Страница 68, часть 2 - гдз по алгебре 10-11 класс задачник часть 1, 2 Мордкович, Семенов


Авторы: Мордкович А. Г., Семенов П. В., Денищева Л. О., Корешкова Т. А., Мишустина Т. Н., Тульчинская Е. Е.
Тип: Задачник
Издательство: Мнемозина
Год издания: 2019 - 2025
Уровень обучения: базовый
Часть: 2
Цвет обложки:
ISBN: 978-5-346-04509-0 (общ.), 978-5-346-04510-6 (ч. 1), 978-5-346-04511-3 (ч. 2)
Рекомендовано Министерством образования и науки Российской Федерации
Математика: алгебра и начала математического анализа, геометрия
Популярные ГДЗ в 10 классе
ч. 2. Cтраница 68

№21.21 (с. 68)
Условие. №21.21 (с. 68)
скриншот условия

21.21 a) $\cos^2 3t = \frac{1 + \sin \left(\frac{\pi}{2} - 6t\right)}{2}$;
б) $\frac{1 - \cos t}{1 + \cos t} = \text{tg}^2 \frac{t}{2}$;
в) $\cos^2 3t = \frac{1 - \cos (6t - 3\pi)}{2}$;
г) $\frac{1 - \cos t}{\sin t} = \text{tg} \frac{t}{2}$.
Решение 1. №21.21 (с. 68)

Решение 2. №21.21 (с. 68)

Решение 3. №21.21 (с. 68)

Решение 5. №21.21 (с. 68)


Решение 6. №21.21 (с. 68)
а) Для доказательства данного тождества преобразуем его правую часть. Сначала воспользуемся формулой приведения для синуса: $\sin(\frac{\pi}{2} - \alpha) = \cos \alpha$. В нашем случае $\alpha = 6t$, поэтому правая часть тождества принимает вид:
$\frac{1 + \sin(\frac{\pi}{2} - 6t)}{2} = \frac{1 + \cos(6t)}{2}$.
Теперь рассмотрим левую часть. Используем формулу понижения степени (или формулу косинуса двойного угла $\cos(2x) = 2\cos^2x - 1$, откуда $\cos^2x = \frac{1 + \cos(2x)}{2}$). Применим эту формулу для $x = 3t$:
$\cos^2 3t = \frac{1 + \cos(2 \cdot 3t)}{2} = \frac{1 + \cos(6t)}{2}$.
Поскольку преобразованные левая и правая части тождества равны, тождество доказано.
Ответ: Тождество доказано.
б) Для доказательства этого тождества преобразуем левую часть, используя формулы двойного угла, выраженные через половинный аргумент. Известно, что:
$1 - \cos t = 2\sin^2\frac{t}{2}$
$1 + \cos t = 2\cos^2\frac{t}{2}$
Подставим эти выражения в левую часть исходного равенства:
$\frac{1 - \cos t}{1 + \cos t} = \frac{2\sin^2\frac{t}{2}}{2\cos^2\frac{t}{2}}$.
Сократив на 2, получим:
$\frac{\sin^2\frac{t}{2}}{\cos^2\frac{t}{2}} = \left(\frac{\sin\frac{t}{2}}{\cos\frac{t}{2}}\right)^2$.
По определению тангенса $\text{tg} \alpha = \frac{\sin \alpha}{\cos \alpha}$, поэтому полученное выражение равно $\text{tg}^2\frac{t}{2}$.
Таким образом, левая часть равна правой. Тождество доказано.
Ответ: Тождество доказано.
в) Преобразуем правую часть тождества. Упростим выражение под знаком косинуса в числителе, используя свойства периодичности и четности функции косинус.
$\cos(6t - 3\pi) = \cos(6t - \pi - 2\pi)$.
Так как период косинуса равен $2\pi$, то $\cos(\alpha - 2\pi) = \cos \alpha$. Следовательно:
$\cos(6t - \pi - 2\pi) = \cos(6t - \pi)$.
Используя формулу приведения $\cos(\alpha - \pi) = -\cos \alpha$, получаем:
$\cos(6t - \pi) = -\cos(6t)$.
Подставим это в правую часть исходного тождества:
$\frac{1 - \cos(6t - 3\pi)}{2} = \frac{1 - (-\cos(6t))}{2} = \frac{1 + \cos(6t)}{2}$.
Это выражение совпадает с результатом, полученным для левой части в пункте а): $\cos^2 3t = \frac{1 + \cos(6t)}{2}$.
Следовательно, тождество доказано.
Ответ: Тождество доказано.
г) Для доказательства преобразуем левую часть тождества, используя формулы половинного угла.
Числитель: $1 - \cos t = 2\sin^2\frac{t}{2}$.
Знаменатель (используя формулу синуса двойного угла $\sin(2\alpha) = 2\sin\alpha\cos\alpha$ для $\alpha = t/2$): $\sin t = 2\sin\frac{t}{2}\cos\frac{t}{2}$.
Подставим эти выражения в левую часть:
$\frac{1 - \cos t}{\sin t} = \frac{2\sin^2\frac{t}{2}}{2\sin\frac{t}{2}\cos\frac{t}{2}}$.
Сократим общий множитель $2\sin\frac{t}{2}$ в числителе и знаменателе (при условии, что $\sin\frac{t}{2} \neq 0$):
$\frac{\sin\frac{t}{2}}{\cos\frac{t}{2}}$.
По определению, это выражение равно $\text{tg}\frac{t}{2}$, что соответствует правой части тождества.
Тождество доказано.
Ответ: Тождество доказано.
№21.26 (с. 68)
Условие. №21.26 (с. 68)
скриншот условия

