Страница 69, часть 2 - гдз по алгебре 10-11 класс задачник часть 1, 2 Мордкович, Семенов


Авторы: Мордкович А. Г., Семенов П. В., Денищева Л. О., Корешкова Т. А., Мишустина Т. Н., Тульчинская Е. Е.
Тип: Задачник
Издательство: Мнемозина
Год издания: 2019 - 2025
Уровень обучения: базовый
Часть: 2
Цвет обложки:
ISBN: 978-5-346-04509-0 (общ.), 978-5-346-04510-6 (ч. 1), 978-5-346-04511-3 (ч. 2)
Рекомендовано Министерством образования и науки Российской Федерации
Математика: алгебра и начала математического анализа, геометрия
Популярные ГДЗ в 10 классе
ч. 2. Cтраница 69

№21.31 (с. 69)
Условие. №21.31 (с. 69)
скриншот условия

21.31 a) $sin 11^\circ 15^\prime cos 11^\circ 15^\prime cos 22^\circ 30^\prime cos 45^\circ$;
б) $sin \frac{\pi}{48} cos \frac{\pi}{48} cos \frac{\pi}{24} cos \frac{\pi}{12}$.
Решение 1. №21.31 (с. 69)

Решение 2. №21.31 (с. 69)

Решение 3. №21.31 (с. 69)

Решение 5. №21.31 (с. 69)

Решение 6. №21.31 (с. 69)
а) Для решения данной задачи воспользуемся формулой синуса двойного угла: $ \sin(2\alpha) = 2 \sin\alpha \cos\alpha $, из которой следует, что $ \sin\alpha \cos\alpha = \frac{1}{2} \sin(2\alpha) $.
Исходное выражение: $ \sin 11^\circ 15' \cos 11^\circ 15' \cos 22^\circ 30' \cos 45^\circ $.
Сгруппируем первые два множителя и применим к ним формулу:
$ \sin 11^\circ 15' \cos 11^\circ 15' = \frac{1}{2} \sin(2 \cdot 11^\circ 15') = \frac{1}{2} \sin(22^\circ 30') $.
Подставим это обратно в выражение:
$ (\frac{1}{2} \sin 22^\circ 30') \cos 22^\circ 30' \cos 45^\circ = \frac{1}{2} (\sin 22^\circ 30' \cos 22^\circ 30') \cos 45^\circ $.
Снова применим ту же формулу для выражения в скобках:
$ \sin 22^\circ 30' \cos 22^\circ 30' = \frac{1}{2} \sin(2 \cdot 22^\circ 30') = \frac{1}{2} \sin(45^\circ) $.
Подставим результат в наше выражение:
$ \frac{1}{2} \cdot (\frac{1}{2} \sin 45^\circ) \cos 45^\circ = \frac{1}{4} \sin 45^\circ \cos 45^\circ $.
И еще раз применим формулу:
$ \sin 45^\circ \cos 45^\circ = \frac{1}{2} \sin(2 \cdot 45^\circ) = \frac{1}{2} \sin(90^\circ) $.
Теперь наше выражение выглядит так:
$ \frac{1}{4} \cdot (\frac{1}{2} \sin 90^\circ) = \frac{1}{8} \sin 90^\circ $.
Так как $ \sin 90^\circ = 1 $, получаем конечный результат:
$ \frac{1}{8} \cdot 1 = \frac{1}{8} $.
Ответ: $ \frac{1}{8} $.
б) Решение аналогично пункту а). Используем ту же формулу: $ \sin\alpha \cos\alpha = \frac{1}{2} \sin(2\alpha) $.
Исходное выражение: $ \sin \frac{\pi}{48} \cos \frac{\pi}{48} \cos \frac{\pi}{24} \cos \frac{\pi}{12} $.
Применим формулу к первым двум множителям:
$ \sin \frac{\pi}{48} \cos \frac{\pi}{48} = \frac{1}{2} \sin(2 \cdot \frac{\pi}{48}) = \frac{1}{2} \sin(\frac{\pi}{24}) $.
Подставим это обратно в выражение:
$ (\frac{1}{2} \sin \frac{\pi}{24}) \cos \frac{\pi}{24} \cos \frac{\pi}{12} = \frac{1}{2} (\sin \frac{\pi}{24} \cos \frac{\pi}{24}) \cos \frac{\pi}{12} $.
Снова применим формулу к выражению в скобках:
$ \sin \frac{\pi}{24} \cos \frac{\pi}{24} = \frac{1}{2} \sin(2 \cdot \frac{\pi}{24}) = \frac{1}{2} \sin(\frac{\pi}{12}) $.
Подставим результат в наше выражение:
$ \frac{1}{2} \cdot (\frac{1}{2} \sin \frac{\pi}{12}) \cos \frac{\pi}{12} = \frac{1}{4} \sin \frac{\pi}{12} \cos \frac{\pi}{12} $.
Применим формулу в последний раз:
$ \sin \frac{\pi}{12} \cos \frac{\pi}{12} = \frac{1}{2} \sin(2 \cdot \frac{\pi}{12}) = \frac{1}{2} \sin(\frac{\pi}{6}) $.
Теперь наше выражение выглядит так:
$ \frac{1}{4} \cdot (\frac{1}{2} \sin \frac{\pi}{6}) = \frac{1}{8} \sin \frac{\pi}{6} $.
Так как $ \sin \frac{\pi}{6} = \frac{1}{2} $, получаем конечный результат:
$ \frac{1}{8} \cdot \frac{1}{2} = \frac{1}{16} $.
Ответ: $ \frac{1}{16} $.
№21.36 (с. 69)
Условие. №21.36 (с. 69)
скриншот условия

21.36 Упростите выражение $\sqrt{1 - \cos 2t} + \sqrt{1 + \cos 2t}$, если:
а) $t \in [\frac{\pi}{2}; \pi];$
б) $t \in [\frac{3\pi}{2}; 2\pi];$
в) $t \in [0; \frac{\pi}{2}];$
г) $t \in [\pi; \frac{3\pi}{2}].$
Решение 1. №21.36 (с. 69)

