Страница 230 - гдз по математике 5 класс учебник Мерзляк, Полонский

Авторы: Мерзляк А. Г., Полонский В. Б., Якир М. С.
Тип: Учебник
Издательство: Просвещение
Год издания: 2023 - 2025
Уровень обучения: базовый
Цвет обложки: голубой, зелёный
ISBN: 978-5-09-105796-6
Популярные ГДЗ в 5 классе
Cтраница 230

№1 (с. 230)
Условие. №1 (с. 230)
скриншот условия

1. Сколько минут составляют:
1) $\frac{1}{5}$ ч;
2) $\frac{1}{4}$ ч;
3) $\frac{1}{6}$ ч;
4) $\frac{1}{3}$ ч?
Решение. №1 (с. 230)

Решение 2. №1 (с. 230)
Для того чтобы найти, сколько минут составляет определенная часть часа, необходимо умножить эту часть на общее количество минут в одном часе. В одном часе 60 минут.
1) Вычислим, сколько минут составляет $\frac{1}{5}$ часа:
$\frac{1}{5} \text{ ч} = \frac{1}{5} \cdot 60 \text{ мин} = \frac{60}{5} \text{ мин} = 12 \text{ мин}.$
Ответ: 12 минут.
2) Вычислим, сколько минут составляет $\frac{1}{4}$ часа:
$\frac{1}{4} \text{ ч} = \frac{1}{4} \cdot 60 \text{ мин} = \frac{60}{4} \text{ мин} = 15 \text{ мин}.$
Ответ: 15 минут.
3) Вычислим, сколько минут составляет $\frac{1}{6}$ часа:
$\frac{1}{6} \text{ ч} = \frac{1}{6} \cdot 60 \text{ мин} = \frac{60}{6} \text{ мин} = 10 \text{ мин}.$
Ответ: 10 минут.
4) Вычислим, сколько минут составляет $\frac{1}{3}$ часа:
$\frac{1}{3} \text{ ч} = \frac{1}{3} \cdot 60 \text{ мин} = \frac{60}{3} \text{ мин} = 20 \text{ мин}.$
Ответ: 20 минут.
№2 (с. 230)
Условие. №2 (с. 230)
скриншот условия

2. На прямоугольном участке земли, стороны которого равны 50 м и 40 м, планируют разбить розарий прямоугольной формы со сторонами 20 м и 15 м. Какую часть площади всего участка займёт розарий?
Решение. №2 (с. 230)

Решение 2. №2 (с. 230)
Чтобы определить, какую часть площади всего участка займёт розарий, необходимо найти отношение площади розария к общей площади участка. Площадь прямоугольника вычисляется как произведение его сторон ($S = a \cdot b$).
1. Вычислим площадь всего прямоугольного участка земли со сторонами 50 м и 40 м:
$S_{участка} = 50 \text{ м} \cdot 40 \text{ м} = 2000 \text{ м}^2$
2. Вычислим площадь розария прямоугольной формы со сторонами 20 м и 15 м:
$S_{розария} = 20 \text{ м} \cdot 15 \text{ м} = 300 \text{ м}^2$
3. Теперь найдем, какую часть площади всего участка занимает розарий. Для этого разделим площадь розария на площадь всего участка и сократим полученную дробь:
$\frac{S_{розария}}{S_{участка}} = \frac{300 \text{ м}^2}{2000 \text{ м}^2} = \frac{300}{2000} = \frac{30}{200} = \frac{3}{20}$
Таким образом, розарий займёт $\frac{3}{20}$ от площади всего участка.
Ответ: $\frac{3}{20}$
№3 (с. 230)
Условие. №3 (с. 230)
скриншот условия

3. Масса 1 л керосина равна $\frac{4}{5}$ кг, а 1 л бензина — $\frac{7}{10}$ кг. Масса литра какого топлива, керосина или бензина, больше и на сколько килограммов?
Решение. №3 (с. 230)