21.26 a) $1 - \cos x = 2 \sin^2 \frac{x}{2};$
б) $1 + \cos x = 2 \cos^2 \frac{x}{2}.$
Решение 1. №21.26 (с. 68)

Решение 2. №21.26 (с. 68)


Решение 3. №21.26 (с. 68)

Решение 5. №21.26 (с. 68)


Решение 6. №21.26 (с. 68)
а) Требуется доказать тождество $1 - \cos x = 2\sin^2\frac{x}{2}$. Это одна из формул понижения степени, которая выводится из формулы косинуса двойного угла.
Исходная формула косинуса двойного угла: $\cos(2\alpha) = \cos^2\alpha - \sin^2\alpha$.
Воспользуемся основным тригонометрическим тождеством $\sin^2\alpha + \cos^2\alpha = 1$, из которого выразим $\cos^2\alpha = 1 - \sin^2\alpha$.
Подставим это выражение в формулу косинуса двойного угла:
$\cos(2\alpha) = (1 - \sin^2\alpha) - \sin^2\alpha = 1 - 2\sin^2\alpha$.
Теперь сделаем замену переменной. Пусть $2\alpha = x$, тогда $\alpha = \frac{x}{2}$.
Подставив эту замену в выведенную формулу, получим:
$\cos x = 1 - 2\sin^2\frac{x}{2}$.
Далее, преобразуем это равенство, чтобы привести его к виду из условия задачи. Перенесем $2\sin^2\frac{x}{2}$ в левую часть, а $\cos x$ в правую:
$2\sin^2\frac{x}{2} = 1 - \cos x$.
Таким образом, тождество доказано.
Ответ: Тождество $1 - \cos x = 2\sin^2\frac{x}{2}$ доказано на основе формулы косинуса двойного угла.
б) Требуется доказать тождество $1 + \cos x = 2\cos^2\frac{x}{2}$. Это также формула понижения степени, выводимая аналогичным образом.
Вновь начнем с формулы косинуса двойного угла: $\cos(2\alpha) = \cos^2\alpha - \sin^2\alpha$.
Из основного тригонометрического тождества $\sin^2\alpha + \cos^2\alpha = 1$ выразим $\sin^2\alpha = 1 - \cos^2\alpha$.
Подставим это выражение в формулу косинуса двойного угла:
$\cos(2\alpha) = \cos^2\alpha - (1 - \cos^2\alpha) = \cos^2\alpha - 1 + \cos^2\alpha = 2\cos^2\alpha - 1$.
Сделаем ту же замену: пусть $2\alpha = x$, тогда $\alpha = \frac{x}{2}$.
Подставляем в полученную формулу:
$\cos x = 2\cos^2\frac{x}{2} - 1$.
Перенесем $-1$ в левую часть равенства:
$\cos x + 1 = 2\cos^2\frac{x}{2}$.
Записав слагаемые в левой части в другом порядке, получаем искомое тождество: $1 + \cos x = 2\cos^2\frac{x}{2}$.
Таким образом, тождество доказано.
Ответ: Тождество $1 + \cos x = 2\cos^2\frac{x}{2}$ доказано на основе формулы косинуса двойного угла.
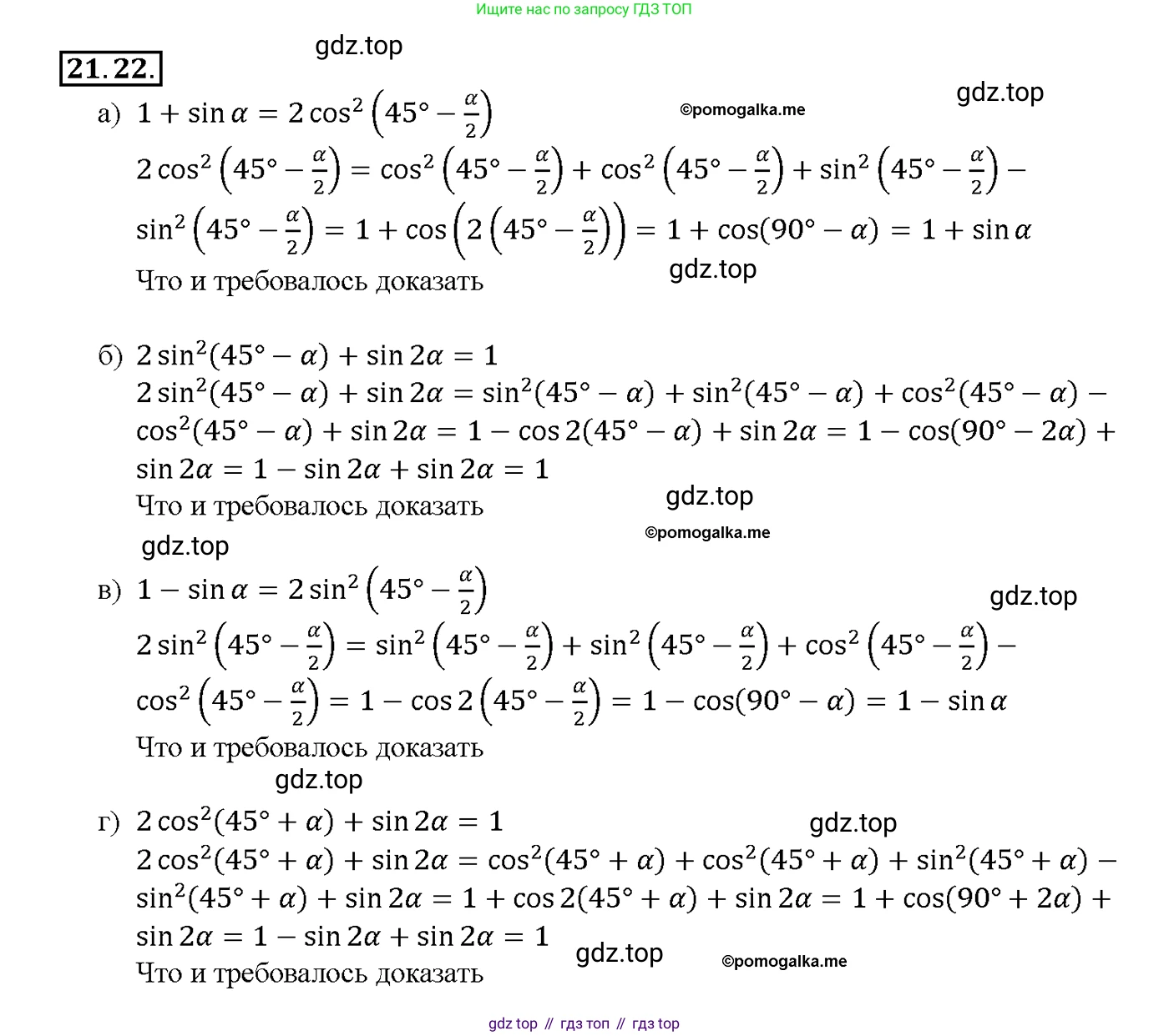
№21.22 (с. 68)
Условие. №21.22 (с. 68)
скриншот условия

