Страница 77, часть 2 - гдз по алгебре 10-11 класс задачник часть 1, 2 Мордкович, Семенов


Авторы: Мордкович А. Г., Семенов П. В., Денищева Л. О., Корешкова Т. А., Мишустина Т. Н., Тульчинская Е. Е.
Тип: Задачник
Издательство: Мнемозина
Год издания: 2019 - 2025
Уровень обучения: базовый
Часть: 2
Цвет обложки:
ISBN: 978-5-346-04509-0 (общ.), 978-5-346-04510-6 (ч. 1), 978-5-346-04511-3 (ч. 2)
Рекомендовано Министерством образования и науки Российской Федерации
Математика: алгебра и начала математического анализа, геометрия
Популярные ГДЗ в 10 классе
ч. 2. Cтраница 77

№23.3 (с. 77)
Условие. №23.3 (с. 77)
скриншот условия

23.3 a) $\cos \alpha \sin (\alpha + \beta);$
б) $\sin (60^\circ + \alpha) \sin (60^\circ - \alpha);$
в) $\sin \beta \cos (\alpha + \beta);$
г) $\cos \left(\alpha + \frac{\pi}{4}\right) \cos \left(\alpha - \frac{\pi}{4}\right).$
Решение 1. №23.3 (с. 77)

Решение 2. №23.3 (с. 77)

Решение 3. №23.3 (с. 77)

Решение 5. №23.3 (с. 77)


Решение 6. №23.3 (с. 77)
а)
Для преобразования произведения $\cos\alpha \sin(\alpha + \beta)$ в сумму воспользуемся формулой произведения синуса на косинус: $\sin x \cos y = \frac{1}{2}(\sin(x+y) + \sin(x-y))$.
В нашем случае $x = \alpha + \beta$ и $y = \alpha$.
$\cos\alpha \sin(\alpha + \beta) = \frac{1}{2}(\sin((\alpha + \beta) + \alpha) + \sin((\alpha + \beta) - \alpha))$
$\cos\alpha \sin(\alpha + \beta) = \frac{1}{2}(\sin(2\alpha + \beta) + \sin\beta)$
Ответ: $\frac{1}{2}(\sin(2\alpha + \beta) + \sin\beta)$.
б)
Для преобразования произведения $\sin(60^\circ + \alpha) \sin(60^\circ - \alpha)$ в сумму воспользуемся формулой произведения синусов: $\sin x \sin y = \frac{1}{2}(\cos(x-y) - \cos(x+y))$.
Здесь $x = 60^\circ + \alpha$ и $y = 60^\circ - \alpha$.
$\sin(60^\circ + \alpha) \sin(60^\circ - \alpha) = \frac{1}{2}(\cos((60^\circ + \alpha) - (60^\circ - \alpha)) - \cos((60^\circ + \alpha) + (60^\circ - \alpha)))$
$\sin(60^\circ + \alpha) \sin(60^\circ - \alpha) = \frac{1}{2}(\cos(2\alpha) - \cos(120^\circ))$
Так как $\cos(120^\circ) = -\frac{1}{2}$, подставим это значение в выражение:
$\frac{1}{2}(\cos(2\alpha) - (-\frac{1}{2})) = \frac{1}{2}(\cos(2\alpha) + \frac{1}{2}) = \frac{1}{2}\cos(2\alpha) + \frac{1}{4}$
Ответ: $\frac{1}{4} + \frac{1}{2}\cos(2\alpha)$.
в)
Для преобразования произведения $\sin\beta \cos(\alpha + \beta)$ в сумму воспользуемся формулой произведения синуса на косинус: $\sin x \cos y = \frac{1}{2}(\sin(x+y) + \sin(x-y))$.
В данном случае $x = \beta$ и $y = \alpha + \beta$.
$\sin\beta \cos(\alpha + \beta) = \frac{1}{2}(\sin(\beta + (\alpha + \beta)) + \sin(\beta - (\alpha + \beta)))$
$\sin\beta \cos(\alpha + \beta) = \frac{1}{2}(\sin(\alpha + 2\beta) + \sin(-\alpha))$
Используя свойство нечетности синуса, $\sin(-\alpha) = -\sin\alpha$, получаем:
$\frac{1}{2}(\sin(\alpha + 2\beta) - \sin\alpha)$
Ответ: $\frac{1}{2}(\sin(\alpha + 2\beta) - \sin\alpha)$.
г)
Для преобразования произведения $\cos(\alpha + \frac{\pi}{4}) \cos(\alpha - \frac{\pi}{4})$ в сумму используем формулу произведения косинусов: $\cos x \cos y = \frac{1}{2}(\cos(x-y) + \cos(x+y))$.
Здесь $x = \alpha + \frac{\pi}{4}$ и $y = \alpha - \frac{\pi}{4}$.
$\cos(\alpha + \frac{\pi}{4}) \cos(\alpha - \frac{\pi}{4}) = \frac{1}{2}(\cos((\alpha + \frac{\pi}{4}) - (\alpha - \frac{\pi}{4})) + \cos((\alpha + \frac{\pi}{4}) + (\alpha - \frac{\pi}{4})))$
$\cos(\alpha + \frac{\pi}{4}) \cos(\alpha - \frac{\pi}{4}) = \frac{1}{2}(\cos(\frac{\pi}{2}) + \cos(2\alpha))$
Так как $\cos(\frac{\pi}{2}) = 0$, подставим это значение:
$\frac{1}{2}(0 + \cos(2\alpha)) = \frac{1}{2}\cos(2\alpha)$
Ответ: $\frac{1}{2}\cos(2\alpha)$.
№23.8 (с. 77)
Условие. №23.8 (с. 77)
скриншот условия

Вычислите:
23.8 a) $\cos^2 3^\circ + \cos^2 1^\circ - \cos 4^\circ \cos 2^\circ$;
б) $\sin^2 10^\circ + \cos 50^\circ \cos 70^\circ$.
Решение 1. №23.8 (с. 77)

Решение 2. №23.8 (с. 77)

Решение 3. №23.8 (с. 77)

Решение 5. №23.8 (с. 77)