Решение 2. №3 (с. 230)
Для того чтобы сравнить массу 1 литра керосина ($\frac{4}{5}$ кг) и массу 1 литра бензина ($\frac{7}{10}$ кг), необходимо привести дроби к общему знаменателю. Наименьшим общим знаменателем для дробей со знаменателями 5 и 10 является число 10.
Приведем дробь $\frac{4}{5}$ к знаменателю 10. для этого умножим числитель и знаменатель этой дроби на 2:
$\frac{4}{5} = \frac{4 \cdot 2}{5 \cdot 2} = \frac{8}{10}$ кг.
Теперь сравним массы: $\frac{8}{10}$ кг (керосин) и $\frac{7}{10}$ кг (бензин).
Поскольку числитель 8 больше числителя 7, то и дробь $\frac{8}{10}$ больше дроби $\frac{7}{10}$.
$\frac{8}{10} > \frac{7}{10}$
Следовательно, масса 1 литра керосина больше массы 1 литра бензина.
Чтобы найти, на сколько килограммов масса керосина больше, необходимо из большей массы вычесть меньшую:
$\frac{8}{10} - \frac{7}{10} = \frac{8-7}{10} = \frac{1}{10}$ кг.
Ответ: Масса 1 литра керосина больше массы 1 литра бензина на $\frac{1}{10}$ кг.
№1009 (с. 230)
Условие. №1009 (с. 230)
скриншот условия

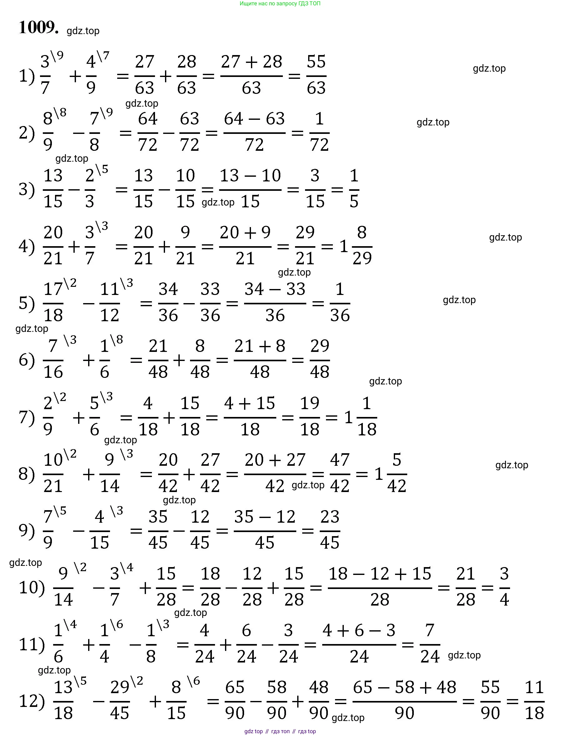
1009. Вычислите:
1) $ \frac{3}{7} + \frac{4}{9} $;
2) $ \frac{8}{9} - \frac{7}{8} $;
3) $ \frac{13}{15} - \frac{2}{3} $;
4) $ \frac{20}{21} + \frac{3}{7} $;
5) $ \frac{17}{18} - \frac{11}{12} $;
6) $ \frac{7}{16} + \frac{1}{6} $;
7) $ \frac{2}{9} + \frac{5}{6} $;
8) $ \frac{10}{21} + \frac{9}{14} $;
9) $ \frac{7}{9} - \frac{4}{15} $;
10) $ \frac{9}{14} - \frac{3}{7} + \frac{15}{28} $;
11) $ \frac{1}{6} + \frac{1}{4} - \frac{1}{8} $;
12) $ \frac{13}{18} - \frac{29}{45} + \frac{8}{15} $.
Решение. №1009 (с. 230)