Решение 2. №21.36 (с. 69)

Решение 3. №21.36 (с. 69)

Решение 5. №21.36 (с. 69)


Решение 6. №21.36 (с. 69)
Для упрощения данного выражения воспользуемся тригонометрическими формулами понижения степени (которые являются следствиями формул двойного угла для косинуса):
$1 - \cos 2t = 2 \sin^2 t$
$1 + \cos 2t = 2 \cos^2 t$
Подставим эти тождества в исходное выражение:
$\sqrt{1 - \cos 2t} + \sqrt{1 + \cos 2t} = \sqrt{2 \sin^2 t} + \sqrt{2 \cos^2 t}$
Используя свойство корня $\sqrt{a^2} = |a|$, получаем:
$\sqrt{2} \sqrt{\sin^2 t} + \sqrt{2} \sqrt{\cos^2 t} = \sqrt{2} |\sin t| + \sqrt{2} |\cos t| = \sqrt{2} (|\sin t| + |\cos t|)$
Теперь необходимо раскрыть модули для каждого из заданных промежутков, определив знаки синуса и косинуса в соответствующей координатной четверти.
а) если $t \in [\frac{\pi}{2}; \pi]$ (вторая четверть)
В этом промежутке $\sin t \ge 0$ и $\cos t \le 0$.
Следовательно, $|\sin t| = \sin t$ и $|\cos t| = -\cos t$.
Выражение принимает вид:
$\sqrt{2} (\sin t + (-\cos t)) = \sqrt{2}(\sin t - \cos t)$
Ответ: $\sqrt{2}(\sin t - \cos t)$
б) если $t \in [\frac{3\pi}{2}; 2\pi]$ (четвертая четверть)
В этом промежутке $\sin t \le 0$ и $\cos t \ge 0$.
Следовательно, $|\sin t| = -\sin t$ и $|\cos t| = \cos t$.
Выражение принимает вид:
$\sqrt{2} (-\sin t + \cos t) = \sqrt{2}(\cos t - \sin t)$
Ответ: $\sqrt{2}(\cos t - \sin t)$
в) если $t \in [0; \frac{\pi}{2}]$ (первая четверть)
В этом промежутке $\sin t \ge 0$ и $\cos t \ge 0$.
Следовательно, $|\sin t| = \sin t$ и $|\cos t| = \cos t$.
Выражение принимает вид:
$\sqrt{2} (\sin t + \cos t)$
Ответ: $\sqrt{2}(\sin t + \cos t)$
г) если $t \in [\pi; \frac{3\pi}{2}]$ (третья четверть)
В этом промежутке $\sin t \le 0$ и $\cos t \le 0$.
Следовательно, $|\sin t| = -\sin t$ и $|\cos t| = -\cos t$.
Выражение принимает вид:
$\sqrt{2} (-\sin t - \cos t) = -\sqrt{2}(\sin t + \cos t)$
Ответ: $-\sqrt{2}(\sin t + \cos t)$
№21.32 (с. 69)
Условие. №21.32 (с. 69)
скриншот условия

21.32 a) $\frac{1 + \cos 40^\circ + \cos 80^\circ}{\sin 80^\circ + \sin 40^\circ} \cdot \tan 40^\circ;$
б) $\frac{1 - \cos 25^\circ + \cos 50^\circ}{\sin 50^\circ - \sin 25^\circ} - \tan 65^\circ.$
Решение 1. №21.32 (с. 69)

Решение 2. №21.32 (с. 69)

Решение 3. №21.32 (с. 69)

Решение 5. №21.32 (с. 69)

Решение 6. №21.32 (с. 69)
а)
Рассмотрим выражение $\frac{1 + \cos 40^\circ + \cos 80^\circ}{\sin 80^\circ + \sin 40^\circ} \cdot \text{tg } 40^\circ$.
Для упрощения дроби преобразуем её числитель и знаменатель, используя тригонометрические формулы двойного угла.
Преобразуем числитель: $1 + \cos 40^\circ + \cos 80^\circ$.
Используем формулу косинуса двойного угла $\cos 2\alpha = 2\cos^2\alpha - 1$. Для $\cos 80^\circ$ имеем $\cos 80^\circ = \cos(2 \cdot 40^\circ) = 2\cos^2 40^\circ - 1$.
Подставим это в числитель:
$1 + \cos 40^\circ + (2\cos^2 40^\circ - 1) = \cos 40^\circ + 2\cos^2 40^\circ$.
Вынесем общий множитель $\cos 40^\circ$ за скобки:
$\cos 40^\circ(1 + 2\cos 40^\circ)$.
Теперь преобразуем знаменатель: $\sin 80^\circ + \sin 40^\circ$.
Используем формулу синуса двойного угла $\sin 2\alpha = 2\sin\alpha\cos\alpha$. Для $\sin 80^\circ$ имеем $\sin 80^\circ = \sin(2 \cdot 40^\circ) = 2\sin 40^\circ \cos 40^\circ$.
Подставим это в знаменатель:
$2\sin 40^\circ \cos 40^\circ + \sin 40^\circ$.
Вынесем общий множитель $\sin 40^\circ$ за скобки:
$\sin 40^\circ(2\cos 40^\circ + 1)$.
Теперь вернемся к исходной дроби и подставим преобразованные числитель и знаменатель:
$\frac{\cos 40^\circ(1 + 2\cos 40^\circ)}{\sin 40^\circ(2\cos 40^\circ + 1)} = \frac{\cos 40^\circ}{\sin 40^\circ} = \text{ctg } 40^\circ$.
Таким образом, всё выражение можно переписать как:
$\text{ctg } 40^\circ \cdot \text{tg } 40^\circ$.
На основании основного тригонометрического тождества $\text{ctg }\alpha \cdot \text{tg }\alpha = 1$, получаем:
$\text{ctg } 40^\circ \cdot \text{tg } 40^\circ = 1$.
Ответ: $1$.
б)
Рассмотрим выражение $\frac{1 - \cos 25^\circ + \cos 50^\circ}{\sin 50^\circ - \sin 25^\circ} - \text{tg } 65^\circ$.
Упростим дробь, используя тот же подход, что и в пункте а).
Преобразуем числитель: $1 - \cos 25^\circ + \cos 50^\circ$.
Используем формулу косинуса двойного угла $\cos 2\alpha = 2\cos^2\alpha - 1$. Для $\cos 50^\circ$ имеем $\cos 50^\circ = \cos(2 \cdot 25^\circ) = 2\cos^2 25^\circ - 1$.
Подставим это в числитель:
$1 - \cos 25^\circ + (2\cos^2 25^\circ - 1) = -\cos 25^\circ + 2\cos^2 25^\circ$.
Вынесем общий множитель $\cos 25^\circ$ за скобки:
$\cos 25^\circ(2\cos 25^\circ - 1)$.
Теперь преобразуем знаменатель: $\sin 50^\circ - \sin 25^\circ$.
Используем формулу синуса двойного угла $\sin 2\alpha = 2\sin\alpha\cos\alpha$. Для $\sin 50^\circ$ имеем $\sin 50^\circ = \sin(2 \cdot 25^\circ) = 2\sin 25^\circ \cos 25^\circ$.
Подставим это в знаменатель:
$2\sin 25^\circ \cos 25^\circ - \sin 25^\circ$.
Вынесем общий множитель $\sin 25^\circ$ за скобки:
$\sin 25^\circ(2\cos 25^\circ - 1)$.
Теперь подставим преобразованные выражения в дробь:
$\frac{\cos 25^\circ(2\cos 25^\circ - 1)}{\sin 25^\circ(2\cos 25^\circ - 1)} = \frac{\cos 25^\circ}{\sin 25^\circ} = \text{ctg } 25^\circ$.
Выражение принимает вид:
$\text{ctg } 25^\circ - \text{tg } 65^\circ$.
Используем формулу приведения $\text{tg}(90^\circ - \alpha) = \text{ctg }\alpha$ для преобразования $\text{tg } 65^\circ$:
$\text{tg } 65^\circ = \text{tg}(90^\circ - 25^\circ) = \text{ctg } 25^\circ$.
Подставим полученное значение в выражение:
$\text{ctg } 25^\circ - \text{ctg } 25^\circ = 0$.
Ответ: $0$.
№21.33 (с. 69)
Условие. №21.33 (с. 69)
скриншот условия

