством образования и науки Российской Федерации
Математика: алгебра и начала математического анализа, геометрия
Популярные ГДЗ в 10 классе
ч. 2. Cтраница 74

№22.20 (с. 74)
Условие. №22.20 (с. 74)
скриншот условия

22.20 При каких значениях $x$ числа $a$, $b$, $c$ образуют арифметическую прогрессию, если:
a) $a = \cos 7x$, $b = \cos 2x$, $c = \cos 11x$;
б) $a = \sin 3x$, $b = \cos x$, $c = \sin 5x$?
Решение 1. №22.20 (с. 74)

Решение 2. №22.20 (с. 74)


Решение 3. №22.20 (с. 74)

Решение 5. №22.20 (с. 74)


Решение 6. №22.20 (с. 74)
а) Для того чтобы три числа $a$, $b$ и $c$ образовывали арифметическую прогрессию, необходимо и достаточно, чтобы выполнялось равенство $2b = a + c$. Это основное свойство арифметической прогрессии, которое гласит, что каждый член, начиная со второго, является средним арифметическим соседних с ним членов.
Подставим в это равенство заданные выражения для $a$, $b$ и $c$: $ a = \cos(7x) $, $ b = \cos(2x) $, $ c = \cos(11x) $ $ 2\cos(2x) = \cos(7x) + \cos(11x) $
Для решения этого тригонометрического уравнения воспользуемся формулой суммы косинусов: $ \cos(\alpha) + \cos(\beta) = 2\cos\frac{\alpha+\beta}{2}\cos\frac{\alpha-\beta}{2} $
Применив ее к правой части нашего уравнения, получим: $ \cos(7x) + \cos(11x) = 2\cos\frac{7x+11x}{2}\cos\frac{11x-7x}{2} = 2\cos(9x)\cos(2x) $
Теперь уравнение принимает вид: $ 2\cos(2x) = 2\cos(9x)\cos(2x) $
Перенесем все члены в одну сторону и вынесем общий множитель $2\cos(2x)$ за скобки: $ 2\cos(2x) - 2\cos(9x)\cos(2x) = 0 $ $ 2\cos(2x)(1 - \cos(9x)) = 0 $
Произведение равно нулю, если хотя бы один из множителей равен нулю. Это приводит нас к двум независимым уравнениям:
1) $ \cos(2x) = 0 $
Решением этого уравнения является $ 2x = \frac{\pi}{2} + \pi k $, где $k$ - любое целое число ($k \in Z$).
Отсюда $ x = \frac{\pi}{4} + \frac{\pi k}{2} $, $ k \in Z $.
2) $ 1 - \cos(9x) = 0 $, что равносильно $ \cos(9x) = 1 $.
Решением этого уравнения является $ 9x = 2\pi n $, где $n$ - любое целое число ($n \in Z$).
Отсюда $ x = \frac{2\pi n}{9} $, $ n \in Z $.
Ответ: $ x = \frac{\pi}{4} + \frac{\pi k}{2} $ или $ x = \frac{2\pi n}{9} $, где $k, n \in Z$.
б) Аналогично предыдущему пункту, используем свойство арифметической прогрессии $2b = a + c$.
Подставим заданные выражения: $ a = \sin(3x) $, $ b = \cos(x) $, $ c = \sin(5x) $ $ 2\cos(x) = \sin(3x) + \sin(5x) $
Для решения воспользуемся формулой суммы синусов: $ \sin(\alpha) + \sin(\beta) = 2\sin\frac{\alpha+\beta}{2}\cos\frac{\alpha-\beta}{2} $
Применив ее к правой части нашего уравнения, получим: $ \sin(3x) + \sin(5x) = 2\sin\frac{3x+5x}{2}\cos\frac{5x-3x}{2} = 2\sin(4x)\cos(x) $
Уравнение принимает вид: $ 2\cos(x) = 2\sin(4x)\cos(x) $
Перенесем все члены в одну сторону и вынесем общий множитель $2\cos(x)$ за скобки: $ 2\cos(x) - 2\sin(4x)\cos(x) = 0 $ $ 2\cos(x)(1 - \sin(4x)) = 0 $
Произведение равно нулю, если хотя бы один из множителей равен нулю. Рассматриваем два случая:
1) $ \cos(x) = 0 $
Решением этого уравнения является $ x = \frac{\pi}{2} + \pi k $, где $k \in Z$.
2) $ 1 - \sin(4x) = 0 $, что равносильно $ \sin(4x) = 1 $.
Решением этого уравнения является $ 4x = \frac{\pi}{2} + 2\pi n $, где $n \in Z$.
Отсюда $ x = \frac{\pi}{8} + \frac{\pi n}{2} $, где $n \in Z$.
Ответ: $ x = \frac{\pi}{2} + \pi k $ или $ x = \frac{\pi}{8} + \frac{\pi n}{2} $, где $k, n \in Z$.
№22.25 (с. 74)
Условие. №22.25 (с. 74)
скриншот условия

22.25 a) $2\sin^2 x + \cos 5x = 1;$
б) $2\sin^2 3x - 1 = \cos^2 4x - \sin^2 4x.$
Решение 2. №22.25 (с. 74)


Решение 5. №22.25 (с. 74)


Решение 6. №22.25 (с. 74)
а) $2\sin^2x + \cos5x = 1$
Для решения данного уравнения воспользуемся тригонометрической формулой понижения степени для синуса: $2\sin^2x = 1 - \cos(2x)$.
Подставим это выражение в исходное уравнение:
$(1 - \cos(2x)) + \cos5x = 1$
Вычтем 1 из обеих частей уравнения, чтобы упростить его:
$\cos5x - \cos(2x) = 0$
Далее применим формулу преобразования разности косинусов в произведение: $\cos A - \cos B = -2\sin\left(\frac{A+B}{2}\right)\sin\left(\frac{A-B}{2}\right)$.
В нашем случае $A=5x$ и $B=2x$.
$-2\sin\left(\frac{5x+2x}{2}\right)\sin\left(\frac{5x-2x}{2}\right) = 0$
$-2\sin\left(\frac{7x}{2}\right)\sin\left(\frac{3x}{2}\right) = 0$
Произведение равно нулю тогда и только тогда, когда хотя бы один из множителей равен нулю. Это приводит к совокупности двух простейших тригонометрических уравнений:
1) $\sin\left(\frac{7x}{2}\right) = 0$
Решением этого уравнения является серия:
$\frac{7x}{2} = \pi k$, где $k \in \mathbb{Z}$ (Z — множество целых чисел)
$x = \frac{2\pi k}{7}$, где $k \in \mathbb{Z}$
2) $\sin\left(\frac{3x}{2}\right) = 0$
Решением этого уравнения является серия:
$\frac{3x}{2} = \pi n$, где $n \in \mathbb{Z}$
$x = \frac{2\pi n}{3}$, где $n \in \mathbb{Z}$
Объединяя обе серии, получаем итоговое решение.
Ответ: $x = \frac{2\pi k}{7}, x = \frac{2\pi n}{3}$, где $k, n \in \mathbb{Z}$.
б) $2\sin^23x - 1 = \cos^24x - \sin^24x$
Преобразуем обе части уравнения, используя формулы двойного угла.
Для левой части воспользуемся формулой косинуса двойного угла в виде $\cos(2\alpha) = 1 - 2\sin^2\alpha$. Отсюда следует, что $2\sin^2\alpha - 1 = -\cos(2\alpha)$.
Положив $\alpha = 3x$, получаем: $2\sin^23x - 1 = -\cos(2 \cdot 3x) = -\cos(6x)$.
Для правой части применим другую формулу косинуса двойного угла: $\cos(2\alpha) = \cos^2\alpha - \sin^2\alpha$.
Положив $\alpha = 4x$, получаем: $\cos^24x - \sin^24x = \cos(2 \cdot 4x) = \cos(8x)$.
Теперь исходное уравнение можно переписать в более простом виде:
$-\cos(6x) = \cos(8x)$
Перенесем все члены в одну сторону:
$\cos(8x) + \cos(6x) = 0$
Для решения этого уравнения применим формулу преобразования суммы косинусов в произведение: $\cos A + \cos B = 2\cos\left(\frac{A+B}{2}\right)\cos\left(\frac{A-B}{2}\right)$.
В нашем случае $A=8x$ и $B=6x$.
$2\cos\left(\frac{8x+6x}{2}\right)\cos\left(\frac{8x-6x}{2}\right) = 0$
$2\cos(7x)\cos(x) = 0$
Произведение равно нулю, когда один из множителей равен нулю. Получаем совокупность уравнений:
1) $\cos(7x) = 0$
Решением является серия:
$7x = \frac{\pi}{2} + \pi k$, где $k \in \mathbb{Z}$
$x = \frac{\pi}{14} + \frac{\pi k}{7}$, где $k \in \mathbb{Z}$
2) $\cos(x) = 0$
Решением является серия:
$x = \frac{\pi}{2} + \pi n$, где $n \in \mathbb{Z}$
Проверим, не является ли одна серия решений подмножеством другой. Представим вторую серию в виде, сопоставимом с первой:
$x = \frac{\pi}{2} + \pi n = \frac{7\pi}{14} + \frac{14\pi n}{14} = \frac{\pi(7+14n)}{14}$.
Первую серию можно записать как $x = \frac{\pi}{14} + \frac{2\pi k}{14} = \frac{\pi(1+2k)}{14}$.
Решения совпадают, если для любого целого $n$ существует такое целое $k$, что $1+2k = 7+14n$.
$2k = 6+14n \implies k = 3+7n$.
Поскольку для любого целого $n$ значение $k$ также будет целым, вторая серия решений ($x = \frac{\pi}{2} + \pi n$) полностью содержится в первой серии ($x = \frac{\pi}{14} + \frac{\pi k}{7}$). Следовательно, в качестве ответа достаточно указать только более общую первую серию.
Ответ: $x = \frac{\pi}{14} + \frac{\pi k}{7}$, где $k \in \mathbb{Z}$.
№22.21 (с. 74)
Условие. №22.21 (с. 74)
скриншот условия