Решение 2. №1009 (с. 230)
1) $\frac{3}{7} + \frac{4}{9}$
Для сложения дробей с разными знаменателями приведем их к общему знаменателю. Наименьший общий знаменатель для 7 и 9 равен их произведению, так как они взаимно простые. Общий знаменатель: $7 \times 9 = 63$.
$\frac{3}{7} + \frac{4}{9} = \frac{3 \cdot 9}{7 \cdot 9} + \frac{4 \cdot 7}{9 \cdot 7} = \frac{27}{63} + \frac{28}{63} = \frac{27+28}{63} = \frac{55}{63}$
Ответ: $\frac{55}{63}$
2) $\frac{8}{9} - \frac{7}{8}$
Приведем дроби к общему знаменателю. Наименьший общий знаменатель для 9 и 8 равен $9 \times 8 = 72$.
$\frac{8}{9} - \frac{7}{8} = \frac{8 \cdot 8}{9 \cdot 8} - \frac{7 \cdot 9}{8 \cdot 9} = \frac{64}{72} - \frac{63}{72} = \frac{64-63}{72} = \frac{1}{72}$
Ответ: $\frac{1}{72}$
3) $\frac{13}{15} - \frac{2}{3}$
Общий знаменатель для 15 и 3 равен 15. Приведем дробь $\frac{2}{3}$ к знаменателю 15.
$\frac{13}{15} - \frac{2}{3} = \frac{13}{15} - \frac{2 \cdot 5}{3 \cdot 5} = \frac{13}{15} - \frac{10}{15} = \frac{13-10}{15} = \frac{3}{15}$
Сократим полученную дробь: $\frac{3}{15} = \frac{3 \div 3}{15 \div 3} = \frac{1}{5}$
Ответ: $\frac{1}{5}$
4) $\frac{20}{21} + \frac{3}{7}$
Общий знаменатель для 21 и 7 равен 21. Приведем дробь $\frac{3}{7}$ к знаменателю 21.
$\frac{20}{21} + \frac{3}{7} = \frac{20}{21} + \frac{3 \cdot 3}{7 \cdot 3} = \frac{20}{21} + \frac{9}{21} = \frac{20+9}{21} = \frac{29}{21}$
Выделим целую часть: $\frac{29}{21} = 1\frac{8}{21}$
Ответ: $1\frac{8}{21}$
5) $\frac{17}{18} - \frac{11}{12}$
Найдем наименьший общий знаменатель для 18 и 12. $18 = 2 \cdot 3^2$, $12 = 2^2 \cdot 3$. НОК(18, 12) = $2^2 \cdot 3^2 = 36$.
$\frac{17}{18} - \frac{11}{12} = \frac{17 \cdot 2}{18 \cdot 2} - \frac{11 \cdot 3}{12 \cdot 3} = \frac{34}{36} - \frac{33}{36} = \frac{34-33}{36} = \frac{1}{36}$
Ответ: $\frac{1}{36}$
6) $\frac{7}{16} + \frac{1}{6}$
Найдем наименьший общий знаменатель для 16 и 6. $16 = 2^4$, $6 = 2 \cdot 3$. НОК(16, 6) = $2^4 \cdot 3 = 48$.
$\frac{7}{16} + \frac{1}{6} = \frac{7 \cdot 3}{16 \cdot 3} + \frac{1 \cdot 8}{6 \cdot 8} = \frac{21}{48} + \frac{8}{48} = \frac{21+8}{48} = \frac{29}{48}$
Ответ: $\frac{29}{48}$
7) $\frac{2}{9} + \frac{5}{6}$
Найдем наименьший общий знаменатель для 9 и 6. $9 = 3^2$, $6 = 2 \cdot 3$. НОК(9, 6) = $2 \cdot 3^2 = 18$.