21.22 а) $1 + \sin \alpha = 2\cos^2 \left(45^\circ - \frac{\alpha}{2}\right);$
б) $2\sin^2(45^\circ - \alpha) + \sin 2\alpha = 1;$
в) $1 - \sin \alpha = 2\sin^2 \left(45^\circ - \frac{\alpha}{2}\right);$
г) $2\cos^2(45^\circ + \alpha) + \sin 2\alpha = 1.$
Решение 1. №21.22 (с. 68)

Решение 2. №21.22 (с. 68)


Решение 3. №21.22 (с. 68)

Решение 5. №21.22 (с. 68)


Решение 6. №21.22 (с. 68)
а) Докажем тождество $1 + \sin \alpha = 2\cos^2(45^\circ - \frac{\alpha}{2})$.
Преобразуем правую часть, используя формулу понижения степени $2\cos^2 x = 1 + \cos(2x)$.
Пусть $x = 45^\circ - \frac{\alpha}{2}$. Тогда $2x = 2(45^\circ - \frac{\alpha}{2}) = 90^\circ - \alpha$.
$2\cos^2(45^\circ - \frac{\alpha}{2}) = 1 + \cos(90^\circ - \alpha)$.
По формуле приведения, $\cos(90^\circ - \alpha) = \sin \alpha$.
Следовательно, правая часть равна $1 + \sin \alpha$.
Так как правая часть равна левой, тождество доказано.
Ответ: Тождество доказано.
б) Докажем тождество $2\sin^2(45^\circ - \alpha) + \sin 2\alpha = 1$.
Преобразуем левую часть. Используем формулу понижения степени $2\sin^2 x = 1 - \cos(2x)$.
Пусть $x = 45^\circ - \alpha$. Тогда $2x = 2(45^\circ - \alpha) = 90^\circ - 2\alpha$.
$2\sin^2(45^\circ - \alpha) = 1 - \cos(90^\circ - 2\alpha)$.
По формуле приведения, $\cos(90^\circ - 2\alpha) = \sin 2\alpha$.
Подставим это в левую часть исходного равенства:
$(1 - \sin 2\alpha) + \sin 2\alpha = 1$.
Левая часть равна $1$, что совпадает с правой частью. Тождество доказано.
Ответ: Тождество доказано.
в) Докажем тождество $1 - \sin \alpha = 2\sin^2(45^\circ - \frac{\alpha}{2})$.
Преобразуем правую часть, используя формулу понижения степени $2\sin^2 x = 1 - \cos(2x)$.
Пусть $x = 45^\circ - \frac{\alpha}{2}$. Тогда $2x = 2(45^\circ - \frac{\alpha}{2}) = 90^\circ - \alpha$.
$2\sin^2(45^\circ - \frac{\alpha}{2}) = 1 - \cos(90^\circ - \alpha)$.
По формуле приведения, $\cos(90^\circ - \alpha) = \sin \alpha$.
Следовательно, правая часть равна $1 - \sin \alpha$.
Так как правая часть равна левой, тождество доказано.
Ответ: Тождество доказано.
г) Докажем тождество $2\cos^2(45^\circ + \alpha) + \sin 2\alpha = 1$.
Преобразуем левую часть. Используем формулу понижения степени $2\cos^2 x = 1 + \cos(2x)$.
Пусть $x = 45^\circ + \alpha$. Тогда $2x = 2(45^\circ + \alpha) = 90^\circ + 2\alpha$.
$2\cos^2(45^\circ + \alpha) = 1 + \cos(90^\circ + 2\alpha)$.
По формуле приведения, $\cos(90^\circ + 2\alpha) = -\sin 2\alpha$.
Подставим это в левую часть исходного равенства:
$(1 - \sin 2\alpha) + \sin 2\alpha = 1$.
Левая часть равна $1$, что совпадает с правой частью. Тождество доказано.
Ответ: Тождество доказано.
№21.27 (с. 68)
Условие. №21.27 (с. 68)
скриншот условия