Решение 6. №23.8 (с. 77)
a) $\cos^2 3^\circ + \cos^2 1^\circ - \cos 4^\circ \cos 2^\circ$
Для решения этой задачи воспользуемся тригонометрическими формулами понижения степени и преобразования произведения в сумму.
Формула понижения степени для косинуса имеет вид: $\cos^2 \alpha = \frac{1 + \cos(2\alpha)}{2}$.
Применим ее к первым двум слагаемым исходного выражения:
$\cos^2 3^\circ = \frac{1 + \cos(2 \cdot 3^\circ)}{2} = \frac{1 + \cos 6^\circ}{2}$
$\cos^2 1^\circ = \frac{1 + \cos(2 \cdot 1^\circ)}{2} = \frac{1 + \cos 2^\circ}{2}$
Формула преобразования произведения косинусов в сумму: $\cos \alpha \cos \beta = \frac{1}{2}(\cos(\alpha - \beta) + \cos(\alpha + \beta))$.
Применим ее к третьему члену выражения:
$\cos 4^\circ \cos 2^\circ = \frac{1}{2}(\cos(4^\circ - 2^\circ) + \cos(4^\circ + 2^\circ)) = \frac{1}{2}(\cos 2^\circ + \cos 6^\circ)$
Теперь подставим полученные выражения обратно в исходное:
$\cos^2 3^\circ + \cos^2 1^\circ - \cos 4^\circ \cos 2^\circ = \left(\frac{1 + \cos 6^\circ}{2}\right) + \left(\frac{1 + \cos 2^\circ}{2}\right) - \left(\frac{1}{2}(\cos 2^\circ + \cos 6^\circ)\right)$
Раскроем скобки и упростим выражение:
$\frac{1}{2} + \frac{\cos 6^\circ}{2} + \frac{1}{2} + \frac{\cos 2^\circ}{2} - \frac{\cos 2^\circ}{2} - \frac{\cos 6^\circ}{2}$
Сгруппируем и сократим подобные члены:
$(\frac{1}{2} + \frac{1}{2}) + (\frac{\cos 6^\circ}{2} - \frac{\cos 6^\circ}{2}) + (\frac{\cos 2^\circ}{2} - \frac{\cos 2^\circ}{2}) = 1 + 0 + 0 = 1$
Ответ: $1$.
б) $\sin^2 10^\circ + \cos 50^\circ \cos 70^\circ$
Для решения используем формулу понижения степени для синуса и формулу преобразования произведения косинусов в сумму.
Формула понижения степени для синуса: $\sin^2 \alpha = \frac{1 - \cos(2\alpha)}{2}$.
Применим ее к первому слагаемому:
$\sin^2 10^\circ = \frac{1 - \cos(2 \cdot 10^\circ)}{2} = \frac{1 - \cos 20^\circ}{2}$
Формула преобразования произведения косинусов в сумму: $\cos \alpha \cos \beta = \frac{1}{2}(\cos(\alpha - \beta) + \cos(\alpha + \beta))$.
Применим ее ко второму слагаемому (для удобства поменяем множители местами, чтобы получить положительный угол под первым косинусом):
$\cos 50^\circ \cos 70^\circ = \cos 70^\circ \cos 50^\circ = \frac{1}{2}(\cos(70^\circ - 50^\circ) + \cos(70^\circ + 50^\circ)) = \frac{1}{2}(\cos 20^\circ + \cos 120^\circ)$
Подставим полученные выражения в исходное:
$\sin^2 10^\circ + \cos 50^\circ \cos 70^\circ = \left(\frac{1 - \cos 20^\circ}{2}\right) + \left(\frac{1}{2}(\cos 20^\circ + \cos 120^\circ)\right)$
Раскроем скобки и упростим:
$\frac{1}{2} - \frac{\cos 20^\circ}{2} + \frac{\cos 20^\circ}{2} + \frac{\cos 120^\circ}{2} = \frac{1}{2} + \frac{\cos 120^\circ}{2}$
Найдем значение $\cos 120^\circ$. Используя формулу приведения, $\cos 120^\circ = \cos(180^\circ - 60^\circ) = -\cos 60^\circ$. Так как $\cos 60^\circ = \frac{1}{2}$, то $\cos 120^\circ = -\frac{1}{2}$.
Подставим это значение в наше выражение:
$\frac{1}{2} + \frac{-\frac{1}{2}}{2} = \frac{1}{2} - \frac{1}{4}$
Вычислим окончательный результат:
$\frac{1}{2} - \frac{1}{4} = \frac{2}{4} - \frac{1}{4} = \frac{1}{4}$
Ответ: $\frac{1}{4}$.
№23.4 (с. 77)
Условие. №23.4 (с. 77)
скриншот условия

Решите уравнение:
23.4 a) $ \cos\left(x + \frac{\pi}{3}\right) \cos\left(x - \frac{\pi}{3}\right) - 0,25 = 0; $
б) $ \sin\left(x + \frac{\pi}{3}\right) \cos\left(x - \frac{\pi}{6}\right) = 1. $
Решение 1. №23.4 (с. 77)

Решение 2. №23.4 (с. 77)


Решение 3. №23.4 (с. 77)

Решение 5. №23.4 (с. 77)