Докажите тождество:
21.33 а) $ \frac{1 - \cos 2t + \sin 2t}{1 + \sin 2t + \cos 2t} = \text{tg } t; $
б) $ \frac{1 + \cos 2t - \sin 2t}{1 + \sin 2t + \cos 2t} = \text{tg}\left(\frac{\pi}{4} - t\right). $
Решение 1. №21.33 (с. 69)

Решение 2. №21.33 (с. 69)

Решение 3. №21.33 (с. 69)

Решение 5. №21.33 (с. 69)

Решение 6. №21.33 (с. 69)
а)
Докажем тождество: $ \frac{1 - \cos 2t + \sin 2t}{1 + \sin 2t + \cos 2t} = \text{tg } t $.
Преобразуем левую часть тождества. Для этого воспользуемся формулами двойного угла:
- $ \sin 2t = 2 \sin t \cos t $
- $ \cos 2t = \cos^2 t - \sin^2 t $
А также формулами, которые являются следствиями формулы косинуса двойного угла:
- $ 1 - \cos 2t = 2 \sin^2 t $
- $ 1 + \cos 2t = 2 \cos^2 t $
Подставим эти выражения в числитель и знаменатель дроби, сгруппировав слагаемые:
Числитель: $ (1 - \cos 2t) + \sin 2t = 2 \sin^2 t + 2 \sin t \cos t $.
Знаменатель: $ (1 + \cos 2t) + \sin 2t = 2 \cos^2 t + 2 \sin t \cos t $.
Тогда левая часть тождества принимает вид:
$ \frac{2 \sin^2 t + 2 \sin t \cos t}{2 \cos^2 t + 2 \sin t \cos t} $
Вынесем общие множители за скобки в числителе и знаменателе:
$ \frac{2 \sin t (\sin t + \cos t)}{2 \cos t (\cos t + \sin t)} $
Сократим дробь на общий множитель $ 2(\sin t + \cos t) $, при условии, что он не равен нулю (то есть, на области определения выражения):
$ \frac{\sin t}{\cos t} = \text{tg } t $
Мы получили, что левая часть тождества равна правой. Тождество доказано.
Ответ: Тождество доказано.
б)
Докажем тождество: $ \frac{1 + \cos 2t - \sin 2t}{1 + \sin 2t + \cos 2t} = \text{tg}(\frac{\pi}{4} - t) $.
Преобразуем левую часть тождества, используя те же формулы двойного угла, что и в пункте а).
Знаменатель дроби такой же, как в пункте а), и его преобразование дает:
$ 1 + \sin 2t + \cos 2t = (1 + \cos 2t) + \sin 2t = 2 \cos^2 t + 2 \sin t \cos t = 2 \cos t (\cos t + \sin t) $.
Преобразуем числитель:
$ 1 + \cos 2t - \sin 2t = (1 + \cos 2t) - \sin 2t = 2 \cos^2 t - 2 \sin t \cos t = 2 \cos t (\cos t - \sin t) $.
Подставим преобразованные числитель и знаменатель в левую часть тождества:
$ \frac{2 \cos t (\cos t - \sin t)}{2 \cos t (\cos t + \sin t)} $
Сократим дробь на общий множитель $ 2 \cos t $ (при условии $ \cos t \neq 0 $):
$ \frac{\cos t - \sin t}{\cos t + \sin t} $
Чтобы привести это выражение к тангенсу, разделим числитель и знаменатель на $ \cos t $:
$ \frac{\frac{\cos t}{\cos t} - \frac{\sin t}{\cos t}}{\frac{\cos t}{\cos t} + \frac{\sin t}{\cos t}} = \frac{1 - \text{tg } t}{1 + \text{tg } t} $
Теперь преобразуем правую часть тождества, используя формулу тангенса разности: $ \text{tg}(\alpha - \beta) = \frac{\text{tg } \alpha - \text{tg } \beta}{1 + \text{tg } \alpha \text{tg } \beta} $.
$ \text{tg}(\frac{\pi}{4} - t) = \frac{\text{tg}(\frac{\pi}{4}) - \text{tg } t}{1 + \text{tg}(\frac{\pi}{4}) \cdot \text{tg } t} $
Поскольку $ \text{tg}(\frac{\pi}{4}) = 1 $, получаем:
$ \frac{1 - \text{tg } t}{1 + 1 \cdot \text{tg } t} = \frac{1 - \text{tg } t}{1 + \text{tg } t} $
Мы получили, что левая и правая части тождества равны одному и тому же выражению $ \frac{1 - \text{tg } t}{1 + \text{tg } t} $. Следовательно, тождество доказано.
Ответ: Тождество доказано.
№21.29 (с. 69)
Условие. №21.29 (с. 69)
скриншот условия