$\frac{2}{9} + \frac{5}{6} = \frac{2 \cdot 2}{9 \cdot 2} + \frac{5 \cdot 3}{6 \cdot 3} = \frac{4}{18} + \frac{15}{18} = \frac{4+15}{18} = \frac{19}{18}$
Выделим целую часть: $\frac{19}{18} = 1\frac{1}{18}$
Ответ: $1\frac{1}{18}$
8) $\frac{10}{21} + \frac{9}{14}$
Найдем наименьший общий знаменатель для 21 и 14. $21 = 3 \cdot 7$, $14 = 2 \cdot 7$. НОК(21, 14) = $2 \cdot 3 \cdot 7 = 42$.
$\frac{10}{21} + \frac{9}{14} = \frac{10 \cdot 2}{21 \cdot 2} + \frac{9 \cdot 3}{14 \cdot 3} = \frac{20}{42} + \frac{27}{42} = \frac{20+27}{42} = \frac{47}{42}$
Выделим целую часть: $\frac{47}{42} = 1\frac{5}{42}$
Ответ: $1\frac{5}{42}$
9) $\frac{7}{9} - \frac{4}{15}$
Найдем наименьший общий знаменатель для 9 и 15. $9 = 3^2$, $15 = 3 \cdot 5$. НОК(9, 15) = $3^2 \cdot 5 = 45$.
$\frac{7}{9} - \frac{4}{15} = \frac{7 \cdot 5}{9 \cdot 5} - \frac{4 \cdot 3}{15 \cdot 3} = \frac{35}{45} - \frac{12}{45} = \frac{35-12}{45} = \frac{23}{45}$
Ответ: $\frac{23}{45}$
10) $\frac{9}{14} - \frac{3}{7} + \frac{15}{28}$
Найдем наименьший общий знаменатель для 14, 7 и 28. НОК(14, 7, 28) = 28.
$\frac{9 \cdot 2}{14 \cdot 2} - \frac{3 \cdot 4}{7 \cdot 4} + \frac{15}{28} = \frac{18}{28} - \frac{12}{28} + \frac{15}{28} = \frac{18 - 12 + 15}{28} = \frac{6+15}{28} = \frac{21}{28}$
Сократим полученную дробь: $\frac{21}{28} = \frac{21 \div 7}{28 \div 7} = \frac{3}{4}$
Ответ: $\frac{3}{4}$
11) $\frac{1}{6} + \frac{1}{4} - \frac{1}{8}$
Найдем наименьший общий знаменатель для 6, 4 и 8. НОК(6, 4, 8) = 24.
$\frac{1 \cdot 4}{6 \cdot 4} + \frac{1 \cdot 6}{4 \cdot 6} - \frac{1 \cdot 3}{8 \cdot 3} = \frac{4}{24} + \frac{6}{24} - \frac{3}{24} = \frac{4+6-3}{24} = \frac{7}{24}$
Ответ: $\frac{7}{24}$
12) $\frac{13}{18} - \frac{29}{45} + \frac{8}{15}$
Найдем наименьший общий знаменатель для 18, 45 и 15. $18 = 2 \cdot 3^2$, $45 = 3^2 \cdot 5$, $15 = 3 \cdot 5$. НОК(18, 45, 15) = $2 \cdot 3^2 \cdot 5 = 90$.
$\frac{13 \cdot 5}{18 \cdot 5} - \frac{29 \cdot 2}{45 \cdot 2} + \frac{8 \cdot 6}{15 \cdot 6} = \frac{65}{90} - \frac{58}{90} + \frac{48}{90} = \frac{65-58+48}{90} = \frac{7+48}{90} = \frac{55}{90}$
Сократим полученную дробь: $\frac{55}{90} = \frac{55 \div 5}{90 \div 5} = \frac{11}{18}$
Ответ: $\frac{11}{18}$
№1010 (с. 230)
Условие. №1010 (с. 230)
скриншот условия