Решение 6. №23.4 (с. 77)
а) Исходное уравнение: $ \cos\left(x+\frac{\pi}{3}\right)\cos\left(x-\frac{\pi}{3}\right)-0,25=0 $
Перепишем уравнение, перенеся 0,25 в правую часть и представив его в виде дроби 1/4: $ \cos\left(x+\frac{\pi}{3}\right)\cos\left(x-\frac{\pi}{3}\right)=\frac{1}{4} $
Для левой части уравнения можно применить формулу произведения косинусов $ \cos\alpha\cos\beta = \frac{1}{2}(\cos(\alpha-\beta) + \cos(\alpha+\beta)) $, но также можно раскрыть каждый косинус по формуле косинуса суммы и разности. Воспользуемся вторым способом.
Формулы косинуса суммы и разности: $ \cos(\alpha \pm \beta) = \cos\alpha\cos\beta \mp \sin\alpha\sin\beta $.
$ \cos\left(x+\frac{\pi}{3}\right) = \cos x \cos\frac{\pi}{3} - \sin x \sin\frac{\pi}{3} = \frac{1}{2}\cos x - \frac{\sqrt{3}}{2}\sin x $
$ \cos\left(x-\frac{\pi}{3}\right) = \cos x \cos\frac{\pi}{3} + \sin x \sin\frac{\pi}{3} = \frac{1}{2}\cos x + \frac{\sqrt{3}}{2}\sin x $
Подставив эти выражения в левую часть уравнения, получим произведение вида $ (a-b)(a+b) $, которое равно $ a^2-b^2 $: $ \left(\frac{1}{2}\cos x - \frac{\sqrt{3}}{2}\sin x\right)\left(\frac{1}{2}\cos x + \frac{\sqrt{3}}{2}\sin x\right) = \left(\frac{1}{2}\cos x\right)^2 - \left(\frac{\sqrt{3}}{2}\sin x\right)^2 $
$ \frac{1}{4}\cos^2 x - \frac{3}{4}\sin^2 x = \frac{1}{4} $
Умножим обе части уравнения на 4: $ \cos^2 x - 3\sin^2 x = 1 $
Используем основное тригонометрическое тождество $ \sin^2 x = 1 - \cos^2 x $, чтобы выразить всё через косинус: $ \cos^2 x - 3(1 - \cos^2 x) = 1 $
$ \cos^2 x - 3 + 3\cos^2 x = 1 $
$ 4\cos^2 x = 4 $
$ \cos^2 x = 1 $
Это уравнение равносильно совокупности двух уравнений: $ \cos x = 1 $ или $ \cos x = -1 $.
Решениями уравнения $ \cos x = 1 $ являются $ x = 2\pi n, n \in \mathbb{Z} $.
Решениями уравнения $ \cos x = -1 $ являются $ x = \pi + 2\pi k, k \in \mathbb{Z} $.
Объединяя эти два множества решений, получаем общую формулу: $ x = \pi n, n \in \mathbb{Z} $.
Ответ: $ x = \pi n, n \in \mathbb{Z} $.
б) Исходное уравнение: $ \sin\left(x+\frac{\pi}{3}\right)\cos\left(x-\frac{\pi}{6}\right)=1 $
Воспользуемся формулой преобразования произведения тригонометрических функций в сумму: $ \sin\alpha\cos\beta = \frac{1}{2}(\sin(\alpha+\beta) + \sin(\alpha-\beta)) $
В нашем случае $ \alpha = x+\frac{\pi}{3} $ и $ \beta = x-\frac{\pi}{6} $.
Найдем сумму и разность аргументов:
$ \alpha+\beta = \left(x+\frac{\pi}{3}\right) + \left(x-\frac{\pi}{6}\right) = 2x + \frac{2\pi}{6} - \frac{\pi}{6} = 2x + \frac{\pi}{6} $
$ \alpha-\beta = \left(x+\frac{\pi}{3}\right) - \left(x-\frac{\pi}{6}\right) = \frac{\pi}{3} + \frac{\pi}{6} = \frac{2\pi}{6} + \frac{\pi}{6} = \frac{3\pi}{6} = \frac{\pi}{2} $
Подставим полученные выражения в формулу и в исходное уравнение: $ \frac{1}{2}\left(\sin\left(2x + \frac{\pi}{6}\right) + \sin\left(\frac{\pi}{2}\right)\right) = 1 $
Мы знаем, что $ \sin\left(\frac{\pi}{2}\right) = 1 $. Подставляем это значение: $ \frac{1}{2}\left(\sin\left(2x + \frac{\pi}{6}\right) + 1\right) = 1 $
Умножим обе части уравнения на 2: $ \sin\left(2x + \frac{\pi}{6}\right) + 1 = 2 $
$ \sin\left(2x + \frac{\pi}{6}\right) = 1 $
Это простейшее тригонометрическое уравнение. Решение для $ \sin(y) = 1 $ имеет вид $ y = \frac{\pi}{2} + 2\pi k, k \in \mathbb{Z} $.
В нашем случае $ y = 2x + \frac{\pi}{6} $: $ 2x + \frac{\pi}{6} = \frac{\pi}{2} + 2\pi k, k \in \mathbb{Z} $
Выразим $x$: $ 2x = \frac{\pi}{2} - \frac{\pi}{6} + 2\pi k $
$ 2x = \frac{3\pi - \pi}{6} + 2\pi k $
$ 2x = \frac{2\pi}{6} + 2\pi k $
$ 2x = \frac{\pi}{3} + 2\pi k $
Разделим обе части на 2: $ x = \frac{\pi}{6} + \pi k, k \in \mathbb{Z} $.
Ответ: $ x = \frac{\pi}{6} + \pi k, k \in \mathbb{Z} $.
№23.9 (с. 77)
Условие. №23.9 (с. 77)
скриншот условия

23.9 a) $ \frac{1}{2 \sin 10^\circ} - 2 \sin 70^\circ; $
б) $ \frac{\operatorname{tg} 60^\circ}{\sin 40^\circ} + 4 \cos 100^\circ. $
Решение 1. №23.9 (с. 77)

Решение 2. №23.9 (с. 77)

Решение 3. №23.9 (с. 77)

Решение 5. №23.9 (с. 77)