21.27 а) $1 - \cos x = \sin x \sin \frac{x}{2}$;
б) $\sin x = \text{tg}^2 \frac{x}{2} (1 + \cos x)$.
Решение 1. №21.27 (с. 68)

Решение 2. №21.27 (с. 68)


Решение 3. №21.27 (с. 68)

Решение 5. №21.27 (с. 68)


Решение 6. №21.27 (с. 68)
а) Исходное уравнение: $1 - \cos x = \sin x \sin \frac{x}{2}$.
Для решения уравнения воспользуемся формулами половинного угла. Заменим левую и правую части уравнения, используя следующие тождества:
$1 - \cos x = 2 \sin^2 \frac{x}{2}$
$\sin x = 2 \sin \frac{x}{2} \cos \frac{x}{2}$
Подставим эти выражения в исходное уравнение:
$2 \sin^2 \frac{x}{2} = \left(2 \sin \frac{x}{2} \cos \frac{x}{2}\right) \cdot \sin \frac{x}{2}$
$2 \sin^2 \frac{x}{2} = 2 \sin^2 \frac{x}{2} \cos \frac{x}{2}$
Перенесем все слагаемые в одну сторону:
$2 \sin^2 \frac{x}{2} - 2 \sin^2 \frac{x}{2} \cos \frac{x}{2} = 0$
Вынесем общий множитель $2 \sin^2 \frac{x}{2}$ за скобки:
$2 \sin^2 \frac{x}{2} \left(1 - \cos \frac{x}{2}\right) = 0$
Произведение равно нулю тогда и только тогда, когда хотя бы один из множителей равен нулю. Рассматриваем два случая:
1. $\sin^2 \frac{x}{2} = 0 \implies \sin \frac{x}{2} = 0$
$\frac{x}{2} = \pi n$, где $n \in \mathbb{Z}$
$x = 2 \pi n$, где $n \in \mathbb{Z}$.
2. $1 - \cos \frac{x}{2} = 0 \implies \cos \frac{x}{2} = 1$
$\frac{x}{2} = 2 \pi k$, где $k \in \mathbb{Z}$
$x = 4 \pi k$, где $k \in \mathbb{Z}$.
Вторая серия решений ($x = 4 \pi k$) является подмножеством первой серии решений ($x = 2 \pi n$), так как при $n = 2k$ мы получаем $x = 2\pi(2k) = 4\pi k$. Следовательно, все корни уравнения можно описать первой серией.
Ответ: $x = 2 \pi n, n \in \mathbb{Z}$.
б) Исходное уравнение: $\sin x = \operatorname{tg}^2 \frac{x}{2} (1 + \cos x)$.
Найдем область допустимых значений (ОДЗ). Функция тангенса $\operatorname{tg} \frac{x}{2}$ определена, если ее аргумент не равен $\frac{\pi}{2} + \pi k$, то есть $\cos \frac{x}{2} \neq 0$.
$\frac{x}{2} \neq \frac{\pi}{2} + \pi k \implies x \neq \pi + 2 \pi k$, где $k \in \mathbb{Z}$.
Преобразуем уравнение, используя тригонометрические формулы:
$\sin x = 2 \sin \frac{x}{2} \cos \frac{x}{2}$
$1 + \cos x = 2 \cos^2 \frac{x}{2}$
$\operatorname{tg}^2 \frac{x}{2} = \frac{\sin^2 \frac{x}{2}}{\cos^2 \frac{x}{2}}$
Подставляем в исходное уравнение:
$2 \sin \frac{x}{2} \cos \frac{x}{2} = \frac{\sin^2 \frac{x}{2}}{\cos^2 \frac{x}{2}} \cdot \left(2 \cos^2 \frac{x}{2}\right)$
С учетом ОДЗ ($\cos \frac{x}{2} \neq 0$), мы можем сократить дробь на $\cos^2 \frac{x}{2}$:
$2 \sin \frac{x}{2} \cos \frac{x}{2} = 2 \sin^2 \frac{x}{2}$
Переносим все в левую часть и делим на 2:
$\sin \frac{x}{2} \cos \frac{x}{2} - \sin^2 \frac{x}{2} = 0$
Выносим общий множитель $\sin \frac{x}{2}$ за скобки:
$\sin \frac{x}{2} \left(\cos \frac{x}{2} - \sin \frac{x}{2}\right) = 0$
Рассматриваем два случая:
1. $\sin \frac{x}{2} = 0$
$\frac{x}{2} = \pi n$, где $n \in \mathbb{Z}$
$x = 2 \pi n$, где $n \in \mathbb{Z}$. Данная серия корней удовлетворяет ОДЗ.
2. $\cos \frac{x}{2} - \sin \frac{x}{2} = 0 \implies \cos \frac{x}{2} = \sin \frac{x}{2}$
Поскольку из ОДЗ следует, что $\cos \frac{x}{2} \neq 0$, мы можем разделить обе части на $\cos \frac{x}{2}$:
$1 = \frac{\sin \frac{x}{2}}{\cos \frac{x}{2}} \implies \operatorname{tg} \frac{x}{2} = 1$
$\frac{x}{2} = \frac{\pi}{4} + \pi m$, где $m \in \mathbb{Z}$
$x = \frac{\pi}{2} + 2 \pi m$, где $m \in \mathbb{Z}$. Эта серия корней также удовлетворяет ОДЗ.
В итоге получаем две независимые серии решений.
Ответ: $x = 2 \pi n, x = \frac{\pi}{2} + 2 \pi m$, где $n, m \in \mathbb{Z}$.
№21.23 (с. 68)
Условие. №21.23 (с. 68)
скриншот условия