Решите уравнение:
22.21 a) $ \cos x + \cos 3x = 0; $
б) $ \sin 12x + \sin 4x = 0; $
в) $ \cos x = \cos 5x; $
г) $ \sin 3x = \sin 17x. $
Решение 1. №22.21 (с. 74)

Решение 2. №22.21 (с. 74)


Решение 3. №22.21 (с. 74)

Решение 5. №22.21 (с. 74)



Решение 6. №22.21 (с. 74)
а)
Дано уравнение $ \cos x + \cos 3x = 0 $.
Для решения используем формулу суммы косинусов: $ \cos \alpha + \cos \beta = 2 \cos\frac{\alpha + \beta}{2} \cos\frac{\alpha - \beta}{2} $.
Применив формулу к уравнению, получаем:
$ 2 \cos\frac{3x + x}{2} \cos\frac{3x - x}{2} = 0 $
$ 2 \cos(2x) \cos(x) = 0 $
Произведение равно нулю, если хотя бы один из множителей равен нулю. Отсюда получаем совокупность двух уравнений:
1) $ \cos x = 0 $
Решением этого уравнения является $ x = \frac{\pi}{2} + \pi k $, где $ k \in \mathbb{Z} $.
2) $ \cos(2x) = 0 $
Решением этого уравнения является $ 2x = \frac{\pi}{2} + \pi n $, где $ n \in \mathbb{Z} $.
Разделив на 2, получаем $ x = \frac{\pi}{4} + \frac{\pi n}{2} $, где $ n \in \mathbb{Z} $.
Объединяя решения, получаем итоговый ответ.
Ответ: $ x = \frac{\pi}{2} + \pi k, k \in \mathbb{Z} $; $ x = \frac{\pi}{4} + \frac{\pi n}{2}, n \in \mathbb{Z} $.
б)
Дано уравнение $ \sin 12x + \sin 4x = 0 $.
Для решения используем формулу суммы синусов: $ \sin \alpha + \sin \beta = 2 \sin\frac{\alpha + \beta}{2} \cos\frac{\alpha - \beta}{2} $.
Применив формулу к уравнению, получаем:
$ 2 \sin\frac{12x + 4x}{2} \cos\frac{12x - 4x}{2} = 0 $
$ 2 \sin(8x) \cos(4x) = 0 $
Произведение равно нулю, если хотя бы один из множителей равен нулю. Отсюда получаем совокупность двух уравнений:
1) $ \sin(8x) = 0 $
$ 8x = \pi k $, где $ k \in \mathbb{Z} $.
$ x = \frac{\pi k}{8} $, где $ k \in \mathbb{Z} $.
2) $ \cos(4x) = 0 $
$ 4x = \frac{\pi}{2} + \pi n $, где $ n \in \mathbb{Z} $.
$ x = \frac{\pi}{8} + \frac{\pi n}{4} = \frac{\pi(1+2n)}{8} $, где $ n \in \mathbb{Z} $.
Заметим, что вторая серия решений ($x = \frac{\pi(1+2n)}{8}$) представляет собой нечетные кратные числа $ \frac{\pi}{8} $. Первая серия решений ($x = \frac{\pi k}{8}$) включает в себя все целые кратные (и четные, и нечетные) числа $ \frac{\pi}{8} $. Таким образом, вторая серия решений является подмножеством первой. Следовательно, достаточно записать только первую серию решений.
Ответ: $ x = \frac{\pi k}{8}, k \in \mathbb{Z} $.
в)
Дано уравнение $ \cos x = \cos 5x $.
Уравнение вида $ \cos \alpha = \cos \beta $ равносильно совокупности двух уравнений: $ \alpha = \beta + 2\pi k $ и $ \alpha = -\beta + 2\pi k $, где $ k \in \mathbb{Z} $.
В нашем случае $ \alpha = 5x $ и $ \beta = x $.
1) $ 5x = x + 2\pi k $
$ 4x = 2\pi k $
$ x = \frac{2\pi k}{4} = \frac{\pi k}{2} $, где $ k \in \mathbb{Z} $.
2) $ 5x = -x + 2\pi n $
$ 6x = 2\pi n $
$ x = \frac{2\pi n}{6} = \frac{\pi n}{3} $, где $ n \in \mathbb{Z} $.
Эти две серии решений различны и вместе составляют полное решение уравнения.
Ответ: $ x = \frac{\pi k}{2}, k \in \mathbb{Z} $; $ x = \frac{\pi n}{3}, n \in \mathbb{Z} $.
г)
Дано уравнение $ \sin 3x = \sin 17x $.
Уравнение вида $ \sin \alpha = \sin \beta $ равносильно совокупности двух уравнений: $ \alpha = \beta + 2\pi k $ и $ \alpha = \pi - \beta + 2\pi k $, где $ k \in \mathbb{Z} $.
В нашем случае $ \alpha = 17x $ и $ \beta = 3x $.
1) $ 17x = 3x + 2\pi k $
$ 14x = 2\pi k $
$ x = \frac{2\pi k}{14} = \frac{\pi k}{7} $, где $ k \in \mathbb{Z} $.
2) $ 17x = \pi - 3x + 2\pi n $
$ 20x = \pi + 2\pi n = \pi(1 + 2n) $
$ x = \frac{\pi(1 + 2n)}{20} = \frac{\pi}{20} + \frac{\pi n}{10} $, где $ n \in \mathbb{Z} $.
Эти две серии решений различны и вместе составляют полное решение уравнения.
Ответ: $ x = \frac{\pi k}{7}, k \in \mathbb{Z} $; $ x = \frac{\pi}{20} + \frac{\pi n}{10}, n \in \mathbb{Z} $.
№22.26 (с. 74)
Условие. №22.26 (с. 74)
скриншот условия