Решение 6. №23.9 (с. 77)
а) $\frac{1}{2 \sin 10^\circ} - 2 \sin 70^\circ$
Приведем выражение к общему знаменателю:
$\frac{1 - 2 \sin 70^\circ \cdot 2 \sin 10^\circ}{2 \sin 10^\circ} = \frac{1 - 4 \sin 70^\circ \sin 10^\circ}{2 \sin 10^\circ}$
Для преобразования произведения синусов в числителе воспользуемся формулой произведения синусов: $2 \sin \alpha \sin \beta = \cos(\alpha - \beta) - \cos(\alpha + \beta)$.
$4 \sin 70^\circ \sin 10^\circ = 2 \cdot (2 \sin 70^\circ \sin 10^\circ) = 2(\cos(70^\circ - 10^\circ) - \cos(70^\circ + 10^\circ)) = 2(\cos 60^\circ - \cos 80^\circ)$.
Мы знаем, что значение $\cos 60^\circ = \frac{1}{2}$. Подставим его в выражение:
$2(\frac{1}{2} - \cos 80^\circ) = 1 - 2 \cos 80^\circ$.
Теперь подставим полученный результат обратно в числитель исходной дроби:
$1 - (1 - 2 \cos 80^\circ) = 1 - 1 + 2 \cos 80^\circ = 2 \cos 80^\circ$.
Таким образом, наше выражение упрощается до:
$\frac{2 \cos 80^\circ}{2 \sin 10^\circ}$.
Применим формулу приведения $\cos \alpha = \sin(90^\circ - \alpha)$:
$\cos 80^\circ = \sin(90^\circ - 80^\circ) = \sin 10^\circ$.
Подставив это, мы получаем окончательный результат:
$\frac{2 \sin 10^\circ}{2 \sin 10^\circ} = 1$.
Ответ: 1.
б) $\frac{\tan 60^\circ}{\sin 40^\circ} + 4 \cos 100^\circ$
Сначала подставим известное значение $\tan 60^\circ = \sqrt{3}$:
$\frac{\sqrt{3}}{\sin 40^\circ} + 4 \cos 100^\circ$.
Приведем слагаемые к общему знаменателю $\sin 40^\circ$:
$\frac{\sqrt{3} + 4 \cos 100^\circ \sin 40^\circ}{\sin 40^\circ}$.
Для преобразования произведения в числителе используем формулу: $2 \cos \alpha \sin \beta = \sin(\alpha + \beta) - \sin(\alpha - \beta)$.
$4 \cos 100^\circ \sin 40^\circ = 2 \cdot (2 \cos 100^\circ \sin 40^\circ) = 2(\sin(100^\circ + 40^\circ) - \sin(100^\circ - 40^\circ)) = 2(\sin 140^\circ - \sin 60^\circ)$.
Используем формулу приведения $\sin(180^\circ - \alpha) = \sin \alpha$, чтобы упростить $\sin 140^\circ$:
$\sin 140^\circ = \sin(180^\circ - 40^\circ) = \sin 40^\circ$.
Также мы знаем, что $\sin 60^\circ = \frac{\sqrt{3}}{2}$.
Подставим эти значения:
$2(\sin 40^\circ - \frac{\sqrt{3}}{2}) = 2 \sin 40^\circ - \sqrt{3}$.
Теперь подставим это выражение в числитель исходной дроби:
$\sqrt{3} + (2 \sin 40^\circ - \sqrt{3}) = 2 \sin 40^\circ$.
В результате все выражение принимает вид:
$\frac{2 \sin 40^\circ}{\sin 40^\circ} = 2$.
Ответ: 2.
№23.5 (с. 77)
Условие. №23.5 (с. 77)
скриншот условия

23.5 a) $2\sin x \cos 3x + \sin 4x = 0$
б) $\sin \frac{x}{2} \sin \frac{3x}{2} = \frac{1}{2}. $
Решение 1. №23.5 (с. 77)

Решение 2. №23.5 (с. 77)


Решение 3. №23.5 (с. 77)

Решение 5. №23.5 (с. 77)


Решение 6. №23.5 (с. 77)
а) $2\sin x \cos 3x + \sin 4x = 0$
Для решения данного уравнения воспользуемся формулой преобразования произведения синуса и косинуса в сумму: $2 \sin \alpha \cos \beta = \sin(\alpha + \beta) + \sin(\alpha - \beta)$.
Применим эту формулу к первому слагаемому, где $\alpha = x$ и $\beta = 3x$:
$2\sin x \cos 3x = \sin(x + 3x) + \sin(x - 3x) = \sin 4x + \sin(-2x)$.
Так как синус — нечетная функция, $\sin(-2x) = -\sin 2x$. Следовательно, $2\sin x \cos 3x = \sin 4x - \sin 2x$.
Подставим полученное выражение в исходное уравнение:
$(\sin 4x - \sin 2x) + \sin 4x = 0$
$2\sin 4x - \sin 2x = 0$
Теперь используем формулу синуса двойного угла $\sin(2\alpha) = 2\sin\alpha\cos\alpha$. Для $\sin 4x$ имеем $\sin(2 \cdot 2x) = 2\sin 2x \cos 2x$.
Подставим это в наше уравнение:
$2(2\sin 2x \cos 2x) - \sin 2x = 0$
$4\sin 2x \cos 2x - \sin 2x = 0$
Вынесем общий множитель $\sin 2x$ за скобки:
$\sin 2x (4\cos 2x - 1) = 0$
Произведение равно нулю, когда хотя бы один из множителей равен нулю. Рассматриваем два случая:
1) $\sin 2x = 0$
$2x = k\pi$, где $k \in \mathbb{Z}$ (целые числа).
$x = \frac{k\pi}{2}$, $k \in \mathbb{Z}$.
2) $4\cos 2x - 1 = 0$
$\cos 2x = \frac{1}{4}$
$2x = \pm \arccos\left(\frac{1}{4}\right) + 2n\pi$, где $n \in \mathbb{Z}$.
$x = \pm \frac{1}{2} \arccos\left(\frac{1}{4}\right) + n\pi$, $n \in \mathbb{Z}$.
Объединяя решения, получаем окончательный ответ.
Ответ: $x = \frac{k\pi}{2}$, $x = \pm \frac{1}{2}\arccos\left(\frac{1}{4}\right) + n\pi$, где $k, n \in \mathbb{Z}$.
б) $\sin\frac{x}{2}\sin\frac{3x}{2} = \frac{1}{2}$
Для решения воспользуемся формулой преобразования произведения синусов в разность косинусов: $\sin \alpha \sin \beta = \frac{1}{2}(\cos(\alpha - \beta) - \cos(\alpha + \beta))$.
Применим эту формулу к левой части уравнения, где $\alpha = \frac{3x}{2}$ и $\beta = \frac{x}{2}$ (для удобства вычитания):
$\sin\frac{3x}{2}\sin\frac{x}{2} = \frac{1}{2}\left(\cos\left(\frac{3x}{2} - \frac{x}{2}\right) - \cos\left(\frac{3x}{2} + \frac{x}{2}\right)\right)$
$\sin\frac{3x}{2}\sin\frac{x}{2} = \frac{1}{2}\left(\cos\left(\frac{2x}{2}\right) - \cos\left(\frac{4x}{2}\right)\right) = \frac{1}{2}(\cos x - \cos 2x)$
Подставим полученное выражение в исходное уравнение:
$\frac{1}{2}(\cos x - \cos 2x) = \frac{1}{2}$
Умножим обе части на 2:
$\cos x - \cos 2x = 1$
Теперь используем формулу косинуса двойного угла $\cos(2\alpha) = 2\cos^2\alpha - 1$.
$\cos x - (2\cos^2 x - 1) = 1$
$\cos x - 2\cos^2 x + 1 = 1$
$\cos x - 2\cos^2 x = 0$
Вынесем общий множитель $\cos x$ за скобки:
$\cos x (1 - 2\cos x) = 0$
Произведение равно нулю, когда хотя бы один из множителей равен нулю. Рассматриваем два случая:
1) $\cos x = 0$
$x = \frac{\pi}{2} + k\pi$, где $k \in \mathbb{Z}$.
2) $1 - 2\cos x = 0$
$\cos x = \frac{1}{2}$
$x = \pm \frac{\pi}{3} + 2n\pi$, где $n \in \mathbb{Z}$.
Объединяя решения, получаем окончательный ответ.
Ответ: $x = \frac{\pi}{2} + k\pi$, $x = \pm \frac{\pi}{3} + 2n\pi$, где $k, n \in \mathbb{Z}$.
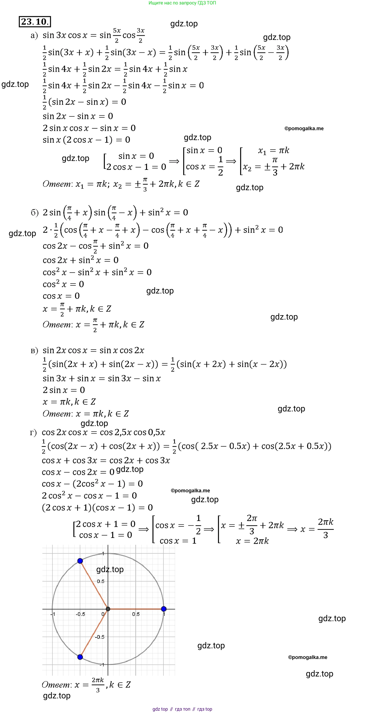
№23.10 (с. 77)
Условие. №23.10 (с. 77)
скриншот условия