21.29 а) $\sin^2 \left(2x - \frac{\pi}{6}\right) = \frac{3}{4};$
б) $\cos^2 \left(x + \frac{\pi}{3}\right) = 1;$
в) $\sin^2 \left(x + \frac{\pi}{2}\right) = \frac{1}{2};$
г) $\cos^2 \left(3x - \frac{\pi}{4}\right) = \frac{3}{4}.$
Решение 1. №21.29 (с. 69)

Решение 2. №21.29 (с. 69)


Решение 3. №21.29 (с. 69)

Решение 5. №21.29 (с. 69)



Решение 6. №21.29 (с. 69)
а) $ \sin^2\left(2x - \frac{\pi}{6}\right) = \frac{3}{4} $
Для решения данного уравнения воспользуемся формулой понижения степени $ \sin^2\alpha = \frac{1-\cos(2\alpha)}{2} $.
$ \frac{1 - \cos\left(2\left(2x - \frac{\pi}{6}\right)\right)}{2} = \frac{3}{4} $
Умножим обе части на 2:
$ 1 - \cos\left(4x - \frac{\pi}{3}\right) = \frac{3}{2} $
Выразим косинус:
$ \cos\left(4x - \frac{\pi}{3}\right) = 1 - \frac{3}{2} = -\frac{1}{2} $
Общее решение для уравнения $ \cos t = a $ имеет вид $ t = \pm\arccos(a) + 2\pi n $, где $ n \in \mathbb{Z} $.
В нашем случае $ t = 4x - \frac{\pi}{3} $ и $ a = -\frac{1}{2} $.
$ 4x - \frac{\pi}{3} = \pm\arccos\left(-\frac{1}{2}\right) + 2\pi n $
Так как $ \arccos\left(-\frac{1}{2}\right) = \frac{2\pi}{3} $, получаем:
$ 4x - \frac{\pi}{3} = \pm\frac{2\pi}{3} + 2\pi n $
Рассмотрим два случая:
1) $ 4x - \frac{\pi}{3} = \frac{2\pi}{3} + 2\pi n $
$ 4x = \frac{2\pi}{3} + \frac{\pi}{3} + 2\pi n $
$ 4x = \pi + 2\pi n $
$ x = \frac{\pi}{4} + \frac{\pi n}{2}, n \in \mathbb{Z} $
2) $ 4x - \frac{\pi}{3} = -\frac{2\pi}{3} + 2\pi n $
$ 4x = -\frac{2\pi}{3} + \frac{\pi}{3} + 2\pi n $
$ 4x = -\frac{\pi}{3} + 2\pi n $
$ x = -\frac{\pi}{12} + \frac{\pi n}{2}, n \in \mathbb{Z} $
Ответ: $ x = \frac{\pi}{4} + \frac{\pi n}{2}; x = -\frac{\pi}{12} + \frac{\pi n}{2}, n \in \mathbb{Z} $.
б) $ \cos^2\left(x + \frac{\pi}{3}\right) = 1 $
Данное уравнение равносильно совокупности двух уравнений:
$ \cos\left(x + \frac{\pi}{3}\right) = 1 $ или $ \cos\left(x + \frac{\pi}{3}\right) = -1 $
Это можно объединить в одно уравнение. Косинус равен $ \pm 1 $ в точках, кратных $ \pi $:
$ x + \frac{\pi}{3} = \pi n, n \in \mathbb{Z} $
Выразим $ x $:
$ x = -\frac{\pi}{3} + \pi n, n \in \mathbb{Z} $
Ответ: $ x = -\frac{\pi}{3} + \pi n, n \in \mathbb{Z} $.
в) $ \sin^2\left(x + \frac{\pi}{2}\right) = \frac{1}{2} $
Используем формулу приведения $ \sin(x + \frac{\pi}{2}) = \cos x $. Уравнение примет вид:
$ (\cos x)^2 = \frac{1}{2} $
$ \cos^2 x = \frac{1}{2} $
Применим формулу понижения степени $ \cos^2\alpha = \frac{1+\cos(2\alpha)}{2} $:
$ \frac{1+\cos(2x)}{2} = \frac{1}{2} $
$ 1+\cos(2x) = 1 $
$ \cos(2x) = 0 $
Это частный случай тригонометрического уравнения, решение которого:
$ 2x = \frac{\pi}{2} + \pi n, n \in \mathbb{Z} $
Разделим обе части на 2:
$ x = \frac{\pi}{4} + \frac{\pi n}{2}, n \in \mathbb{Z} $
Ответ: $ x = \frac{\pi}{4} + \frac{\pi n}{2}, n \in \mathbb{Z} $.
г) $ \cos^2\left(3x - \frac{\pi}{4}\right) = \frac{3}{4} $
Используем формулу понижения степени $ \cos^2\alpha = \frac{1+\cos(2\alpha)}{2} $:
$ \frac{1+\cos\left(2\left(3x - \frac{\pi}{4}\right)\right)}{2} = \frac{3}{4} $
$ 1+\cos\left(6x - \frac{\pi}{2}\right) = \frac{3}{2} $
$ \cos\left(6x - \frac{\pi}{2}\right) = \frac{3}{2} - 1 = \frac{1}{2} $
Применим формулу приведения $ \cos(\alpha - \frac{\pi}{2}) = \sin\alpha $:
$ \sin(6x) = \frac{1}{2} $
Общее решение для уравнения $ \sin t = a $ имеет вид $ t = (-1)^n \arcsin(a) + \pi n $, где $ n \in \mathbb{Z} $.
В нашем случае $ t = 6x $ и $ a = \frac{1}{2} $.
$ 6x = (-1)^n \arcsin\left(\frac{1}{2}\right) + \pi n $
Так как $ \arcsin\left(\frac{1}{2}\right) = \frac{\pi}{6} $, получаем:
$ 6x = (-1)^n \frac{\pi}{6} + \pi n $
Разделим обе части на 6:
$ x = (-1)^n \frac{\pi}{36} + \frac{\pi n}{6}, n \in \mathbb{Z} $
Ответ: $ x = (-1)^n \frac{\pi}{36} + \frac{\pi n}{6}, n \in \mathbb{Z} $.
№21.34 (с. 69)
Условие. №21.34 (с. 69)
скриншот условия