22.26 a) $ \operatorname{tg} x + \operatorname{tg} 5x = 0; $
б) $ \operatorname{tg} 3x = \operatorname{ctg} x; $
В) $ \operatorname{tg} 2x = \operatorname{tg} 4x; $
Г) $ \operatorname{ctg} \frac{x}{2} + \operatorname{ctg} \frac{3x}{2} = 0. $
Решение 2. №22.26 (с. 74)



Решение 5. №22.26 (с. 74)





Решение 6. №22.26 (с. 74)
a) $\tg x + \tg 5x = 0$
Область допустимых значений (ОДЗ) уравнения определяется условиями:
$\cos x \neq 0 \implies x \neq \frac{\pi}{2} + \pi k, k \in \mathbb{Z}$
$\cos 5x \neq 0 \implies 5x \neq \frac{\pi}{2} + \pi m, m \in \mathbb{Z} \implies x \neq \frac{\pi}{10} + \frac{\pi m}{5}, m \in \mathbb{Z}$
Перенесем $\tg 5x$ в правую часть и воспользуемся свойством нечетности тангенса $\tg(-a) = -\tg a$:
$\tg x = -\tg 5x$
$\tg x = \tg(-5x)$
Равенство тангенсов $\tg a = \tg b$ выполняется, если $a = b + \pi n$, где n - любое целое число.
$x = -5x + \pi n, n \in \mathbb{Z}$
$6x = \pi n$
$x = \frac{\pi n}{6}, n \in \mathbb{Z}$
Теперь необходимо проверить, удовлетворяют ли найденные решения ОДЗ.
1. Проверим условие $\cos x \neq 0$.
$\cos(\frac{\pi n}{6}) = 0$, если $\frac{\pi n}{6} = \frac{\pi}{2} + \pi k$. Отсюда $\frac{n}{6} = \frac{1}{2} + k$, что дает $n = 3 + 6k$. Это означает, что n не может быть нечетным числом, кратным 3 (например, 3, 9, 15, -3, -9, ...).
2. Проверим условие $\cos 5x \neq 0$.
$\cos(\frac{5\pi n}{6}) = 0$, если $\frac{5\pi n}{6} = \frac{\pi}{2} + \pi m$. Отсюда $\frac{5n}{6} = \frac{1}{2} + m$, что дает $5n = 3 + 6m = 3(1+2m)$. Правая часть является нечетным числом, кратным 3. Следовательно, n также должно быть нечетным числом, кратным 3. То есть $n = 3, 9, 15, ...$ или в общем виде $n = 3(2k+1) = 6k+3$.
Оба условия приводят к одному и тому же ограничению: n не должно быть нечетным числом, кратным 3.
Ответ: $x = \frac{\pi n}{6}$, где $n \in \mathbb{Z}$ и $n \neq 3 + 6k$ для любого $k \in \mathbb{Z}$.
б) $\tg 3x = \ctg x$
ОДЗ: $\cos 3x \neq 0 \implies x \neq \frac{\pi}{6} + \frac{\pi k}{3}, k \in \mathbb{Z}$ и $\sin x \neq 0 \implies x \neq \pi m, m \in \mathbb{Z}$.
Используем формулу приведения $\ctg x = \tg(\frac{\pi}{2} - x)$.
$\tg 3x = \tg(\frac{\pi}{2} - x)$
Это равенство истинно, если их аргументы отличаются на $\pi n$:
$3x = \frac{\pi}{2} - x + \pi n, n \in \mathbb{Z}$
$4x = \frac{\pi}{2} + \pi n$
$x = \frac{\pi}{8} + \frac{\pi n}{4}, n \in \mathbb{Z}$
Проверим ОДЗ. Решения $x = \frac{\pi(1+2n)}{8}$ никогда не будут равны $\pi m$ (нечетное равно четному) или $\frac{\pi(1+2k)}{6}$ (нечетное кратное 3 равно четному кратному 4). Таким образом, все найденные решения входят в ОДЗ.
Ответ: $x = \frac{\pi}{8} + \frac{\pi n}{4}, n \in \mathbb{Z}$.
в) $\tg 2x = \tg 4x$
ОДЗ: $\cos 2x \neq 0 \implies x \neq \frac{\pi}{4} + \frac{\pi k}{2}, k \in \mathbb{Z}$ и $\cos 4x \neq 0 \implies x \neq \frac{\pi}{8} + \frac{\pi m}{4}, m \in \mathbb{Z}$.
Равенство тангенсов $\tg a = \tg b$ выполняется, если $a = b + \pi n$.
$4x = 2x + \pi n, n \in \mathbb{Z}$
$2x = \pi n$
$x = \frac{\pi n}{2}, n \in \mathbb{Z}$
Проверим, удовлетворяют ли эти корни ОДЗ.
Для $x = \frac{\pi n}{2}$, имеем $2x = \pi n$ и $4x = 2\pi n$.
$\cos(2x) = \cos(\pi n) = (-1)^n \neq 0$.
$\cos(4x) = \cos(2\pi n) = 1 \neq 0$.
Оба условия ОДЗ выполняются для всех целых n.
Ответ: $x = \frac{\pi n}{2}, n \in \mathbb{Z}$.
г) $\ctg\frac{x}{2} + \ctg\frac{3x}{2} = 0$
ОДЗ: $\sin \frac{x}{2} \neq 0 \implies x \neq 2\pi k, k \in \mathbb{Z}$ и $\sin \frac{3x}{2} \neq 0 \implies x \neq \frac{2\pi m}{3}, m \in \mathbb{Z}$.
Воспользуемся формулой суммы котангенсов $\ctg a + \ctg b = \frac{\sin(a+b)}{\sin a \sin b}$.
$\frac{\sin(\frac{x}{2} + \frac{3x}{2})}{\sin\frac{x}{2} \sin\frac{3x}{2}} = 0$
$\frac{\sin 2x}{\sin\frac{x}{2} \sin\frac{3x}{2}} = 0$
Дробь равна нулю, когда ее числитель равен нулю, а знаменатель не равен нулю.
$\sin 2x = 0 \implies 2x = \pi n \implies x = \frac{\pi n}{2}, n \in \mathbb{Z}$.
Теперь исключим значения n, при которых знаменатель обращается в ноль.
1. $\sin\frac{x}{2} = \sin(\frac{\pi n}{4}) = 0 \implies \frac{\pi n}{4} = \pi k \implies n = 4k$.
2. $\sin\frac{3x}{2} = \sin(\frac{3\pi n}{4}) = 0 \implies \frac{3\pi n}{4} = \pi m \implies 3n = 4m$. Отсюда следует, что n должно быть кратно 4, то есть $n=4k$.
Оба условия требуют исключить значения n, кратные 4.
Таким образом, решениями являются $x = \frac{\pi n}{2}$ для всех целых n, которые не делятся на 4. Эти серии корней можно записать в виде:
$n = 4k+1 \implies x = \frac{\pi(4k+1)}{2} = \frac{\pi}{2} + 2\pi k$
$n = 4k+2 \implies x = \frac{\pi(4k+2)}{2} = \pi + 2\pi k$
$n = 4k+3 \implies x = \frac{\pi(4k+3)}{2} = \frac{3\pi}{2} + 2\pi k$
Первую и третью серии можно объединить в одну: $x = \frac{\pi}{2} + \pi k$.
Ответ: $x = \frac{\pi}{2} + \pi k, k \in \mathbb{Z}$; $x = \pi + 2\pi m, m \in \mathbb{Z}$.
№22.22 (с. 74)
Условие. №22.22 (с. 74)
скриншот условия

22.22 a) $ \sin x + \sin 2x - \sin 3x = 0; $
б) $ \cos 3x - \cos 5x = \sin 4x. $
Решение 1. №22.22 (с. 74)