23.10 Решите уравнение:
а) $\sin 3x \cos x = \sin \frac{5x}{2} \cos \frac{3x}{2}$;
б) $2 \sin \left(\frac{\pi}{4} + x\right) \sin \left(\frac{\pi}{4} - x\right) + \sin^2 x = 0$;
в) $\sin 2x \cos x = \sin x \cos 2x$;
г) $\cos 2x \cos x = \cos 2.5x \cos 0.5x$.
Решение 1. №23.10 (с. 77)

Решение 2. №23.10 (с. 77)



Решение 3. №23.10 (с. 77)

Решение 5. №23.10 (с. 77)



Решение 6. №23.10 (с. 77)
а)
Исходное уравнение: $ \sin 3x \cos x = \sin \frac{5x}{2} \cos \frac{3x}{2} $.
Для решения данного уравнения воспользуемся формулой преобразования произведения тригонометрических функций в сумму: $ \sin \alpha \cos \beta = \frac{1}{2}(\sin(\alpha+\beta) + \sin(\alpha-\beta)) $.
Применим эту формулу к левой части уравнения:
$ \sin 3x \cos x = \frac{1}{2}(\sin(3x+x) + \sin(3x-x)) = \frac{1}{2}(\sin 4x + \sin 2x) $.
Теперь применим формулу к правой части уравнения:
$ \sin \frac{5x}{2} \cos \frac{3x}{2} = \frac{1}{2}\left(\sin\left(\frac{5x}{2}+\frac{3x}{2}\right) + \sin\left(\frac{5x}{2}-\frac{3x}{2}\right)\right) = \frac{1}{2}\left(\sin\left(\frac{8x}{2}\right) + \sin\left(\frac{2x}{2}\right)\right) = \frac{1}{2}(\sin 4x + \sin x) $.
Приравняем полученные выражения:
$ \frac{1}{2}(\sin 4x + \sin 2x) = \frac{1}{2}(\sin 4x + \sin x) $.
Умножим обе части на 2 и вычтем $ \sin 4x $:
$ \sin 2x = \sin x $.
Перенесем все в левую часть и воспользуемся формулой разности синусов $ \sin \alpha - \sin \beta = 2 \sin \frac{\alpha-\beta}{2} \cos \frac{\alpha+\beta}{2} $:
$ \sin 2x - \sin x = 0 $
$ 2 \sin \frac{2x-x}{2} \cos \frac{2x+x}{2} = 0 $
$ 2 \sin \frac{x}{2} \cos \frac{3x}{2} = 0 $.
Произведение равно нулю, когда один из множителей равен нулю. Получаем два случая:
1) $ \sin \frac{x}{2} = 0 \implies \frac{x}{2} = \pi k \implies x = 2\pi k $, где $ k \in Z $.
2) $ \cos \frac{3x}{2} = 0 \implies \frac{3x}{2} = \frac{\pi}{2} + \pi n \implies 3x = \pi + 2\pi n \implies x = \frac{\pi}{3} + \frac{2\pi n}{3} $, где $ n \in Z $.
Ответ: $x = 2\pi k; \quad x = \frac{\pi}{3} + \frac{2\pi n}{3}$, где $k, n \in Z$.
б)
Исходное уравнение: $ 2 \sin\left(\frac{\pi}{4} + x\right) \sin\left(\frac{\pi}{4} - x\right) + \sin^2 x = 0 $.
Воспользуемся формулой преобразования произведения синусов: $ 2 \sin \alpha \sin \beta = \cos(\alpha-\beta) - \cos(\alpha+\beta) $.
Преобразуем первое слагаемое уравнения, где $ \alpha = \frac{\pi}{4} + x $ и $ \beta = \frac{\pi}{4} - x $:
$ 2 \sin\left(\frac{\pi}{4} + x\right) \sin\left(\frac{\pi}{4} - x\right) = \cos\left(\left(\frac{\pi}{4}+x\right) - \left(\frac{\pi}{4}-x\right)\right) - \cos\left(\left(\frac{\pi}{4}+x\right) + \left(\frac{\pi}{4}-x\right)\right) $
$ = \cos(2x) - \cos\left(\frac{2\pi}{4}\right) = \cos(2x) - \cos\left(\frac{\pi}{2}\right) = \cos(2x) - 0 = \cos(2x) $.
Подставим полученное выражение обратно в уравнение:
$ \cos(2x) + \sin^2 x = 0 $.
Используем формулу двойного угла для косинуса $ \cos(2x) = 1 - 2\sin^2 x $:
$ (1 - 2\sin^2 x) + \sin^2 x = 0 $
$ 1 - \sin^2 x = 0 $
$ \sin^2 x = 1 $.
Отсюда следует, что $ \sin x = 1 $ или $ \sin x = -1 $.
Объединяя решения этих двух простейших уравнений ($ x = \frac{\pi}{2} + 2\pi k $ и $ x = -\frac{\pi}{2} + 2\pi m $), получаем общую серию корней, которая соответствует точкам, где $ \cos x = 0 $:
$ x = \frac{\pi}{2} + \pi n $, где $ n \in Z $.
Ответ: $x = \frac{\pi}{2} + \pi n$, где $n \in Z$.
в)
Исходное уравнение: $ \sin 2x \cos x = \sin x \cos 2x $.
Перенесем все члены уравнения в левую часть:
$ \sin 2x \cos x - \cos 2x \sin x = 0 $.
Левая часть уравнения представляет собой формулу синуса разности углов: $ \sin(\alpha - \beta) = \sin \alpha \cos \beta - \cos \alpha \sin \beta $.
Применим эту формулу, где $ \alpha = 2x $ и $ \beta = x $:
$ \sin(2x - x) = 0 $
$ \sin x = 0 $.
Решением этого простейшего тригонометрического уравнения является:
$ x = \pi n $, где $ n \in Z $.
Ответ: $x = \pi n$, где $n \in Z$.
г)
Исходное уравнение: $ \cos 2x \cos x = \cos 2.5x \cos 0.5x $.
Для решения этого уравнения применим формулу преобразования произведения косинусов в сумму: $ \cos \alpha \cos \beta = \frac{1}{2}(\cos(\alpha+\beta) + \cos(\alpha-\beta)) $.
Преобразуем левую часть уравнения:
$ \cos 2x \cos x = \frac{1}{2}(\cos(2x+x) + \cos(2x-x)) = \frac{1}{2}(\cos 3x + \cos x) $.
Преобразуем правую часть уравнения, заметив, что $ 2.5x = \frac{5x}{2} $ и $ 0.5x = \frac{x}{2} $:
$ \cos \frac{5x}{2} \cos \frac{x}{2} = \frac{1}{2}\left(\cos\left(\frac{5x}{2}+\frac{x}{2}\right) + \cos\left(\frac{5x}{2}-\frac{x}{2}\right)\right) = \frac{1}{2}\left(\cos\left(\frac{6x}{2}\right) + \cos\left(\frac{4x}{2}\right)\right) = \frac{1}{2}(\cos 3x + \cos 2x) $.
Приравняем полученные выражения:
$ \frac{1}{2}(\cos 3x + \cos x) = \frac{1}{2}(\cos 3x + \cos 2x) $.
Умножим обе части на 2 и вычтем $ \cos 3x $:
$ \cos x = \cos 2x $.
Это равенство выполняется в двух случаях:
1) $ 2x = x + 2\pi k \implies x = 2\pi k $, где $ k \in Z $.
2) $ 2x = -x + 2\pi n \implies 3x = 2\pi n \implies x = \frac{2\pi n}{3} $, где $ n \in Z $.
Заметим, что первая серия корней $ x=2\pi k $ является подмножеством второй серии $ x = \frac{2\pi n}{3} $ (получается при $ n=3k $). Следовательно, все решения можно записать одной формулой.
Ответ: $x = \frac{2\pi n}{3}$, где $n \in Z$.
№23.6 (с. 77)
Условие. №23.6 (с. 77)
скриншот условия

23.6 Докажите тождество:
a) $2\sin t \sin 2t + \cos 3t = \cos t$;
б) $\sin \alpha - 2 \sin \left(\frac{\alpha}{2} - 15^\circ\right) \cos \left(\frac{\alpha}{2} + 15^\circ\right) = \frac{1}{2}$.
Решение 1. №23.6 (с. 77)

Решение 2. №23.6 (с. 77)

Решение 3. №23.6 (с. 77)

Решение 5. №23.6 (с. 77)

Решение 6. №23.6 (с. 77)
Для доказательства тождества преобразуем его левую часть. Воспользуемся формулой преобразования произведения синусов в разность косинусов: $2\sin \alpha \sin \beta = \cos(\alpha - \beta) - \cos(\alpha + \beta)$.
Применим эту формулу к первому слагаемому, где в нашем случае $\alpha=2t$ и $\beta=t$:
$2\sin t \sin 2t = \cos(2t - t) - \cos(2t + t) = \cos t - \cos 3t$.
Теперь подставим полученное выражение обратно в левую часть исходного равенства:
$(\cos t - \cos 3t) + \cos 3t = \cos t - \cos 3t + \cos 3t = \cos t$.
В результате преобразований мы получили, что левая часть тождества равна правой части: $\cos t = \cos t$. Тождество доказано.
Ответ:
б)Для доказательства тождества преобразуем его левую часть. Рассмотрим выражение $2\sin(\frac{\alpha}{2} - 15^\circ)\cos(\frac{\alpha}{2} + 15^\circ)$ и применим к нему формулу преобразования произведения синуса и косинуса в сумму синусов: $2\sin A \cos B = \sin(A + B) + \sin(A - B)$.
В нашем случае $A = \frac{\alpha}{2} - 15^\circ$ и $B = \frac{\alpha}{2} + 15^\circ$.
Найдём сумму и разность аргументов:
$A + B = (\frac{\alpha}{2} - 15^\circ) + (\frac{\alpha}{2} + 15^\circ) = \frac{\alpha}{2} + \frac{\alpha}{2} - 15^\circ + 15^\circ = \alpha$.
$A - B = (\frac{\alpha}{2} - 15^\circ) - (\frac{\alpha}{2} + 15^\circ) = \frac{\alpha}{2} - 15^\circ - \frac{\alpha}{2} - 15^\circ = -30^\circ$.
Подставим найденные значения в формулу:
$2\sin(\frac{\alpha}{2} - 15^\circ)\cos(\frac{\alpha}{2} + 15^\circ) = \sin(\alpha) + \sin(-30^\circ)$.
Используя свойство нечетности синуса $\sin(-x) = -\sin(x)$ и значение $\sin(30^\circ) = \frac{1}{2}$, получаем:
$\sin(\alpha) + \sin(-30^\circ) = \sin\alpha - \sin 30^\circ = \sin\alpha - \frac{1}{2}$.
Теперь подставим это выражение в левую часть исходного тождества:
$\sin\alpha - (\sin\alpha - \frac{1}{2}) = \sin\alpha - \sin\alpha + \frac{1}{2} = \frac{1}{2}$.
Левая часть равна правой части: $\frac{1}{2} = \frac{1}{2}$. Тождество доказано.
Ответ:
№23.2 (с. 77)
Условие. №23.2 (с. 77)
скриншот условия