21.34 a) $cos^2 t - cos^2 (\frac{\pi}{4} - t) = \frac{1}{\sqrt{2}} \sin (\frac{\pi}{4} - 2t);$
б) $sin^2 t - sin^2 (\frac{\pi}{4} - t) = \frac{1}{\sqrt{2}} \sin (2t - \frac{\pi}{4}).$
Решение 1. №21.34 (с. 69)

Решение 2. №21.34 (с. 69)

Решение 3. №21.34 (с. 69)

Решение 5. №21.34 (с. 69)

Решение 6. №21.34 (с. 69)
а)
Требуется доказать тождество: $cos^2 t - cos^2(\frac{\pi}{4} - t) = \frac{1}{\sqrt{2}} \sin(\frac{\pi}{4} - 2t)$.
Для доказательства преобразуем левую и правую части равенства к одному и тому же виду.
1. Преобразуем левую часть, используя формулу понижения степени $cos^2 \alpha = \frac{1 + cos(2\alpha)}{2}$.
$cos^2 t - cos^2(\frac{\pi}{4} - t) = \frac{1 + cos(2t)}{2} - \frac{1 + cos(2(\frac{\pi}{4} - t))}{2}$
Раскроем скобки в аргументе второго косинуса:
$\frac{1 + cos(2t)}{2} - \frac{1 + cos(\frac{\pi}{2} - 2t)}{2} = \frac{1 + cos(2t) - 1 - cos(\frac{\pi}{2} - 2t)}{2} = \frac{cos(2t) - cos(\frac{\pi}{2} - 2t)}{2}$
Используем формулу приведения $cos(\frac{\pi}{2} - \alpha) = sin(\alpha)$:
$\frac{cos(2t) - sin(2t)}{2}$
2. Теперь преобразуем правую часть, используя формулу синуса разности $sin(\alpha - \beta) = sin(\alpha)cos(\beta) - cos(\alpha)sin(\beta)$.
$\frac{1}{\sqrt{2}} \sin(\frac{\pi}{4} - 2t) = \frac{1}{\sqrt{2}} (\sin(\frac{\pi}{4})cos(2t) - cos(\frac{\pi}{4})\sin(2t))$
Подставим значения $\sin(\frac{\pi}{4}) = \frac{1}{\sqrt{2}}$ и $cos(\frac{\pi}{4}) = \frac{1}{\sqrt{2}}$:
$\frac{1}{\sqrt{2}} (\frac{1}{\sqrt{2}}cos(2t) - \frac{1}{\sqrt{2}}\sin(2t)) = \frac{1}{\sqrt{2}} \cdot \frac{1}{\sqrt{2}} (cos(2t) - \sin(2t)) = \frac{1}{2}(cos(2t) - \sin(2t))$
3. Сравниваем результаты преобразований левой и правой частей:
$\frac{cos(2t) - sin(2t)}{2} = \frac{1}{2}(cos(2t) - \sin(2t))$
Так как левая и правая части равны, тождество доказано.
Ответ: Тождество доказано.
б)
Требуется доказать тождество: $\sin^2 t - \sin^2(\frac{\pi}{4} - t) = \frac{1}{\sqrt{2}} \sin(2t - \frac{\pi}{4})$.
Для доказательства также преобразуем обе части равенства.
1. Преобразуем левую часть, используя формулу понижения степени $\sin^2 \alpha = \frac{1 - cos(2\alpha)}{2}$.
$\sin^2 t - \sin^2(\frac{\pi}{4} - t) = \frac{1 - cos(2t)}{2} - \frac{1 - cos(2(\frac{\pi}{4} - t))}{2}$
$\frac{1 - cos(2t)}{2} - \frac{1 - cos(\frac{\pi}{2} - 2t)}{2} = \frac{1 - cos(2t) - 1 + cos(\frac{\pi}{2} - 2t)}{2} = \frac{cos(\frac{\pi}{2} - 2t) - cos(2t)}{2}$
Используем формулу приведения $cos(\frac{\pi}{2} - \alpha) = sin(\alpha)$:
$\frac{\sin(2t) - cos(2t)}{2}$
2. Теперь преобразуем правую часть, используя формулу синуса разности $sin(\alpha - \beta) = sin(\alpha)cos(\beta) - cos(\alpha)sin(\beta)$.
$\frac{1}{\sqrt{2}} \sin(2t - \frac{\pi}{4}) = \frac{1}{\sqrt{2}} (\sin(2t)cos(\frac{\pi}{4}) - cos(2t)\sin(\frac{\pi}{4}))$
Подставим значения $\sin(\frac{\pi}{4}) = \frac{1}{\sqrt{2}}$ и $cos(\frac{\pi}{4}) = \frac{1}{\sqrt{2}}$:
$\frac{1}{\sqrt{2}} (\sin(2t)\frac{1}{\sqrt{2}} - cos(2t)\frac{1}{\sqrt{2}}) = \frac{1}{\sqrt{2}} \cdot \frac{1}{\sqrt{2}} (\sin(2t) - cos(2t)) = \frac{1}{2}(\sin(2t) - cos(2t))$
3. Сравниваем результаты:
$\frac{\sin(2t) - cos(2t)}{2} = \frac{1}{2}(\sin(2t) - cos(2t))$
Левая и правая части тождественно равны.
Ответ: Тождество доказано.
№21.30 (с. 69)
Условие. №21.30 (с. 69)
скриншот условия