Решение 2. №22.22 (с. 74)


Решение 3. №22.22 (с. 74)

Решение 5. №22.22 (с. 74)


Решение 6. №22.22 (с. 74)
а) $\sin x + \sin 2x - \sin 3x = 0$
Перегруппируем слагаемые в уравнении для применения тригонометрических формул:
$(\sin x - \sin 3x) + \sin 2x = 0$
Используем формулу разности синусов $\sin \alpha - \sin \beta = 2 \sin\left(\frac{\alpha-\beta}{2}\right)\cos\left(\frac{\alpha+\beta}{2}\right)$ для выражения в скобках:
$\sin x - \sin 3x = 2 \sin\left(\frac{x-3x}{2}\right)\cos\left(\frac{x+3x}{2}\right) = 2 \sin(-x)\cos(2x)$
Так как синус — нечетная функция ($\sin(-x) = -\sin x$), получаем:
$2 \sin(-x)\cos(2x) = -2\sin x \cos(2x)$
Подставим результат в исходное уравнение:
$-2\sin x \cos 2x + \sin 2x = 0$
Теперь применим формулу синуса двойного угла $\sin 2x = 2 \sin x \cos x$:
$-2\sin x \cos 2x + 2\sin x \cos x = 0$
Вынесем общий множитель $2\sin x$ за скобки:
$2\sin x (\cos x - \cos 2x) = 0$
Произведение равно нулю, если хотя бы один из множителей равен нулю. Получаем два уравнения:
1. $\sin x = 0$
Решением этого уравнения является серия корней: $x = \pi n$, где $n \in \mathbb{Z}$.
2. $\cos x - \cos 2x = 0$, или $\cos x = \cos 2x$
Применим формулу косинуса двойного угла $\cos 2x = 2\cos^2 x - 1$:
$\cos x = 2\cos^2 x - 1$
Перенесем все члены в одну сторону, чтобы получить квадратное уравнение относительно $\cos x$:
$2\cos^2 x - \cos x - 1 = 0$
Сделаем замену $t = \cos x$, где $|t| \le 1$. Уравнение примет вид $2t^2 - t - 1 = 0$.
Находим корни этого квадратного уравнения: $t_1 = \frac{1+3}{4} = 1$ и $t_2 = \frac{1-3}{4} = -\frac{1}{2}$.
Возвращаемся к переменной $x$:
a) $\cos x = 1$. Решение: $x = 2\pi k$, где $k \in \mathbb{Z}$.
б) $\cos x = -\frac{1}{2}$. Решение: $x = \pm \arccos\left(-\frac{1}{2}\right) + 2\pi m = \pm \frac{2\pi}{3} + 2\pi m$, где $m \in \mathbb{Z}$.
Объединим все найденные решения. Заметим, что серия корней $x = 2\pi k$ является частным случаем серии $x = \pi n$ (при $n=2k$). Следовательно, итоговый ответ можно записать в более компактной форме.
Ответ: $x = \pi n$, $x = \pm \frac{2\pi}{3} + 2\pi m$, где $n, m \in \mathbb{Z}$.
б) $\cos 3x - \cos 5x = \sin 4x$
Преобразуем левую часть уравнения, используя формулу разности косинусов $\cos \alpha - \cos \beta = -2 \sin\left(\frac{\alpha+\beta}{2}\right)\sin\left(\frac{\alpha-\beta}{2}\right)$:
$\cos 3x - \cos 5x = -2 \sin\left(\frac{3x+5x}{2}\right)\sin\left(\frac{3x-5x}{2}\right) = -2 \sin(4x)\sin(-x)$
Используя свойство нечетности синуса ($\sin(-x) = -\sin x$), получаем:
$-2 \sin(4x)(-\sin x) = 2\sin(4x)\sin x$
Подставим полученное выражение в исходное уравнение:
$2\sin(4x)\sin x = \sin 4x$
Перенесем все члены в левую часть и вынесем общий множитель $\sin 4x$ за скобки:
$2\sin(4x)\sin x - \sin 4x = 0$
$\sin 4x (2\sin x - 1) = 0$
Это уравнение эквивалентно совокупности двух уравнений:
1. $\sin 4x = 0$
$4x = \pi n$, где $n \in \mathbb{Z}$.
$x = \frac{\pi n}{4}$, где $n \in \mathbb{Z}$.
2. $2\sin x - 1 = 0$, или $\sin x = \frac{1}{2}$
Решением этого уравнения является серия корней:
$x = (-1)^k \arcsin\left(\frac{1}{2}\right) + \pi k = (-1)^k \frac{\pi}{6} + \pi k$, где $k \in \mathbb{Z}$.
Объединяем решения из обоих случаев.
Ответ: $x = \frac{\pi n}{4}$, $x = (-1)^k \frac{\pi}{6} + \pi k$, где $n, k \in \mathbb{Z}$.
№22.27 (с. 74)
Условие. №22.27 (с. 74)
скриншот условия

22.27 a) $ \sin x + \sin 3x + \cos x + \cos 3x = 0 $;
б) $ \sin 5x + \sin x + 2 \sin^2 x = 1 $.
Решение 2. №22.27 (с. 74)


Решение 5. №22.27 (с. 74)