1010. Вычислите:
1) $ \frac{1}{4} + \frac{3}{5}; $
2) $ \frac{13}{16} - \frac{9}{32}; $
3) $ \frac{14}{15} - \frac{7}{10}; $
4) $ \frac{3}{8} + \frac{1}{6}; $
5) $ \frac{9}{25} - \frac{7}{20}; $
6) $ \frac{11}{24} - \frac{3}{16}; $
7) $ \frac{1}{3} - \frac{1}{6} + \frac{1}{4}; $
8) $ \frac{2}{5} + \frac{4}{15} - \frac{5}{9}. $
Решение. №1010 (с. 230)

Решение 2. №1010 (с. 230)
1) Чтобы сложить дроби с разными знаменателями, нужно привести их к общему знаменателю. Наименьший общий знаменатель для 4 и 5 - это 20. Дополнительный множитель для первой дроби - 5, для второй - 4.
$\frac{1}{4} + \frac{3}{5} = \frac{1 \cdot 5}{4 \cdot 5} + \frac{3 \cdot 4}{5 \cdot 4} = \frac{5}{20} + \frac{12}{20} = \frac{5+12}{20} = \frac{17}{20}$
Ответ: $\frac{17}{20}$
2) Приведем дроби к общему знаменателю. Наименьший общий знаменатель для 16 и 32 - это 32. Дополнительный множитель для первой дроби - 2, вторая дробь уже имеет нужный знаменатель.
$\frac{13}{16} - \frac{9}{32} = \frac{13 \cdot 2}{16 \cdot 2} - \frac{9}{32} = \frac{26}{32} - \frac{9}{32} = \frac{26-9}{32} = \frac{17}{32}$
Ответ: $\frac{17}{32}$
3) Найдем наименьший общий знаменатель для 15 и 10. Это 30. Дополнительный множитель для первой дроби - 2, для второй - 3.
$\frac{14}{15} - \frac{7}{10} = \frac{14 \cdot 2}{15 \cdot 2} - \frac{7 \cdot 3}{10 \cdot 3} = \frac{28}{30} - \frac{21}{30} = \frac{28-21}{30} = \frac{7}{30}$
Ответ: $\frac{7}{30}$
4) Наименьший общий знаменатель для 8 и 6 - это 24. Дополнительный множитель для первой дроби - 3, для второй - 4.
$\frac{3}{8} + \frac{1}{6} = \frac{3 \cdot 3}{8 \cdot 3} + \frac{1 \cdot 4}{6 \cdot 4} = \frac{9}{24} + \frac{4}{24} = \frac{9+4}{24} = \frac{13}{24}$
Ответ: $\frac{13}{24}$
5) Наименьший общий знаменатель для 25 и 20 - это 100. Дополнительный множитель для первой дроби - 4, для второй - 5.
$\frac{9}{25} - \frac{7}{20} = \frac{9 \cdot 4}{25 \cdot 4} - \frac{7 \cdot 5}{20 \cdot 5} = \frac{36}{100} - \frac{35}{100} = \frac{36-35}{100} = \frac{1}{100}$
Ответ: $\frac{1}{100}$
6) Наименьший общий знаменатель для 24 и 16 - это 48. Дополнительный множитель для первой дроби - 2, для второй - 3.
$\frac{11}{24} - \frac{3}{16} = \frac{11 \cdot 2}{24 \cdot 2} - \frac{3 \cdot 3}{16 \cdot 3} = \frac{22}{48} - \frac{9}{48} = \frac{22-9}{48} = \frac{13}{48}$
Ответ: $\frac{13}{48}$
7) Найдем наименьший общий знаменатель для 3, 6 и 4. Это 12. Дополнительные множители: для первой дроби - 4, для второй - 2, для третьей - 3.
$\frac{1}{3} - \frac{1}{6} + \frac{1}{4} = \frac{1 \cdot 4}{3 \cdot 4} - \frac{1 \cdot 2}{6 \cdot 2} + \frac{1 \cdot 3}{4 \cdot 3} = \frac{4}{12} - \frac{2}{12} + \frac{3}{12} = \frac{4-2+3}{12} = \frac{5}{12}$
Ответ: $\frac{5}{12}$
8) Найдем наименьший общий знаменатель для 5, 15 и 9. Это 45. Дополнительные множители: для первой дроби - 9, для второй - 3, для третьей - 5.
$\frac{2}{5} + \frac{4}{15} - \frac{5}{9} = \frac{2 \cdot 9}{5 \cdot 9} + \frac{4 \cdot 3}{15 \cdot 3} - \frac{5 \cdot 5}{9 \cdot 5} = \frac{18}{45} + \frac{12}{45} - \frac{25}{45} = \frac{18+12-25}{45} = \frac{30-25}{45} = \frac{5}{45}$
Сократим полученную дробь на 5:
$\frac{5}{45} = \frac{5:5}{45:5} = \frac{1}{9}$
Ответ: $\frac{1}{9}$
№1011 (с. 230)
Условие. №1011 (с. 230)
скриншот условия