21.23 Вычислите (с помощью формул понижения степени):
а) $ \sin 22.5^\circ $;
б) $ \cos 22.5^\circ $;
в) $ \sin \frac{3\pi}{8} $;
г) $ \cos \frac{3\pi}{8} $.
Решение 1. №21.23 (с. 68)

Решение 2. №21.23 (с. 68)

Решение 3. №21.23 (с. 68)

Решение 5. №21.23 (с. 68)


Решение 6. №21.23 (с. 68)
а) Для вычисления $ \sin{22,5^\circ} $ воспользуемся формулой понижения степени для синуса, которая выводится из формулы косинуса двойного угла: $ \sin^2{\alpha} = \frac{1 - \cos{2\alpha}}{2} $. Из этой формулы следует формула половинного угла: $ \sin{\alpha} = \pm\sqrt{\frac{1 - \cos{2\alpha}}{2}} $.
В нашем случае $ \alpha = 22,5^\circ $, следовательно, $ 2\alpha = 2 \cdot 22,5^\circ = 45^\circ $. Угол $ 22,5^\circ $ находится в первой координатной четверти, поэтому его синус является положительным числом. Значит, мы выбираем знак «+» перед корнем.
$ \sin{22,5^\circ} = \sqrt{\frac{1 - \cos{45^\circ}}{2}} $.
Известно, что $ \cos{45^\circ} = \frac{\sqrt{2}}{2} $. Подставим это значение в нашу формулу:
$ \sin{22,5^\circ} = \sqrt{\frac{1 - \frac{\sqrt{2}}{2}}{2}} = \sqrt{\frac{\frac{2 - \sqrt{2}}{2}}{2}} = \sqrt{\frac{2 - \sqrt{2}}{4}} = \frac{\sqrt{2 - \sqrt{2}}}{2} $.
Ответ: $ \frac{\sqrt{2 - \sqrt{2}}}{2} $
б) Для вычисления $ \cos{22,5^\circ} $ воспользуемся формулой понижения степени для косинуса: $ \cos^2{\alpha} = \frac{1 + \cos{2\alpha}}{2} $, из которой следует формула половинного угла: $ \cos{\alpha} = \pm\sqrt{\frac{1 + \cos{2\alpha}}{2}} $.
Как и в предыдущем пункте, $ \alpha = 22,5^\circ $ и $ 2\alpha = 45^\circ $. Угол $ 22,5^\circ $ находится в первой четверти, поэтому его косинус также положителен. Выбираем знак «+».
$ \cos{22,5^\circ} = \sqrt{\frac{1 + \cos{45^\circ}}{2}} $.
Подставляем значение $ \cos{45^\circ} = \frac{\sqrt{2}}{2} $:
$ \cos{22,5^\circ} = \sqrt{\frac{1 + \frac{\sqrt{2}}{2}}{2}} = \sqrt{\frac{\frac{2 + \sqrt{2}}{2}}{2}} = \sqrt{\frac{2 + \sqrt{2}}{4}} = \frac{\sqrt{2 + \sqrt{2}}}{2} $.
Ответ: $ \frac{\sqrt{2 + \sqrt{2}}}{2} $
в) Для вычисления $ \sin{\frac{3\pi}{8}} $ применим ту же формулу, что и в пункте а): $ \sin{\alpha} = \pm\sqrt{\frac{1 - \cos{2\alpha}}{2}} $.
В этом случае $ \alpha = \frac{3\pi}{8} $, тогда $ 2\alpha = 2 \cdot \frac{3\pi}{8} = \frac{3\pi}{4} $. Угол $ \frac{3\pi}{8} $ находится в первой четверти (поскольку $ 0 < \frac{3\pi}{8} < \frac{\pi}{2} $), поэтому его синус положителен. Выбираем знак «+».
$ \sin{\frac{3\pi}{8}} = \sqrt{\frac{1 - \cos{\frac{3\pi}{4}}}{2}} $.
Значение косинуса для $ \frac{3\pi}{4} $ равно $ \cos{\frac{3\pi}{4}} = -\frac{\sqrt{2}}{2} $. Подставляем его в формулу:
$ \sin{\frac{3\pi}{8}} = \sqrt{\frac{1 - (-\frac{\sqrt{2}}{2})}{2}} = \sqrt{\frac{1 + \frac{\sqrt{2}}{2}}{2}} = \sqrt{\frac{\frac{2 + \sqrt{2}}{2}}{2}} = \sqrt{\frac{2 + \sqrt{2}}{4}} = \frac{\sqrt{2 + \sqrt{2}}}{2} $.
Ответ: $ \frac{\sqrt{2 + \sqrt{2}}}{2} $
г) Для вычисления $ \cos{\frac{3\pi}{8}} $ применим ту же формулу, что и в пункте б): $ \cos{\alpha} = \pm\sqrt{\frac{1 + \cos{2\alpha}}{2}} $.
Здесь также $ \alpha = \frac{3\pi}{8} $ и $ 2\alpha = \frac{3\pi}{4} $. Угол $ \frac{3\pi}{8} $ находится в первой четверти, поэтому его косинус положителен. Выбираем знак «+».
$ \cos{\frac{3\pi}{8}} = \sqrt{\frac{1 + \cos{\frac{3\pi}{4}}}{2}} $.
Подставляем значение $ \cos{\frac{3\pi}{4}} = -\frac{\sqrt{2}}{2} $:
$ \cos{\frac{3\pi}{8}} = \sqrt{\frac{1 + (-\frac{\sqrt{2}}{2})}{2}} = \sqrt{\frac{1 - \frac{\sqrt{2}}{2}}{2}} = \sqrt{\frac{\frac{2 - \sqrt{2}}{2}}{2}} = \sqrt{\frac{2 - \sqrt{2}}{4}} = \frac{\sqrt{2 - \sqrt{2}}}{2} $.
Ответ: $ \frac{\sqrt{2 - \sqrt{2}}}{2} $
№21.28 (с. 68)
Условие. №21.28 (с. 68)
скриншот условия