Решение 6. №22.27 (с. 74)
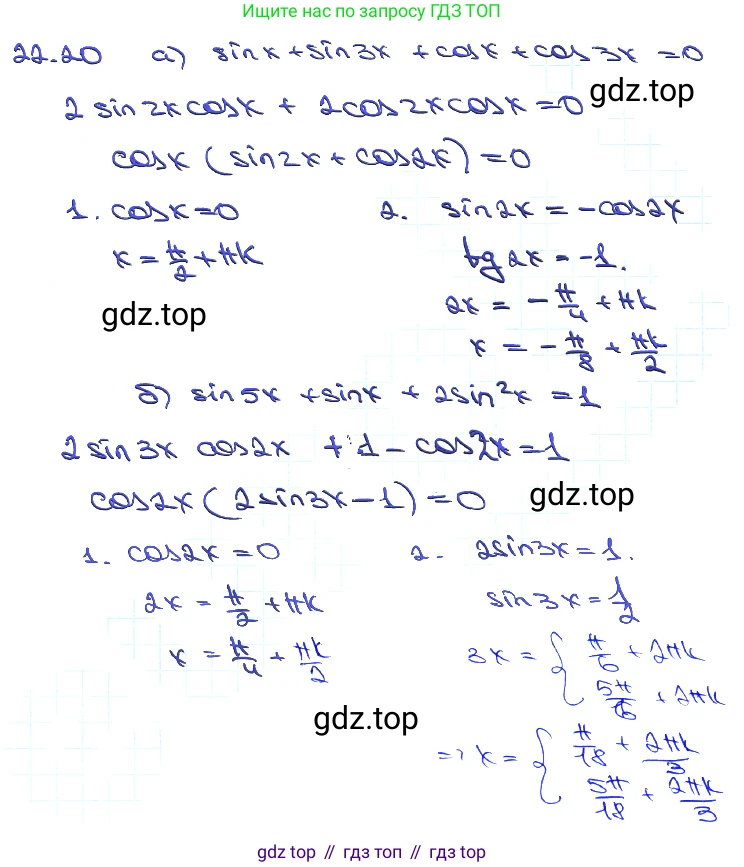
а) Исходное уравнение: $\sin x + \sin 3x + \cos x + \cos 3x = 0$.
Сгруппируем слагаемые: $(\sin 3x + \sin x) + (\cos 3x + \cos x) = 0$.
Применим формулы суммы синусов и суммы косинусов: $\sin \alpha + \sin \beta = 2 \sin\left(\frac{\alpha+\beta}{2}\right) \cos\left(\frac{\alpha-\beta}{2}\right)$ и $\cos \alpha + \cos \beta = 2 \cos\left(\frac{\alpha+\beta}{2}\right) \cos\left(\frac{\alpha-\beta}{2}\right)$.
В результате преобразования получаем:
$2 \sin\left(\frac{3x+x}{2}\right) \cos\left(\frac{3x-x}{2}\right) + 2 \cos\left(\frac{3x+x}{2}\right) \cos\left(\frac{3x-x}{2}\right) = 0$
$2 \sin(2x)\cos(x) + 2 \cos(2x)\cos(x) = 0$
Вынесем общий множитель $2\cos(x)$ за скобки:
$2\cos(x)(\sin(2x) + \cos(2x)) = 0$
Произведение равно нулю, когда хотя бы один из множителей равен нулю. Таким образом, уравнение распадается на два случая:
1) $\cos(x) = 0$. Решением этого простейшего тригонометрического уравнения является серия корней $x = \frac{\pi}{2} + \pi n$, где $n \in \mathbb{Z}$.
2) $\sin(2x) + \cos(2x) = 0$. Это однородное тригонометрическое уравнение первой степени. Разделим обе части на $\cos(2x) \neq 0$ (если $\cos(2x) = 0$, то $\sin(2x) = \pm 1$, и сумма не равна нулю, так что деление возможно).
$\tan(2x) + 1 = 0$
$\tan(2x) = -1$
$2x = \arctan(-1) + \pi k = -\frac{\pi}{4} + \pi k$
$x = -\frac{\pi}{8} + \frac{\pi k}{2}$, где $k \in \mathbb{Z}$.
Объединяя решения обоих случаев, получаем окончательный ответ.
Ответ: $x = \frac{\pi}{2} + \pi n, \; x = -\frac{\pi}{8} + \frac{\pi k}{2}$, где $n, k \in \mathbb{Z}$.
б) Исходное уравнение: $\sin 5x + \sin x + 2 \sin^2 x = 1$.
Перенесем $2 \sin^2 x$ в правую часть уравнения:
$\sin 5x + \sin x = 1 - 2 \sin^2 x$
К левой части применим формулу суммы синусов, а правую часть преобразуем по формуле косинуса двойного угла $\cos(2\alpha) = 1 - 2\sin^2\alpha$.
$2 \sin\left(\frac{5x+x}{2}\right) \cos\left(\frac{5x-x}{2}\right) = \cos(2x)$
$2 \sin(3x)\cos(2x) = \cos(2x)$
Перенесем все члены в левую часть и вынесем общий множитель $\cos(2x)$ за скобки:
$2 \sin(3x)\cos(2x) - \cos(2x) = 0$
$\cos(2x)(2 \sin(3x) - 1) = 0$
Это уравнение также распадается на два случая:
1) $\cos(2x) = 0$. Отсюда $2x = \frac{\pi}{2} + \pi n$, что дает серию решений $x = \frac{\pi}{4} + \frac{\pi n}{2}$, где $n \in \mathbb{Z}$.
2) $2 \sin(3x) - 1 = 0$, или $\sin(3x) = \frac{1}{2}$.
Решением этого уравнения является $3x = (-1)^k \arcsin(\frac{1}{2}) + \pi k$.
$3x = (-1)^k \frac{\pi}{6} + \pi k$
$x = (-1)^k \frac{\pi}{18} + \frac{\pi k}{3}$, где $k \in \mathbb{Z}$.
Объединяя решения обоих случаев, получаем окончательный ответ.
Ответ: $x = \frac{\pi}{4} + \frac{\pi n}{2}, \; x = (-1)^k \frac{\pi}{18} + \frac{\pi k}{3}$, где $n, k \in \mathbb{Z}$.
№22.23 (с. 74)
Условие. №22.23 (с. 74)
скриншот условия

Решите уравнение:
22.23 а) $\sin 3x = \cos 2x;$
б) $\sin (5\pi - x) = \cos (2x + 7\pi);$
в) $\cos 5x = \sin 15x;$
г) $\sin (7\pi + x) = \cos (9\pi + 2x).$
Решение 2. №22.23 (с. 74)




Решение 5. №22.23 (с. 74)