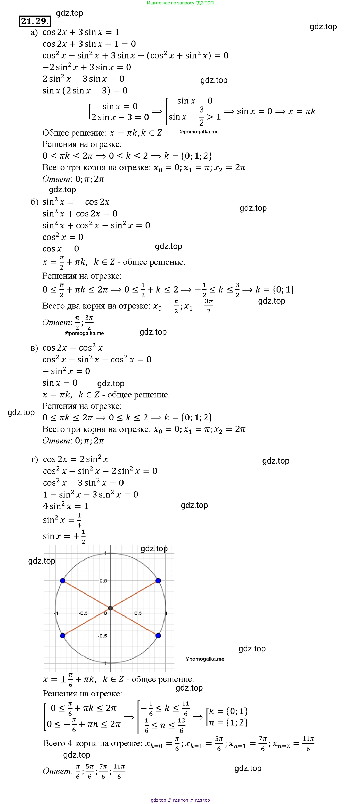
21.30 Найдите корни уравнения, принадлежащие отрезку $[0; 2\pi]$:
а) $\cos 2x + 3 \sin x = 1$;
б) $\sin^2 x = -\cos 2x$;
в) $\cos 2x = \cos^2 x$;
г) $\cos 2x = 2 \sin^2 x$.
Решение 1. №21.30 (с. 69)

Решение 2. №21.30 (с. 69)


Решение 3. №21.30 (с. 69)

Решение 5. №21.30 (с. 69)




Решение 6. №21.30 (с. 69)
а) Решим уравнение $ \cos{2x} + 3\sin{x} = 1 $.
Для приведения уравнения к одной тригонометрической функции используем формулу косинуса двойного угла: $ \cos{2x} = 1 - 2\sin^2{x} $. Подставим это выражение в исходное уравнение:
$ (1 - 2\sin^2{x}) + 3\sin{x} = 1 $
Перенесем все члены уравнения в левую часть и приведем подобные слагаемые:
$ 1 - 2\sin^2{x} + 3\sin{x} - 1 = 0 $
$ -2\sin^2{x} + 3\sin{x} = 0 $
Вынесем общий множитель $ \sin{x} $ за скобки:
$ \sin{x} (3 - 2\sin{x}) = 0 $
Это уравнение распадается на два случая:
1) $ \sin{x} = 0 $. Общее решение этого уравнения имеет вид $ x = n\pi $, где $ n \in \mathbb{Z} $.
2) $ 3 - 2\sin{x} = 0 $, откуда $ \sin{x} = \frac{3}{2} $. Данное уравнение не имеет действительных корней, так как область значений функции синус $ [-1; 1] $, а $ \frac{3}{2} > 1 $.
Теперь выберем корни из серии $ x = n\pi $, которые принадлежат отрезку $ [0; 2\pi] $.
Для этого решим двойное неравенство: $ 0 \le n\pi \le 2\pi $. Разделив все части на $ \pi $, получим $ 0 \le n \le 2 $.
Так как $ n $ — целое число, то подходящие значения: $ n=0, n=1, n=2 $.
При $ n=0 \implies x = 0 $.
При $ n=1 \implies x = \pi $.
При $ n=2 \implies x = 2\pi $.
Ответ: $0; \pi; 2\pi$.
б) Решим уравнение $ \sin^2{x} = -\cos{2x} $.
Используем формулу косинуса двойного угла $ \cos{2x} = \cos^2{x} - \sin^2{x} $:
$ \sin^2{x} = -(\cos^2{x} - \sin^2{x}) $
$ \sin^2{x} = -\cos^2{x} + \sin^2{x} $
Перенесем все члены в одну сторону:
$ \sin^2{x} - \sin^2{x} + \cos^2{x} = 0 $
$ \cos^2{x} = 0 $, что равносильно $ \cos{x} = 0 $.
Общее решение этого уравнения: $ x = \frac{\pi}{2} + n\pi $, где $ n \in \mathbb{Z} $.
Найдем корни, принадлежащие отрезку $ [0; 2\pi] $. Решим неравенство:
$ 0 \le \frac{\pi}{2} + n\pi \le 2\pi $
Разделим на $ \pi $: $ 0 \le \frac{1}{2} + n \le 2 $.
Вычтем $ \frac{1}{2} $ из всех частей: $ -\frac{1}{2} \le n \le 1.5 $.
Целые значения $ n $, удовлетворяющие этому неравенству: $ n=0 $ и $ n=1 $.
При $ n=0 \implies x = \frac{\pi}{2} $.
При $ n=1 \implies x = \frac{\pi}{2} + \pi = \frac{3\pi}{2} $.
Ответ: $\frac{\pi}{2}; \frac{3\pi}{2}$.
в) Решим уравнение $ \cos{2x} = \cos^2{x} $.
Воспользуемся формулой косинуса двойного угла $ \cos{2x} = 2\cos^2{x} - 1 $:
$ 2\cos^2{x} - 1 = \cos^2{x} $
Перенесем все члены с переменной в левую часть, а константы — в правую:
$ 2\cos^2{x} - \cos^2{x} = 1 $
$ \cos^2{x} = 1 $
Это уравнение распадается на два:
1) $ \cos{x} = 1 $, откуда $ x = 2n\pi, n \in \mathbb{Z} $.
2) $ \cos{x} = -1 $, откуда $ x = \pi + 2k\pi, k \in \mathbb{Z} $.
Объединив эти две серии решений, получаем $ x = m\pi $, где $ m \in \mathbb{Z} $.
Найдем корни, принадлежащие отрезку $ [0; 2\pi] $.
Решим неравенство $ 0 \le m\pi \le 2\pi $, что дает $ 0 \le m \le 2 $.
Целые значения $ m $: $ 0, 1, 2 $.
При $ m=0 \implies x = 0 $.
При $ m=1 \implies x = \pi $.
При $ m=2 \implies x = 2\pi $.
Ответ: $0; \pi; 2\pi$.
г) Решим уравнение $ \cos{2x} = 2\sin^2{x} $.
Снова используем формулу $ \cos{2x} = 1 - 2\sin^2{x} $:
$ 1 - 2\sin^2{x} = 2\sin^2{x} $
Перенесем члены с $ \sin^2{x} $ в правую часть:
$ 1 = 4\sin^2{x} $
$ \sin^2{x} = \frac{1}{4} $
Отсюда получаем два уравнения:
1) $ \sin{x} = \frac{1}{2} $.
2) $ \sin{x} = -\frac{1}{2} $.
Найдем корни для каждого случая на отрезке $ [0; 2\pi] $.
Для $ \sin{x} = \frac{1}{2} $ корни на тригонометрической окружности находятся в первой и второй четвертях: $ x = \frac{\pi}{6} $ и $ x = \pi - \frac{\pi}{6} = \frac{5\pi}{6} $.
Для $ \sin{x} = -\frac{1}{2} $ корни находятся в третьей и четвертой четвертях: $ x = \pi + \frac{\pi}{6} = \frac{7\pi}{6} $ и $ x = 2\pi - \frac{\pi}{6} = \frac{11\pi}{6} $.
Все четыре найденных значения принадлежат отрезку $ [0; 2\pi] $.
Ответ: $\frac{\pi}{6}; \frac{5\pi}{6}; \frac{7\pi}{6}; \frac{11\pi}{6}$.
№21.35 (с. 69)
Условие. №21.35 (с. 69)
скриншот условия