21.28 a) $\sin^2 2x = 1$;
б) $\cos^2 4x = \frac{1}{2}$;
в) $\sin^2 \frac{x}{2} = \frac{3}{4}$;
г) $\cos^2 \frac{x}{4} = \frac{1}{4}$.
Решение 1. №21.28 (с. 68)

Решение 2. №21.28 (с. 68)


Решение 3. №21.28 (с. 68)

Решение 5. №21.28 (с. 68)



Решение 6. №21.28 (с. 68)
а) Исходное уравнение: $\sin^2 2x = 1$.
Это уравнение равносильно тому, что $\sin 2x = \pm 1$.
Данное равенство выполняется, когда аргумент синуса является нечетным кратным $\frac{\pi}{2}$.
Запишем это в виде уравнения: $2x = \frac{\pi}{2} + \pi n$, где $n \in \mathbb{Z}$.
Чтобы найти $x$, разделим обе части уравнения на 2:
$x = \frac{\pi}{4} + \frac{\pi n}{2}$, где $n \in \mathbb{Z}$.
Ответ: $x = \frac{\pi}{4} + \frac{\pi n}{2}, n \in \mathbb{Z}$.
б) Исходное уравнение: $\cos^2 4x = \frac{1}{2}$.
Для решения используем формулу понижения степени: $\cos^2 \alpha = \frac{1 + \cos 2\alpha}{2}$.
В данном случае $\alpha = 4x$. Подставим в формулу:
$\frac{1 + \cos(2 \cdot 4x)}{2} = \frac{1}{2}$
$\frac{1 + \cos(8x)}{2} = \frac{1}{2}$
Умножим обе части на 2:
$1 + \cos(8x) = 1$
$\cos(8x) = 0$
Это частный случай тригонометрического уравнения. Решение для $\cos t = 0$ имеет вид $t = \frac{\pi}{2} + \pi n$, где $n \in \mathbb{Z}$.
Следовательно, $8x = \frac{\pi}{2} + \pi n$.
Разделив обе части на 8, находим $x$:
$x = \frac{\pi}{16} + \frac{\pi n}{8}$, где $n \in \mathbb{Z}$.
Ответ: $x = \frac{\pi}{16} + \frac{\pi n}{8}, n \in \mathbb{Z}$.
в) Исходное уравнение: $\sin^2 \frac{x}{2} = \frac{3}{4}$.
Для решения используем формулу понижения степени: $\sin^2 \alpha = \frac{1 - \cos 2\alpha}{2}$.
В данном случае $\alpha = \frac{x}{2}$. Подставим в формулу:
$\frac{1 - \cos(2 \cdot \frac{x}{2})}{2} = \frac{3}{4}$
$\frac{1 - \cos x}{2} = \frac{3}{4}$
Умножим обе части на 2:
$1 - \cos x = \frac{6}{4} = \frac{3}{2}$
Выразим $\cos x$:
$\cos x = 1 - \frac{3}{2} = -\frac{1}{2}$
Общее решение для уравнения $\cos x = a$ имеет вид $x = \pm \arccos(a) + 2\pi n$, где $n \in \mathbb{Z}$.
Для $a = -\frac{1}{2}$, имеем $\arccos(-\frac{1}{2}) = \frac{2\pi}{3}$.
Следовательно, $x = \pm \frac{2\pi}{3} + 2\pi n$, где $n \in \mathbb{Z}$.
Ответ: $x = \pm \frac{2\pi}{3} + 2\pi n, n \in \mathbb{Z}$.
г) Исходное уравнение: $\cos^2 \frac{x}{4} = \frac{1}{4}$.
Для решения используем формулу понижения степени: $\cos^2 \alpha = \frac{1 + \cos 2\alpha}{2}$.
В данном случае $\alpha = \frac{x}{4}$. Подставим в формулу:
$\frac{1 + \cos(2 \cdot \frac{x}{4})}{2} = \frac{1}{4}$
$\frac{1 + \cos(\frac{x}{2})}{2} = \frac{1}{4}$
Умножим обе части на 2:
$1 + \cos(\frac{x}{2}) = \frac{2}{4} = \frac{1}{2}$
Выразим $\cos(\frac{x}{2})$:
$\cos(\frac{x}{2}) = \frac{1}{2} - 1 = -\frac{1}{2}$
Общее решение для уравнения $\cos t = -\frac{1}{2}$ есть $t = \pm \frac{2\pi}{3} + 2\pi n$, где $n \in \mathbb{Z}$.
Поскольку $t = \frac{x}{2}$, получаем:
$\frac{x}{2} = \pm \frac{2\pi}{3} + 2\pi n$
Умножим обе части на 2, чтобы найти $x$:
$x = \pm \frac{4\pi}{3} + 4\pi n$, где $n \in \mathbb{Z}$.
Ответ: $x = \pm \frac{4\pi}{3} + 4\pi n, n \in \mathbb{Z}$.
№21.24 (с. 68)
Условие. №21.24 (с. 68)
скриншот условия