Решение 6. №22.23 (с. 74)
а) Исходное уравнение: $sin3x = cos2x$.
Воспользуемся формулой приведения $cos\alpha = sin(\frac{\pi}{2} - \alpha)$, чтобы привести уравнение к одному наименованию функции.
Уравнение примет вид: $sin3x = sin(\frac{\pi}{2} - 2x)$.
Равенство синусов $sinA = sinB$ выполняется, если $A = B + 2\pi n$ или $A = \pi - B + 2\pi n$, где $n \in \mathbb{Z}$.
Рассмотрим два случая:
1) $3x = \frac{\pi}{2} - 2x + 2\pi n, n \in \mathbb{Z}$
$5x = \frac{\pi}{2} + 2\pi n$
$x = \frac{\pi}{10} + \frac{2\pi n}{5}, n \in \mathbb{Z}$.
2) $3x = \pi - (\frac{\pi}{2} - 2x) + 2\pi k, k \in \mathbb{Z}$
$3x = \pi - \frac{\pi}{2} + 2x + 2\pi k$
$3x - 2x = \frac{\pi}{2} + 2\pi k$
$x = \frac{\pi}{2} + 2\pi k, k \in \mathbb{Z}$.
Проверим, не является ли вторая серия решений частью первой. Для этого приравняем выражения для $x$:
$\frac{\pi}{2} + 2\pi k = \frac{\pi}{10} + \frac{2\pi n}{5}$
Разделим обе части на $\pi$: $\frac{1}{2} + 2k = \frac{1}{10} + \frac{2n}{5}$.
Умножим обе части на 10, чтобы избавиться от дробей: $5 + 20k = 1 + 4n$.
$4n = 4 + 20k \implies n = 1 + 5k$.
Поскольку для любого целого $k$ число $n$ также будет целым, вторая серия решений является подмножеством первой. Таким образом, все решения уравнения описываются первой формулой.
Ответ: $x = \frac{\pi}{10} + \frac{2\pi n}{5}, n \in \mathbb{Z}$.
б) Исходное уравнение: $sin(5\pi - x) = cos(2x + 7\pi)$.
Сначала упростим аргументы тригонометрических функций, используя формулы приведения и периодичность.
$sin(5\pi - x) = sin(4\pi + \pi - x) = sin(\pi - x) = sinx$.
$cos(2x + 7\pi) = cos(2x + \pi + 6\pi) = cos(2x + \pi) = -cos(2x)$.
После упрощения уравнение принимает вид: $sinx = -cos(2x)$, или $sinx + cos(2x) = 0$.
Применим формулу двойного угла для косинуса: $cos(2x) = 1 - 2sin^2x$.
$sinx + (1 - 2sin^2x) = 0$.
$2sin^2x - sinx - 1 = 0$.
Сделаем замену $t = sinx$, где $|t| \le 1$. Получим квадратное уравнение:
$2t^2 - t - 1 = 0$.
Найдем корни по формуле: $t = \frac{-(-1) \pm \sqrt{(-1)^2 - 4 \cdot 2 \cdot (-1)}}{2 \cdot 2} = \frac{1 \pm \sqrt{1+8}}{4} = \frac{1 \pm 3}{4}$.
$t_1 = \frac{1+3}{4} = 1$;
$t_2 = \frac{1-3}{4} = -\frac{1}{2}$.
Оба значения подходят. Вернемся к переменной $x$.
1) $sinx = 1 \implies x = \frac{\pi}{2} + 2\pi k, k \in \mathbb{Z}$.
2) $sinx = -\frac{1}{2} \implies x = (-1)^{m+1}\frac{\pi}{6} + \pi m, m \in \mathbb{Z}$. Эта формула дает две серии корней: $x = -\frac{\pi}{6} + 2\pi n$ и $x = \frac{7\pi}{6} + 2\pi n$.
На единичной окружности этим решениям соответствуют три точки: $\frac{\pi}{2}$, $\frac{7\pi}{6}$ и $-\frac{\pi}{6}$ (или $\frac{11\pi}{6}$). Эти точки расположены равномерно, с шагом $\frac{2\pi}{3}$. Поэтому все решения можно объединить в одну серию.
Ответ: $x = \frac{\pi}{2} + \frac{2\pi n}{3}, n \in \mathbb{Z}$.
в) Исходное уравнение: $cos5x = sin15x$.
Воспользуемся формулой приведения $cos\alpha = sin(\frac{\pi}{2} - \alpha)$.
Уравнение примет вид: $sin(\frac{\pi}{2} - 5x) = sin15x$.
Равенство $sinA = sinB$ выполняется, если $A = B + 2\pi n$ или $A = \pi - B + 2\pi n$, где $n \in \mathbb{Z}$.
Рассмотрим два случая:
1) $\frac{\pi}{2} - 5x = 15x + 2\pi n, n \in \mathbb{Z}$
$\frac{\pi}{2} - 2\pi n = 20x$
$x = \frac{\pi}{40} - \frac{\pi n}{10}$. Поскольку $n$ — любое целое, мы можем заменить $-n$ на $k$, чтобы получить более простую запись:
$x = \frac{\pi}{40} + \frac{\pi k}{10}, k \in \mathbb{Z}$.
2) $\frac{\pi}{2} - 5x = \pi - 15x + 2\pi m, m \in \mathbb{Z}$
$15x - 5x = \pi - \frac{\pi}{2} + 2\pi m$
$10x = \frac{\pi}{2} + 2\pi m$
$x = \frac{\pi}{20} + \frac{\pi m}{5}, m \in \mathbb{Z}$.
Эти две серии решений являются различными и не могут быть объединены в одну.
Ответ: $x = \frac{\pi}{40} + \frac{\pi k}{10}, k \in \mathbb{Z}; \quad x = \frac{\pi}{20} + \frac{\pi m}{5}, m \in \mathbb{Z}$.
г) Исходное уравнение: $sin(7\pi + x) = cos(9\pi + 2x)$.
Упростим аргументы, используя формулы приведения.
$sin(7\pi + x) = sin(\pi + x) = -sinx$.
$cos(9\pi + 2x) = cos(\pi + 2x) = -cos(2x)$.
Уравнение принимает вид: $-sinx = -cos(2x)$, что эквивалентно $sinx = cos(2x)$.
Используем формулу двойного угла: $cos(2x) = 1 - 2sin^2x$.
$sinx = 1 - 2sin^2x$.
$2sin^2x + sinx - 1 = 0$.
Сделаем замену $t = sinx$, где $|t| \le 1$.
$2t^2 + t - 1 = 0$.
Найдем корни: $t = \frac{-1 \pm \sqrt{1^2 - 4 \cdot 2 \cdot (-1)}}{2 \cdot 2} = \frac{-1 \pm \sqrt{9}}{4} = \frac{-1 \pm 3}{4}$.
$t_1 = \frac{-1+3}{4} = \frac{1}{2}$.
$t_2 = \frac{-1-3}{4} = -1$.
Вернемся к замене:
1) $sinx = \frac{1}{2} \implies x = (-1)^k\frac{\pi}{6} + \pi k, k \in \mathbb{Z}$. Это дает серии $x = \frac{\pi}{6} + 2\pi n$ и $x = \frac{5\pi}{6} + 2\pi n$.
2) $sinx = -1 \implies x = -\frac{\pi}{2} + 2\pi m, m \in \mathbb{Z}$.
Решениям на единичной окружности соответствуют три точки: $\frac{\pi}{6}$, $\frac{5\pi}{6}$ и $-\frac{\pi}{2}$ (или $\frac{3\pi}{2}$). Разница между соседними точками составляет $\frac{2\pi}{3}$. Следовательно, все решения можно объединить.
Ответ: $x = \frac{\pi}{6} + \frac{2\pi n}{3}, n \in \mathbb{Z}$.
№22.28 (с. 74)
Условие. №22.28 (с. 74)
скриншот условия

22.28 Сколько корней имеет заданное уравнение на отрезке $ \left[0; \frac{\pi}{2}\right] $:
a) $ \sin 2x + \sin 6x = \cos 2x $;
б) $ 2 \cos^2 x - 1 = \sin 3x $?
Решение 2. №22.28 (с. 74)


Решение 5. №22.28 (с. 74)



Решение 6. №22.28 (с. 74)
а)
Исходное уравнение: $\sin 2x + \sin 6x = \cos 2x$.
Воспользуемся формулой суммы синусов: $\sin \alpha + \sin \beta = 2 \sin\frac{\alpha+\beta}{2} \cos\frac{\alpha-\beta}{2}$.
Применим ее к левой части уравнения, поменяв слагаемые местами для удобства: $\sin 6x + \sin 2x = 2 \sin\frac{6x+2x}{2} \cos\frac{6x-2x}{2} = 2 \sin 4x \cos 2x$.
Уравнение принимает вид:
$2 \sin 4x \cos 2x = \cos 2x$.
Перенесем все члены в левую часть и вынесем общий множитель $\cos 2x$ за скобки: $2 \sin 4x \cos 2x - \cos 2x = 0$
$\cos 2x (2 \sin 4x - 1) = 0$.
Произведение равно нулю, когда хотя бы один из множителей равен нулю. Это приводит к двум независимым уравнениям:
1) $\cos 2x = 0$
$2x = \frac{\pi}{2} + \pi k$, где $k \in \mathbb{Z}$ (здесь и далее $k, n, m$ - целые числа).
$x = \frac{\pi}{4} + \frac{\pi k}{2}$.
2) $2 \sin 4x - 1 = 0 \implies \sin 4x = \frac{1}{2}$
Это уравнение имеет две серии решений:
$4x = \frac{\pi}{6} + 2\pi n \implies x = \frac{\pi}{24} + \frac{\pi n}{2}$.
$4x = \pi - \frac{\pi}{6} + 2\pi m = \frac{5\pi}{6} + 2\pi m \implies x = \frac{5\pi}{24} + \frac{\pi m}{2}$.
Теперь найдем корни, принадлежащие заданному отрезку $[0; \frac{\pi}{2}]$.
Для первой серии $x = \frac{\pi}{4} + \frac{\pi k}{2}$:
При $k=0$, $x = \frac{\pi}{4}$. Этот корень принадлежит отрезку $[0; \frac{\pi}{2}]$.
При $k=1$, $x = \frac{\pi}{4} + \frac{\pi}{2} = \frac{3\pi}{4} > \frac{\pi}{2}$.
При $k=-1$, $x = \frac{\pi}{4} - \frac{\pi}{2} = -\frac{\pi}{4} < 0$.
Для серии $x = \frac{\pi}{24} + \frac{\pi n}{2}$:
При $n=0$, $x = \frac{\pi}{24}$. Этот корень принадлежит отрезку $[0; \frac{\pi}{2}]$.
При $n=1$, $x = \frac{\pi}{24} + \frac{\pi}{2} = \frac{13\pi}{24} > \frac{\pi}{2}$.
При $n=-1$, $x = \frac{\pi}{24} - \frac{\pi}{2} < 0$.
Для серии $x = \frac{5\pi}{24} + \frac{\pi m}{2}$:
При $m=0$, $x = \frac{5\pi}{24}$. Этот корень принадлежит отрезку $[0; \frac{\pi}{2}]$ (так как $\frac{5}{24} < \frac{1}{2}$).
При $m=1$, $x = \frac{5\pi}{24} + \frac{\pi}{2} = \frac{17\pi}{24} > \frac{\pi}{2}$.
При $m=-1$, $x = \frac{5\pi}{24} - \frac{\pi}{2} < 0$.
Мы получили три различных корня на заданном отрезке: $x_1 = \frac{\pi}{24}$, $x_2 = \frac{5\pi}{24}$, $x_3 = \frac{\pi}{4}$.
Ответ: 3
б)
Исходное уравнение: $2 \cos^2 x - 1 = \sin 3x$.
Воспользуемся формулой косинуса двойного угла: $\cos 2\alpha = 2 \cos^2 \alpha - 1$.
Левая часть уравнения преобразуется к $\cos 2x$.
Уравнение принимает вид:
$\cos 2x = \sin 3x$.
Для решения этого уравнения используем формулу приведения $\sin \alpha = \cos(\frac{\pi}{2} - \alpha)$: $\cos 2x = \cos(\frac{\pi}{2} - 3x)$.
Равенство $\cos A = \cos B$ выполняется, если $A = \pm B + 2\pi k$, где $k \in \mathbb{Z}$ (здесь и далее $k, n$ - целые числа).
Рассмотрим два случая:
1) $2x = (\frac{\pi}{2} - 3x) + 2\pi k$
$5x = \frac{\pi}{2} + 2\pi k$
$x = \frac{\pi}{10} + \frac{2\pi k}{5}$.
2) $2x = -(\frac{\pi}{2} - 3x) + 2\pi n$
$2x = 3x - \frac{\pi}{2} + 2\pi n$
$-x = -\frac{\pi}{2} + 2\pi n$
$x = \frac{\pi}{2} - 2\pi n$.
Теперь найдем корни, принадлежащие заданному отрезку $[0; \frac{\pi}{2}]$.
Для первой серии $x = \frac{\pi}{10} + \frac{2\pi k}{5}$:
При $k=0$, $x = \frac{\pi}{10}$. Этот корень принадлежит отрезку $[0; \frac{\pi}{2}]$.
При $k=1$, $x = \frac{\pi}{10} + \frac{2\pi}{5} = \frac{\pi + 4\pi}{10} = \frac{5\pi}{10} = \frac{\pi}{2}$. Этот корень принадлежит отрезку $[0; \frac{\pi}{2}]$.
При $k=2$, $x = \frac{\pi}{10} + \frac{4\pi}{5} = \frac{9\pi}{10} > \frac{\pi}{2}$.
При $k=-1$, $x = \frac{\pi}{10} - \frac{2\pi}{5} = -\frac{3\pi}{10} < 0$.
Для второй серии $x = \frac{\pi}{2} - 2\pi n$ (что эквивалентно $x = \frac{\pi}{2} + 2\pi m$ при $m=-n$):
При $n=0$, $x = \frac{\pi}{2}$. Этот корень уже был найден в первой серии.
При $n=1$, $x = \frac{\pi}{2} - 2\pi = -\frac{3\pi}{2} < 0$.
При $n=-1$, $x = \frac{\pi}{2} + 2\pi > \frac{\pi}{2}$.
Мы получили два различных корня на заданном отрезке: $x_1 = \frac{\pi}{10}$ и $x_2 = \frac{\pi}{2}$.
Ответ: 2
№22.19 (с. 74)
Условие. №22.19 (с. 74)
скриншот условия