23.2 a) $\sin(\alpha + \beta) \sin(\alpha - \beta)$;
б) $\cos(\alpha + \beta) \cos(\alpha - \beta)$;
В) $\cos\left(\frac{\alpha}{2} + \frac{\beta}{2}\right) \cos\left(\frac{\alpha}{2} - \frac{\beta}{2}\right)$;
Г) $2\sin(\alpha + \beta) \cos(\alpha - \beta)$.
Решение 1. №23.2 (с. 77)

Решение 2. №23.2 (с. 77)

Решение 3. №23.2 (с. 77)

Решение 5. №23.2 (с. 77)


Решение 6. №23.2 (с. 77)
а) Чтобы преобразовать данное выражение, воспользуемся формулами синуса суммы и разности двух углов:
$ \sin(\alpha + \beta) = \sin\alpha\cos\beta + \cos\alpha\sin\beta $
$ \sin(\alpha - \beta) = \sin\alpha\cos\beta - \cos\alpha\sin\beta $
Перемножим эти два выражения. Заметим, что это произведение имеет вид $ (a+b)(a-b) = a^2 - b^2 $, где $ a = \sin\alpha\cos\beta $ и $ b = \cos\alpha\sin\beta $.
$ \sin(\alpha + \beta)\sin(\alpha - \beta) = (\sin\alpha\cos\beta)^2 - (\cos\alpha\sin\beta)^2 = \sin^2\alpha\cos^2\beta - \cos^2\alpha\sin^2\beta $
Используем основное тригонометрическое тождество $ \cos^2x = 1 - \sin^2x $ для преобразования выражения:
$ \sin^2\alpha(1 - \sin^2\beta) - (1 - \sin^2\alpha)\sin^2\beta = \sin^2\alpha - \sin^2\alpha\sin^2\beta - \sin^2\beta + \sin^2\alpha\sin^2\beta $
$ = \sin^2\alpha - \sin^2\beta $
Это выражение также можно представить в виде $ \cos^2\beta - \cos^2\alpha $.
Другой способ решения — использование формулы преобразования произведения синусов в разность косинусов: $ \sin(x)\sin(y) = \frac{1}{2}(\cos(x-y) - \cos(x+y)) $. При $ x = \alpha + \beta $ и $ y = \alpha - \beta $ получим $ \frac{1}{2}(\cos(2\beta) - \cos(2\alpha)) $, что эквивалентно $ \sin^2\alpha - \sin^2\beta $.
Ответ: $ \sin^2\alpha - \sin^2\beta $.
б) Аналогично предыдущему пункту, воспользуемся формулами косинуса суммы и разности:
$ \cos(\alpha + \beta) = \cos\alpha\cos\beta - \sin\alpha\sin\beta $
$ \cos(\alpha - \beta) = \cos\alpha\cos\beta + \sin\alpha\sin\beta $
Их произведение — это разность квадратов:
$ \cos(\alpha + \beta)\cos(\alpha - \beta) = (\cos\alpha\cos\beta)^2 - (\sin\alpha\sin\beta)^2 = \cos^2\alpha\cos^2\beta - \sin^2\alpha\sin^2\beta $
Преобразуем выражение, используя основное тригонометрическое тождество. Например, заменим $ \cos^2\beta = 1 - \sin^2\beta $:
$ \cos^2\alpha(1 - \sin^2\beta) - \sin^2\alpha\sin^2\beta = \cos^2\alpha - \cos^2\alpha\sin^2\beta - \sin^2\alpha\sin^2\beta $
Вынесем $ -\sin^2\beta $ за скобки:
$ = \cos^2\alpha - \sin^2\beta(\cos^2\alpha + \sin^2\alpha) $
Так как $ \cos^2\alpha + \sin^2\alpha = 1 $, получаем:
$ = \cos^2\alpha - \sin^2\beta $
Альтернативно, можно было получить $ \cos^2\beta - \sin^2\alpha $ или $ \cos^2\alpha + \cos^2\beta - 1 $.
Ответ: $ \cos^2\alpha - \sin^2\beta $.
в) Для преобразования произведения косинусов в сумму используем формулу:
$ \cos(x)\cos(y) = \frac{1}{2}(\cos(x-y) + \cos(x+y)) $
В данном случае $ x = \frac{\alpha}{2} + \frac{\beta}{2} $ и $ y = \frac{\alpha}{2} - \frac{\beta}{2} $.
Найдём сумму и разность аргументов:
$ x - y = (\frac{\alpha}{2} + \frac{\beta}{2}) - (\frac{\alpha}{2} - \frac{\beta}{2}) = \frac{\alpha}{2} + \frac{\beta}{2} - \frac{\alpha}{2} + \frac{\beta}{2} = \beta $
$ x + y = (\frac{\alpha}{2} + \frac{\beta}{2}) + (\frac{\alpha}{2} - \frac{\beta}{2}) = \frac{\alpha}{2} + \frac{\beta}{2} + \frac{\alpha}{2} - \frac{\beta}{2} = \alpha $
Подставим найденные значения в формулу:
$ \cos\left(\frac{\alpha}{2} + \frac{\beta}{2}\right) \cos\left(\frac{\alpha}{2} - \frac{\beta}{2}\right) = \frac{1}{2}(\cos\beta + \cos\alpha) $
Ответ: $ \frac{1}{2}(\cos\alpha + \cos\beta) $.
г) Для преобразования произведения синуса на косинус используем формулу:
$ \sin(x)\cos(y) = \frac{1}{2}(\sin(x+y) + \sin(x-y)) $
Умножив обе части на 2, получим: $ 2\sin(x)\cos(y) = \sin(x+y) + \sin(x-y) $.
В нашем выражении $ x = \alpha + \beta $ и $ y = \alpha - \beta $.
Найдём сумму и разность этих аргументов:
$ x + y = (\alpha + \beta) + (\alpha - \beta) = 2\alpha $
$ x - y = (\alpha + \beta) - (\alpha - \beta) = 2\beta $
Подставляем в формулу:
$ 2\sin(\alpha + \beta)\cos(\alpha - \beta) = \sin(2\alpha) + \sin(2\beta) $
Ответ: $ \sin(2\alpha) + \sin(2\beta) $.
№23.7 (с. 77)
Условие. №23.7 (с. 77)
скриншот условия