1011. Найдите значение выражения, предварительно сократив дроби:
1) $\frac{25}{80} + \frac{45}{60}$;
2) $\frac{20}{45} + \frac{26}{54}$;
3) $\frac{36}{300} + \frac{12}{40} - \frac{350}{1000}$;
4) $\frac{14}{24} - \frac{39}{90} + \frac{15}{100}$;
5) $\frac{42}{120} + \frac{20}{32} - \frac{28}{160}$;
6) $\frac{45}{72} - \frac{33}{144} - \frac{20}{64}$.
Решение. №1011 (с. 230)

Решение 2. №1011 (с. 230)
1) Сначала сократим дроби:
$\frac{25}{80} = \frac{25 \div 5}{80 \div 5} = \frac{5}{16}$
$\frac{45}{60} = \frac{45 \div 15}{60 \div 15} = \frac{3}{4}$
Теперь выполним сложение, приведя дроби к общему знаменателю 16:
$\frac{5}{16} + \frac{3}{4} = \frac{5}{16} + \frac{3 \times 4}{4 \times 4} = \frac{5}{16} + \frac{12}{16} = \frac{5 + 12}{16} = \frac{17}{16} = 1\frac{1}{16}$
Ответ: $1\frac{1}{16}$.
2) Сначала сократим дроби:
$\frac{20}{45} = \frac{20 \div 5}{45 \div 5} = \frac{4}{9}$
$\frac{26}{54} = \frac{26 \div 2}{54 \div 2} = \frac{13}{27}$
Теперь выполним сложение, приведя дроби к общему знаменателю 27:
$\frac{4}{9} + \frac{13}{27} = \frac{4 \times 3}{9 \times 3} + \frac{13}{27} = \frac{12}{27} + \frac{13}{27} = \frac{12 + 13}{27} = \frac{25}{27}$
Ответ: $\frac{25}{27}$.
3) Сначала сократим дроби:
$\frac{36}{300} = \frac{36 \div 12}{300 \div 12} = \frac{3}{25}$
$\frac{12}{40} = \frac{12 \div 4}{40 \div 4} = \frac{3}{10}$
$\frac{350}{1000} = \frac{35}{100} = \frac{35 \div 5}{100 \div 5} = \frac{7}{20}$
Теперь выполним действия, приведя дроби к общему знаменателю 100:
$\frac{3}{25} + \frac{3}{10} - \frac{7}{20} = \frac{3 \times 4}{25 \times 4} + \frac{3 \times 10}{10 \times 10} - \frac{7 \times 5}{20 \times 5} = \frac{12}{100} + \frac{30}{100} - \frac{35}{100} = \frac{12 + 30 - 35}{100} = \frac{7}{100}$
Ответ: $\frac{7}{100}$.
4) Сначала сократим дроби:
$\frac{14}{24} = \frac{14 \div 2}{24 \div 2} = \frac{7}{12}$
$\frac{39}{90} = \frac{39 \div 3}{90 \div 3} = \frac{13}{30}$
$\frac{15}{100} = \frac{15 \div 5}{100 \div 5} = \frac{3}{20}$
Теперь выполним действия, приведя дроби к общему знаменателю 60:
$\frac{7}{12} - \frac{13}{30} + \frac{3}{20} = \frac{7 \times 5}{12 \times 5} - \frac{13 \times 2}{30 \times 2} + \frac{3 \times 3}{20 \times 3} = \frac{35}{60} - \frac{26}{60} + \frac{9}{60} = \frac{35 - 26 + 9}{60} = \frac{18}{60}$
Сократим полученную дробь: $\frac{18}{60} = \frac{18 \div 6}{60 \div 6} = \frac{3}{10}$
Ответ: $\frac{3}{10}$.
5) Сначала сократим дроби:
$\frac{42}{120} = \frac{42 \div 6}{120 \div 6} = \frac{7}{20}$
$\frac{20}{32} = \frac{20 \div 4}{32 \div 4} = \frac{5}{8}$
$\frac{28}{160} = \frac{28 \div 4}{160 \div 4} = \frac{7}{40}$
Теперь выполним действия, приведя дроби к общему знаменателю 40:
$\frac{7}{20} + \frac{5}{8} - \frac{7}{40} = \frac{7 \times 2}{20 \times 2} + \frac{5 \times 5}{8 \times 5} - \frac{7}{40} = \frac{14}{40} + \frac{25}{40} - \frac{7}{40} = \frac{14 + 25 - 7}{40} = \frac{32}{40}$
Сократим полученную дробь: $\frac{32}{40} = \frac{32 \div 8}{40 \div 8} = \frac{4}{5}$
Ответ: $\frac{4}{5}$.
6) Сначала сократим дроби:
$\frac{45}{72} = \frac{45 \div 9}{72 \div 9} = \frac{5}{8}$
$\frac{33}{144} = \frac{33 \div 3}{144 \div 3} = \frac{11}{48}$
$\frac{20}{64} = \frac{20 \div 4}{64 \div 4} = \frac{5}{16}$
Теперь выполним действия, приведя дроби к общему знаменателю 48:
$\frac{5}{8} - \frac{11}{48} - \frac{5}{16} = \frac{5 \times 6}{8 \times 6} - \frac{11}{48} - \frac{5 \times 3}{16 \times 3} = \frac{30}{48} - \frac{11}{48} - \frac{15}{48} = \frac{30 - 11 - 15}{48} = \frac{4}{48}$
Сократим полученную дробь: $\frac{4}{48} = \frac{4 \div 4}{48 \div 4} = \frac{1}{12}$
Ответ: $\frac{1}{12}$.
№1012 (с. 230)
Условие. №1012 (с. 230)
скриншот условия