22.19 Вычислите:
a) $ \sin^2 10^\circ + \sin^2 130^\circ + \sin^2 110^\circ $;
б) $ \cos^2 35^\circ + \cos^2 25^\circ - \cos^2 5^\circ $.
Решение 1. №22.19 (с. 74)

Решение 2. №22.19 (с. 74)

Решение 3. №22.19 (с. 74)

Решение 5. №22.19 (с. 74)

Решение 6. №22.19 (с. 74)
а) Вычислить $ \sin^2 10^\circ + \sin^2 130^\circ + \sin^2 110^\circ $.
Для решения воспользуемся формулой понижения степени для синуса: $ \sin^2 \alpha = \frac{1 - \cos(2\alpha)}{2} $.
Применим эту формулу к каждому слагаемому в выражении:
$ \sin^2 10^\circ = \frac{1 - \cos(2 \cdot 10^\circ)}{2} = \frac{1 - \cos(20^\circ)}{2} $
$ \sin^2 130^\circ = \frac{1 - \cos(2 \cdot 130^\circ)}{2} = \frac{1 - \cos(260^\circ)}{2} $
$ \sin^2 110^\circ = \frac{1 - \cos(2 \cdot 110^\circ)}{2} = \frac{1 - \cos(220^\circ)}{2} $
Теперь сложим полученные дроби:
$ \frac{1 - \cos(20^\circ)}{2} + \frac{1 - \cos(260^\circ)}{2} + \frac{1 - \cos(220^\circ)}{2} = \frac{1 - \cos(20^\circ) + 1 - \cos(260^\circ) + 1 - \cos(220^\circ)}{2} $
$ = \frac{3 - (\cos(20^\circ) + \cos(260^\circ) + \cos(220^\circ))}{2} $
Рассмотрим сумму косинусов в скобках. Сгруппируем $ \cos(260^\circ) $ и $ \cos(220^\circ) $ и применим формулу суммы косинусов $ \cos A + \cos B = 2\cos\frac{A+B}{2}\cos\frac{A-B}{2} $:
$ \cos(260^\circ) + \cos(220^\circ) = 2\cos\frac{260^\circ+220^\circ}{2}\cos\frac{260^\circ-220^\circ}{2} = 2\cos\frac{480^\circ}{2}\cos\frac{40^\circ}{2} = 2\cos(240^\circ)\cos(20^\circ) $
Вычислим значение $ \cos(240^\circ) $. Используем формулу приведения: $ \cos(240^\circ) = \cos(180^\circ + 60^\circ) = -\cos(60^\circ) = -\frac{1}{2} $.
Подставим это значение обратно:
$ 2\cos(240^\circ)\cos(20^\circ) = 2 \cdot (-\frac{1}{2}) \cdot \cos(20^\circ) = -\cos(20^\circ) $
Теперь вся сумма косинусов равна:
$ \cos(20^\circ) + (\cos(260^\circ) + \cos(220^\circ)) = \cos(20^\circ) - \cos(20^\circ) = 0 $
Подставим полученный результат в исходное выражение:
$ \frac{3 - 0}{2} = \frac{3}{2} = 1.5 $
Ответ: 1.5
б) Вычислить $ \cos^2 35^\circ + \cos^2 25^\circ - \cos^2 5^\circ $.
Для решения воспользуемся формулой понижения степени для косинуса: $ \cos^2 \alpha = \frac{1 + \cos(2\alpha)}{2} $.
Применим эту формулу к каждому члену выражения:
$ \cos^2 35^\circ = \frac{1 + \cos(2 \cdot 35^\circ)}{2} = \frac{1 + \cos(70^\circ)}{2} $
$ \cos^2 25^\circ = \frac{1 + \cos(2 \cdot 25^\circ)}{2} = \frac{1 + \cos(50^\circ)}{2} $
$ \cos^2 5^\circ = \frac{1 + \cos(2 \cdot 5^\circ)}{2} = \frac{1 + \cos(10^\circ)}{2} $
Подставим эти выражения в исходное:
$ \frac{1 + \cos(70^\circ)}{2} + \frac{1 + \cos(50^\circ)}{2} - \frac{1 + \cos(10^\circ)}{2} $
$ = \frac{(1 + \cos(70^\circ)) + (1 + \cos(50^\circ)) - (1 + \cos(10^\circ))}{2} $
$ = \frac{1 + \cos(70^\circ) + \cos(50^\circ) - \cos(10^\circ)}{2} $
Рассмотрим сумму $ \cos(70^\circ) + \cos(50^\circ) $. Применим формулу суммы косинусов $ \cos A + \cos B = 2\cos\frac{A+B}{2}\cos\frac{A-B}{2} $:
$ \cos(70^\circ) + \cos(50^\circ) = 2\cos\frac{70^\circ+50^\circ}{2}\cos\frac{70^\circ-50^\circ}{2} = 2\cos\frac{120^\circ}{2}\cos\frac{20^\circ}{2} = 2\cos(60^\circ)\cos(10^\circ) $
Так как $ \cos(60^\circ) = \frac{1}{2} $, получаем:
$ 2 \cdot \frac{1}{2} \cdot \cos(10^\circ) = \cos(10^\circ) $
Теперь подставим этот результат в числитель дроби:
$ 1 + (\cos(70^\circ) + \cos(50^\circ)) - \cos(10^\circ) = 1 + \cos(10^\circ) - \cos(10^\circ) = 1 $
Тогда все выражение равно:
$ \frac{1}{2} = 0.5 $
Ответ: 0.5
№22.24 (с. 74)
Условие. №22.24 (с. 74)
скриншот условия