21.35 Найдите наибольшее и наименьшее значения функции $y = f(x)$, если:
a) $f(x) = 2 \cos 2x + \sin^2 x$;
б) $f(x) = 2 \sin^2 3x - \cos 6x$.
Решение 1. №21.35 (с. 69)

Решение 2. №21.35 (с. 69)

Решение 3. №21.35 (с. 69)

Решение 5. №21.35 (с. 69)


Решение 6. №21.35 (с. 69)
а) Для нахождения наибольшего и наименьшего значений функции $f(x) = 2\cos2x + \sin^2x$ преобразуем ее, приведя к одной тригонометрической функции одного аргумента.
Воспользуемся формулой понижения степени для синуса: $\sin^2x = \frac{1 - \cos2x}{2}$.
Подставим это выражение в исходную функцию:
$f(x) = 2\cos2x + \frac{1 - \cos2x}{2} = 2\cos2x + \frac{1}{2} - \frac{1}{2}\cos2x$
$f(x) = (2 - \frac{1}{2})\cos2x + \frac{1}{2} = \frac{3}{2}\cos2x + \frac{1}{2}$
Теперь найдем область значений полученной функции. Область значений косинуса — отрезок $[-1, 1]$, то есть:
$-1 \le \cos2x \le 1$
Умножим все части неравенства на $\frac{3}{2}$:
$-\frac{3}{2} \le \frac{3}{2}\cos2x \le \frac{3}{2}$
Прибавим ко всем частям неравенства $\frac{1}{2}$:
$-\frac{3}{2} + \frac{1}{2} \le \frac{3}{2}\cos2x + \frac{1}{2} \le \frac{3}{2} + \frac{1}{2}$
$-1 \le f(x) \le 2$
Таким образом, наименьшее значение функции равно -1, а наибольшее — 2.
Ответ: наименьшее значение функции: -1, наибольшее значение функции: 2.
б) Для нахождения наибольшего и наименьшего значений функции $f(x) = 2\sin^23x - \cos6x$ преобразуем ее. Заметим, что $6x = 2 \cdot (3x)$.
Воспользуемся формулой косинуса двойного угла: $\cos(2\alpha) = 1 - 2\sin^2\alpha$.
Применим эту формулу для $\alpha = 3x$:
$\cos6x = 1 - 2\sin^23x$
Подставим это выражение в исходную функцию:
$f(x) = 2\sin^23x - (1 - 2\sin^23x) = 2\sin^23x - 1 + 2\sin^23x$
$f(x) = 4\sin^23x - 1$
Теперь найдем область значений полученной функции. Область значений синуса — отрезок $[-1, 1]$:
$-1 \le \sin3x \le 1$
Возведем в квадрат. Так как квадрат любого числа из отрезка $[-1, 1]$ находится в отрезке $[0, 1]$, то:
$0 \le \sin^23x \le 1$
Умножим все части неравенства на 4:
$0 \le 4\sin^23x \le 4$
Вычтем из всех частей неравенства 1:
$0 - 1 \le 4\sin^23x - 1 \le 4 - 1$
$-1 \le f(x) \le 3$
Следовательно, наименьшее значение функции равно -1, а наибольшее — 3.
Ответ: наименьшее значение функции: -1, наибольшее значение функции: 3.
№1 (с. 69)
Условие. №1 (с. 69)
скриншот условия