Решите уравнение:
21.24 а) $sin 2x - 2 cos x = 0;$
б) $sin 2x - sin x = 0;$
В) $2 sin x = sin 2x;$
Г) $sin 2x + cos x = 0.$
Решение 1. №21.24 (с. 68)

Решение 2. №21.24 (с. 68)


Решение 3. №21.24 (с. 68)

Решение 5. №21.24 (с. 68)



Решение 6. №21.24 (с. 68)
а) $\sin 2x - 2\cos x = 0$
Используем формулу синуса двойного угла $\sin 2x = 2\sin x \cos x$. Подставим ее в уравнение:
$2\sin x \cos x - 2\cos x = 0$
Вынесем общий множитель $2\cos x$ за скобки:
$2\cos x (\sin x - 1) = 0$
Произведение равно нулю, если один из множителей равен нулю. Таким образом, мы получаем два случая:
1. $\cos x = 0$
Решения этого уравнения: $x = \frac{\pi}{2} + \pi n$, где $n \in \mathbb{Z}$.
2. $\sin x - 1 = 0 \implies \sin x = 1$
Решения этого уравнения: $x = \frac{\pi}{2} + 2\pi k$, где $k \in \mathbb{Z}$.
Вторая серия решений ($x = \frac{\pi}{2} + 2\pi k$) является подмножеством первой серии ($x = \frac{\pi}{2} + \pi n$), так как она получается из первой при четных $n$ (если $n=2k$). Поэтому, для того чтобы записать все решения, достаточно указать только первую, более общую, серию.
Ответ: $x = \frac{\pi}{2} + \pi n, n \in \mathbb{Z}$.
б) $\sin 2x - \sin x = 0$
Используем формулу синуса двойного угла $\sin 2x = 2\sin x \cos x$:
$2\sin x \cos x - \sin x = 0$
Вынесем общий множитель $\sin x$ за скобки:
$\sin x (2\cos x - 1) = 0$
Это уравнение распадается на два:
1. $\sin x = 0$
Решения этого уравнения: $x = \pi n$, где $n \in \mathbb{Z}$.
2. $2\cos x - 1 = 0 \implies \cos x = \frac{1}{2}$
Решения этого уравнения: $x = \pm \frac{\pi}{3} + 2\pi k$, где $k \in \mathbb{Z}$.
Объединяем полученные серии решений.
Ответ: $x = \pi n, n \in \mathbb{Z}$; $x = \pm \frac{\pi}{3} + 2\pi k, k \in \mathbb{Z}$.
в) $2\sin x = \sin 2x$
Перенесем все члены в одну сторону: $\sin 2x - 2\sin x = 0$.
Применим формулу синуса двойного угла $\sin 2x = 2\sin x \cos x$:
$2\sin x \cos x - 2\sin x = 0$
Вынесем общий множитель $2\sin x$ за скобки:
$2\sin x (\cos x - 1) = 0$
Получаем два уравнения:
1. $\sin x = 0$
Решения этого уравнения: $x = \pi n$, где $n \in \mathbb{Z}$.
2. $\cos x - 1 = 0 \implies \cos x = 1$
Решения этого уравнения: $x = 2\pi k$, где $k \in \mathbb{Z}$.
Вторая серия решений ($x = 2\pi k$) является подмножеством первой серии ($x = \pi n$), так как она получается из первой при четных $n$ (если $n=2k$). Таким образом, общим решением является первая серия.
Ответ: $x = \pi n, n \in \mathbb{Z}$.
г) $\sin 2x + \cos x = 0$
Используем формулу синуса двойного угла $\sin 2x = 2\sin x \cos x$:
$2\sin x \cos x + \cos x = 0$
Вынесем общий множитель $\cos x$ за скобки:
$\cos x (2\sin x + 1) = 0$
Это уравнение распадается на два:
1. $\cos x = 0$
Решения этого уравнения: $x = \frac{\pi}{2} + \pi n$, где $n \in \mathbb{Z}$.
2. $2\sin x + 1 = 0 \implies \sin x = -\frac{1}{2}$
Решения этого уравнения: $x = (-1)^{k+1} \frac{\pi}{6} + \pi k$, где $k \in \mathbb{Z}$.
Объединяем полученные серии решений.
Ответ: $x = \frac{\pi}{2} + \pi n, n \in \mathbb{Z}$; $x = (-1)^{k+1} \frac{\pi}{6} + \pi k, k \in \mathbb{Z}$.
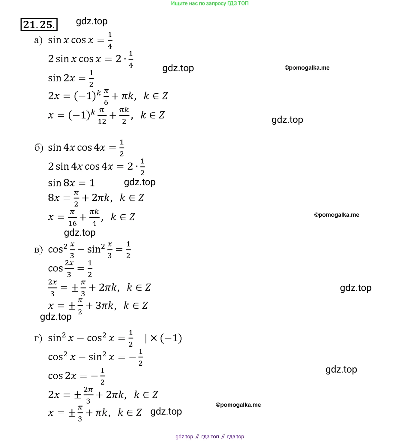
№21.25 (с. 68)
Условие. №21.25 (с. 68)
скриншот условия