22.24 a) $1 + \cos 6x = 2\sin^2 5x;$
б) $\cos^2 2x = \cos^2 4x;$
в) $\sin^2 \frac{x}{2} = \cos^2 \frac{7x}{2};$
г) $\sin^2 x + \sin 3x = 1.$
Решение 2. №22.24 (с. 74)



Решение 5. №22.24 (с. 74)



Решение 6. №22.24 (с. 74)
а) $1 + \cos 6x = 2\sin^2 5x$
Используем формулу косинуса двойного угла $1+\cos(2\alpha)=2\cos^2\alpha$ для левой части и формулу понижения степени $2\sin^2\beta=1-\cos(2\beta)$ для правой части. Однако, проще использовать формулу понижения степени для обеих частей уравнения, предварительно преобразовав левую часть.
Исходное уравнение: $1 + \cos 6x = 2\sin^2 5x$.
Воспользуемся формулой $2\sin^2\alpha = 1 - \cos(2\alpha)$. Для правой части, при $\alpha = 5x$, получаем $2\sin^2 5x = 1 - \cos(10x)$.
Подставим это в уравнение:
$1 + \cos 6x = 1 - \cos 10x$
$\cos 6x + \cos 10x = 0$
Теперь применим формулу суммы косинусов $\cos A + \cos B = 2\cos\frac{A+B}{2}\cos\frac{A-B}{2}$:
$2\cos\frac{10x+6x}{2}\cos\frac{10x-6x}{2} = 0$
$2\cos 8x \cos 2x = 0$
Это уравнение распадается на два:
1) $\cos 8x = 0$
$8x = \frac{\pi}{2} + \pi n$, где $n \in \mathbb{Z}$
$x = \frac{\pi}{16} + \frac{\pi n}{8}$, где $n \in \mathbb{Z}$
2) $\cos 2x = 0$
$2x = \frac{\pi}{2} + \pi k$, где $k \in \mathbb{Z}$
$x = \frac{\pi}{4} + \frac{\pi k}{2}$, где $k \in \mathbb{Z}$
Ответ: $x = \frac{\pi}{16} + \frac{\pi n}{8}, \quad x = \frac{\pi}{4} + \frac{\pi k}{2}$, где $n, k \in \mathbb{Z}$.
б) $\cos^2 2x = \cos^2 4x$
Применим формулу понижения степени $\cos^2\alpha = \frac{1+\cos(2\alpha)}{2}$ к обеим частям уравнения.
$\frac{1+\cos(2 \cdot 2x)}{2} = \frac{1+\cos(2 \cdot 4x)}{2}$
$\frac{1+\cos 4x}{2} = \frac{1+\cos 8x}{2}$
$1+\cos 4x = 1+\cos 8x$
$\cos 4x = \cos 8x$
$\cos 8x - \cos 4x = 0$
Используем формулу разности косинусов $\cos A - \cos B = -2\sin\frac{A+B}{2}\sin\frac{A-B}{2}$:
$-2\sin\frac{8x+4x}{2}\sin\frac{8x-4x}{2} = 0$
$-2\sin 6x \sin 2x = 0$
Это уравнение распадается на два:
1) $\sin 6x = 0$
$6x = \pi n$, где $n \in \mathbb{Z}$
$x = \frac{\pi n}{6}$, где $n \in \mathbb{Z}$
2) $\sin 2x = 0$
$2x = \pi k$, где $k \in \mathbb{Z}$
$x = \frac{\pi k}{2}$, где $k \in \mathbb{Z}$
Заметим, что вторая серия решений является подмножеством первой. Если $n=3k$, то $\frac{\pi n}{6} = \frac{3\pi k}{6} = \frac{\pi k}{2}$. Поэтому достаточно указать только первую серию решений.
Ответ: $x = \frac{\pi n}{6}$, где $n \in \mathbb{Z}$.
в) $\sin^2\frac{x}{2} = \cos^2\frac{7x}{2}$
Используем формулы понижения степени $\sin^2\alpha = \frac{1-\cos(2\alpha)}{2}$ и $\cos^2\alpha = \frac{1+\cos(2\alpha)}{2}$.
$\frac{1-\cos(2 \cdot \frac{x}{2})}{2} = \frac{1+\cos(2 \cdot \frac{7x}{2})}{2}$
$\frac{1-\cos x}{2} = \frac{1+\cos 7x}{2}$
$1-\cos x = 1+\cos 7x$
$-\cos x = \cos 7x$
$\cos 7x + \cos x = 0$
Применим формулу суммы косинусов:
$2\cos\frac{7x+x}{2}\cos\frac{7x-x}{2} = 0$
$2\cos 4x \cos 3x = 0$
Это уравнение распадается на два:
1) $\cos 4x = 0$
$4x = \frac{\pi}{2} + \pi n$, где $n \in \mathbb{Z}$
$x = \frac{\pi}{8} + \frac{\pi n}{4}$, где $n \in \mathbb{Z}$
2) $\cos 3x = 0$
$3x = \frac{\pi}{2} + \pi k$, где $k \in \mathbb{Z}$
$x = \frac{\pi}{6} + \frac{\pi k}{3}$, где $k \in \mathbb{Z}$
Эти две серии решений являются независимыми.
Ответ: $x = \frac{\pi}{8} + \frac{\pi n}{4}, \quad x = \frac{\pi}{6} + \frac{\pi k}{3}$, где $n, k \in \mathbb{Z}$.
г) $\sin^2 x + \sin 3x = 1$
Преобразуем уравнение, используя основное тригонометрическое тождество $\sin^2 x = 1 - \cos^2 x$.
$\sin 3x = 1 - \sin^2 x$
$\sin 3x = \cos^2 x$
Теперь используем формулу синуса тройного угла $\sin 3x = 3\sin x - 4\sin^3 x$ и основное тождество $\cos^2 x = 1 - \sin^2 x$.
$3\sin x - 4\sin^3 x = 1 - \sin^2 x$
Перенесем все члены в одну сторону, чтобы получить кубическое уравнение относительно $\sin x$.
$4\sin^3 x - \sin^2 x - 3\sin x + 1 = 0$
Сделаем замену $y = \sin x$. Уравнение примет вид:
$4y^3 - y^2 - 3y + 1 = 0$
Это кубическое уравнение. Проверка на наличие рациональных корней (вида $p/q$) показывает, что их нет. Уравнение имеет три действительных иррациональных корня, которые можно найти с помощью формулы Кардано или численными методами. Все три корня находятся в интервале $[-1, 1]$, поэтому для каждого корня $y_i$ существует бесконечное множество решений для $x$ вида $x = (-1)^k \arcsin(y_i) + \pi k$.
Поскольку нахождение точных значений корней этого кубического уравнения выходит за рамки стандартной школьной программы, решение обычно оставляют в такой форме.
Ответ: $x$ являются решениями уравнения $\sin 3x = \cos^2 x$, которые сводятся к нахождению корней кубического уравнения $4y^3 - y^2 - 3y + 1 = 0$, где $y = \sin x$.
Помогло решение? Оставьте отзыв в комментариях ниже.