23.7 Преобразуйте произведение в сумму:
a) $\sin 10^\circ \cos 8^\circ \cos 6^\circ$
б) $4 \sin 25^\circ \cos 15^\circ \sin 5^\circ$
Решение 1. №23.7 (с. 77)

Решение 2. №23.7 (с. 77)

Решение 3. №23.7 (с. 77)

Решение 5. №23.7 (с. 77)

Решение 6. №23.7 (с. 77)
а) Для преобразования произведения $ \sin 10^\circ \cos 8^\circ \cos 6^\circ $ в сумму будем использовать формулы преобразования произведения тригонометрических функций в сумму. Целесообразно начать с произведения косинусов.
Формула произведения косинусов: $ \cos \alpha \cos \beta = \frac{1}{2}(\cos(\alpha + \beta) + \cos(\alpha - \beta)) $.
Применим ее к $ \cos 8^\circ \cos 6^\circ $:
$ \cos 8^\circ \cos 6^\circ = \frac{1}{2}(\cos(8^\circ + 6^\circ) + \cos(8^\circ - 6^\circ)) = \frac{1}{2}(\cos 14^\circ + \cos 2^\circ) $.
Теперь исходное выражение принимает вид:
$ \sin 10^\circ \cdot \frac{1}{2}(\cos 14^\circ + \cos 2^\circ) = \frac{1}{2}(\sin 10^\circ \cos 14^\circ + \sin 10^\circ \cos 2^\circ) $.
Далее используем формулу произведения синуса на косинус: $ \sin \alpha \cos \beta = \frac{1}{2}(\sin(\alpha + \beta) + \sin(\alpha - \beta)) $.
Преобразуем каждое слагаемое в скобках:
$ \sin 10^\circ \cos 14^\circ = \frac{1}{2}(\sin(10^\circ + 14^\circ) + \sin(10^\circ - 14^\circ)) = \frac{1}{2}(\sin 24^\circ + \sin(-4^\circ)) = \frac{1}{2}(\sin 24^\circ - \sin 4^\circ) $.
$ \sin 10^\circ \cos 2^\circ = \frac{1}{2}(\sin(10^\circ + 2^\circ) + \sin(10^\circ - 2^\circ)) = \frac{1}{2}(\sin 12^\circ + \sin 8^\circ) $.
Подставляем обратно и получаем окончательный результат:
$ \frac{1}{2} \left( \frac{1}{2}(\sin 24^\circ - \sin 4^\circ) + \frac{1}{2}(\sin 12^\circ + \sin 8^\circ) \right) = \frac{1}{4}(\sin 24^\circ - \sin 4^\circ + \sin 12^\circ + \sin 8^\circ) $.
Расположим слагаемые в порядке убывания аргументов для удобства:
$ \frac{1}{4}(\sin 24^\circ + \sin 12^\circ + \sin 8^\circ - \sin 4^\circ) $.
Ответ: $ \frac{1}{4}(\sin 24^\circ + \sin 12^\circ + \sin 8^\circ - \sin 4^\circ) $.
б) Для преобразования произведения $ 4 \sin 25^\circ \cos 15^\circ \sin 5^\circ $ в сумму, сгруппируем множители и применим формулы преобразования произведения в сумму. Удобно представить $4$ как $2 \cdot 2$.
$ 4 \sin 25^\circ \cos 15^\circ \sin 5^\circ = 2 \sin 25^\circ \cdot (2 \cos 15^\circ \sin 5^\circ) $.
Используем формулу $ 2 \cos \alpha \sin \beta = \sin(\alpha + \beta) - \sin(\alpha - \beta) $:
$ 2 \cos 15^\circ \sin 5^\circ = \sin(15^\circ + 5^\circ) - \sin(15^\circ - 5^\circ) = \sin 20^\circ - \sin 10^\circ $.
Подставим это в исходное выражение:
$ 2 \sin 25^\circ (\sin 20^\circ - \sin 10^\circ) = 2 \sin 25^\circ \sin 20^\circ - 2 \sin 25^\circ \sin 10^\circ $.
Теперь применим формулу $ 2 \sin \alpha \sin \beta = \cos(\alpha - \beta) - \cos(\alpha + \beta) $ к каждому слагаемому:
$ 2 \sin 25^\circ \sin 20^\circ = \cos(25^\circ - 20^\circ) - \cos(25^\circ + 20^\circ) = \cos 5^\circ - \cos 45^\circ $.
$ 2 \sin 25^\circ \sin 10^\circ = \cos(25^\circ - 10^\circ) - \cos(25^\circ + 10^\circ) = \cos 15^\circ - \cos 35^\circ $.
Теперь вычтем второе из первого:
$ (\cos 5^\circ - \cos 45^\circ) - (\cos 15^\circ - \cos 35^\circ) = \cos 5^\circ - \cos 45^\circ - \cos 15^\circ + \cos 35^\circ $.
Группируя слагаемые и зная, что $ \cos 45^\circ = \frac{\sqrt{2}}{2} $, получаем:
$ \cos 35^\circ + \cos 5^\circ - \cos 15^\circ - \frac{\sqrt{2}}{2} $.
Ответ: $ \cos 35^\circ + \cos 5^\circ - \cos 15^\circ - \frac{\sqrt{2}}{2} $.
Помогло решение? Оставьте отзыв в комментариях ниже.