21.25 a) $\sin x \cos x = \frac{1}{4}$;
б) $\sin 4x \cos 4x = \frac{1}{2}$;
В) $\cos^2 \frac{x}{3} - \sin^2 \frac{x}{3} = \frac{1}{2}$;
Г) $\sin^2 x - \cos^2 x = \frac{1}{2}$.
Решение 1. №21.25 (с. 68)

Решение 2. №21.25 (с. 68)


Решение 3. №21.25 (с. 68)

Решение 5. №21.25 (с. 68)


Решение 6. №21.25 (с. 68)
a) Дано уравнение $\sin x \cos x = \frac{1}{4}$.
Воспользуемся формулой синуса двойного угла: $\sin(2\alpha) = 2 \sin \alpha \cos \alpha$. Отсюда $\sin \alpha \cos \alpha = \frac{1}{2} \sin(2\alpha)$.
Применив эту формулу к нашему уравнению, получим:
$\frac{1}{2} \sin(2x) = \frac{1}{4}$.
Умножим обе части уравнения на 2:
$\sin(2x) = \frac{1}{2}$.
Это простейшее тригонометрическое уравнение. Его решение имеет вид:
$2x = (-1)^k \arcsin(\frac{1}{2}) + \pi k$, где $k \in \mathbb{Z}$.
Поскольку $\arcsin(\frac{1}{2}) = \frac{\pi}{6}$, то:
$2x = (-1)^k \frac{\pi}{6} + \pi k$.
Разделим обе части на 2, чтобы найти $x$:
$x = (-1)^k \frac{\pi}{12} + \frac{\pi k}{2}$, где $k \in \mathbb{Z}$.
Ответ: $x = (-1)^k \frac{\pi}{12} + \frac{\pi k}{2}$, $k \in \mathbb{Z}$.
б) Дано уравнение $\sin 4x \cos 4x = \frac{1}{2}$.
Аналогично пункту а), используем формулу $\sin \alpha \cos \alpha = \frac{1}{2} \sin(2\alpha)$, где в данном случае $\alpha = 4x$.
Уравнение принимает вид:
$\frac{1}{2} \sin(2 \cdot 4x) = \frac{1}{2}$,
$\frac{1}{2} \sin(8x) = \frac{1}{2}$.
Умножим обе части уравнения на 2:
$\sin(8x) = 1$.
Это частный случай решения уравнения $\sin t = a$. Решение имеет вид:
$8x = \frac{\pi}{2} + 2\pi k$, где $k \in \mathbb{Z}$.
Разделим обе части на 8, чтобы найти $x$:
$x = \frac{\pi}{16} + \frac{2\pi k}{8} = \frac{\pi}{16} + \frac{\pi k}{4}$, где $k \in \mathbb{Z}$.
Ответ: $x = \frac{\pi}{16} + \frac{\pi k}{4}$, $k \in \mathbb{Z}$.
в) Дано уравнение $\cos^2 \frac{x}{3} - \sin^2 \frac{x}{3} = \frac{1}{2}$.
Воспользуемся формулой косинуса двойного угла: $\cos(2\alpha) = \cos^2 \alpha - \sin^2 \alpha$. В данном случае $\alpha = \frac{x}{3}$.
Применив формулу, получаем:
$\cos(2 \cdot \frac{x}{3}) = \frac{1}{2}$,
$\cos(\frac{2x}{3}) = \frac{1}{2}$.
Это простейшее тригонометрическое уравнение. Его решение имеет вид:
$\frac{2x}{3} = \pm \arccos(\frac{1}{2}) + 2\pi k$, где $k \in \mathbb{Z}$.
Поскольку $\arccos(\frac{1}{2}) = \frac{\pi}{3}$, то:
$\frac{2x}{3} = \pm \frac{\pi}{3} + 2\pi k$.
Умножим обе части на $\frac{3}{2}$, чтобы найти $x$:
$x = \pm \frac{\pi}{3} \cdot \frac{3}{2} + 2\pi k \cdot \frac{3}{2} = \pm \frac{\pi}{2} + 3\pi k$, где $k \in \mathbb{Z}$.
Ответ: $x = \pm \frac{\pi}{2} + 3\pi k$, $k \in \mathbb{Z}$.
г) Дано уравнение $\sin^2 x - \cos^2 x = \frac{1}{2}$.
Вынесем минус за скобки в левой части уравнения:
$-(\cos^2 x - \sin^2 x) = \frac{1}{2}$.
Используем формулу косинуса двойного угла $\cos(2x) = \cos^2 x - \sin^2 x$:
$-\cos(2x) = \frac{1}{2}$.
Умножим обе части на -1:
$\cos(2x) = -\frac{1}{2}$.
Решение этого уравнения имеет вид:
$2x = \pm \arccos(-\frac{1}{2}) + 2\pi k$, где $k \in \mathbb{Z}$.
Поскольку $\arccos(-\frac{1}{2}) = \frac{2\pi}{3}$, то:
$2x = \pm \frac{2\pi}{3} + 2\pi k$.
Разделим обе части на 2, чтобы найти $x$:
$x = \pm \frac{\pi}{3} + \pi k$, где $k \in \mathbb{Z}$.
Ответ: $x = \pm \frac{\pi}{3} + \pi k$, $k \in \mathbb{Z}$.
Помогло решение? Оставьте отзыв в комментариях ниже.