1. Замените данное выражение выражением $T(t)$, где $T$ — обозначение соответствующей тригонометрической функции:
$\sin \left(\frac{\pi}{2}+t\right)$, $\cos (\pi+t)$, $\operatorname{tg}\left(\frac{3 \pi}{2}+t\right)$, $\operatorname{ctg}(2 \pi+t)$.
Решение 6. №1 (с. 69)
Для решения данной задачи используются формулы приведения. Они позволяют упрощать тригонометрические выражения вида $ T(k \cdot \frac{\pi}{2} \pm t) $, где $ T $ — тригонометрическая функция, а $ k $ — целое число. Правила следующие:
- Если $ k $ — четное число (т.е. в аргументе $ \pi \pm t $ или $ 2\pi \pm t $), то название функции не меняется.
- Если $ k $ — нечетное число (т.е. в аргументе $ \frac{\pi}{2} \pm t $ или $ \frac{3\pi}{2} \pm t $), то название функции меняется на кофункцию: $ \sin $ на $ \cos $, $ \cos $ на $ \sin $, $ \tg $ на $ \ctg $, $ \ctg $ на $ \tg $.
- Знак перед полученной функцией определяется знаком исходной функции в той координатной четверти, в которой находится угол $ k \cdot \frac{\pi}{2} \pm t $ (при условии, что $ t $ — острый угол).
Применим эти правила к каждому выражению.
$ \sin(\frac{\pi}{2} + t) $
1. Аргумент имеет вид $ \frac{\pi}{2} + t $ ($ k=1 $, нечетное), поэтому функция $ \sin $ меняется на кофункцию $ \cos $.
2. Угол $ \frac{\pi}{2} + t $ находится во второй координатной четверти. Синус во второй четверти положителен (знак «+»).
Совмещая эти два пункта, получаем: $ \sin(\frac{\pi}{2} + t) = \cos(t) $.
Ответ: $ \cos(t) $
$ \cos(\pi + t) $
1. Аргумент имеет вид $ \pi + t $ ($ k=2 $, четное), поэтому функция $ \cos $ не меняется.
2. Угол $ \pi + t $ находится в третьей координатной четверти. Косинус в третьей четверти отрицателен (знак «–»).
Следовательно: $ \cos(\pi + t) = -\cos(t) $.
Ответ: $ -\cos(t) $
$ \tg(\frac{3\pi}{2} + t) $
1. Аргумент имеет вид $ \frac{3\pi}{2} + t $ ($ k=3 $, нечетное), поэтому функция $ \tg $ меняется на кофункцию $ \ctg $.
2. Угол $ \frac{3\pi}{2} + t $ находится в четвертой координатной четверти. Тангенс в четвертой четверти отрицателен (знак «–»), так как $ \sin < 0 $ и $ \cos > 0 $.
Следовательно: $ \tg(\frac{3\pi}{2} + t) = -\ctg(t) $.
Ответ: $ -\ctg(t) $
$ \ctg(2\pi + t) $
В данном случае можно воспользоваться свойством периодичности. Основной период функции котангенс равен $ \pi $. Поскольку $ 2\pi $ является кратным периоду ($ 2\pi = 2 \cdot \pi $), мы можем отбросить $ 2\pi $ в аргументе, при этом значение функции не изменится.
$ \ctg(2\pi + t) = \ctg(t) $.
Если применять формулы приведения:
1. Аргумент имеет вид $ 2\pi + t $ ($ k=4 $, четное), поэтому функция $ \ctg $ не меняется.
2. Угол $ 2\pi + t $ находится в первой координатной четверти, где все тригонометрические функции, включая котангенс, положительны (знак «+»).
Оба метода дают одинаковый результат: $ \ctg(2\pi + t) = \ctg(t) $.
Ответ: $ \ctg(t) $
№2 (с. 69)
Условие. №2 (с. 69)
скриншот условия

$\cos \left(\frac{\pi}{2}-t\right)$, $\sin (\pi-t)$, $\operatorname{ctg}\left(\frac{3 \pi}{2}-t\right)$, $\operatorname{tg}(2 \pi-t)$.
Решение 6. №2 (с. 69)
Для упрощения данных тригонометрических выражений используются формулы приведения. Общий алгоритм их применения состоит из двух шагов:
- Определение названия функции. Если в аргументе содержится $ \frac{\pi}{2} $ или $ \frac{3\pi}{2} $ (т.е. $ \frac{n\pi}{2} $, где $ n $ — нечетное), функция меняется на кофункцию ($ \sin \leftrightarrow \cos $, $ \text{tg} \leftrightarrow \text{ctg} $). Если в аргументе содержится $ \pi $ или $ 2\pi $ (т.е. $ \frac{n\pi}{2} $, где $ n $ — четное), название функции не меняется.
- Определение знака. Знак итогового выражения совпадает со знаком исходной функции в той координатной четверти, где находится угол, если считать $ t $ малым положительным углом (углом из I четверти).
Применим этот алгоритм к каждому из выражений.
$ \cos(\frac{\pi}{2} - t) $
1. В аргументе присутствует $ \frac{\pi}{2} $, поэтому функция $ \cos $ меняется на кофункцию $ \sin $.
2. Угол $ \frac{\pi}{2} - t $ находится в I четверти. Исходная функция $ \cos $ в I четверти имеет знак «+».
Следовательно, $ \cos(\frac{\pi}{2} - t) = \sin(t) $.
Ответ: $ \sin(t) $.
$ \sin(\pi - t) $
1. В аргументе присутствует $ \pi $, поэтому название функции $ \sin $ сохраняется.
2. Угол $ \pi - t $ находится во II четверти. Исходная функция $ \sin $ во II четверти имеет знак «+».
Следовательно, $ \sin(\pi - t) = \sin(t) $.
Ответ: $ \sin(t) $.
$ \text{ctg}(\frac{3\pi}{2} - t) $
1. В аргументе присутствует $ \frac{3\pi}{2} $, поэтому функция $ \text{ctg} $ меняется на кофункцию $ \text{tg} $.
2. Угол $ \frac{3\pi}{2} - t $ находится в III четверти. Исходная функция $ \text{ctg} $ в III четверти имеет знак «+».
Следовательно, $ \text{ctg}(\frac{3\pi}{2} - t) = \text{tg}(t) $.
Ответ: $ \text{tg}(t) $.
$ \text{tg}(2\pi - t) $
1. В аргументе присутствует $ 2\pi $, поэтому название функции $ \text{tg} $ сохраняется.
2. Угол $ 2\pi - t $ находится в IV четверти. Исходная функция $ \text{tg} $ в IV четверти имеет знак «-».
Следовательно, $ \text{tg}(2\pi - t) = -\text{tg}(t) $.
Ответ: $ -\text{tg}(t) $.
Помогло решение? Оставьте отзыв в комментариях ниже.