1012. В одной банке было $\frac{3}{10}$ л сметаны, а в другой — $\frac{4}{15}$ л. В какой банке было больше сметаны и на сколько литров?
Решение. №1012 (с. 230)

Решение 2. №1012 (с. 230)
Для того чтобы ответить на поставленные вопросы, необходимо сравнить дроби $ \frac{3}{10} $ и $ \frac{4}{15} $.
В какой банке было больше сметаны?Чтобы сравнить дроби с разными знаменателями, их нужно привести к общему знаменателю. Найдем наименьшее общее кратное (НОК) для знаменателей 10 и 15. НОК(10, 15) = 30.
Приведем первую дробь к знаменателю 30. Дополнительный множитель для нее равен $ 30 : 10 = 3 $.
$ \frac{3}{10} = \frac{3 \cdot 3}{10 \cdot 3} = \frac{9}{30} $
Приведем вторую дробь к знаменателю 30. Дополнительный множитель для нее равен $ 30 : 15 = 2 $.
$ \frac{4}{15} = \frac{4 \cdot 2}{15 \cdot 2} = \frac{8}{30} $
Теперь сравним полученные дроби: $ \frac{9}{30} $ и $ \frac{8}{30} $. Так как числитель 9 больше числителя 8, то и дробь $ \frac{9}{30} $ больше дроби $ \frac{8}{30} $. Следовательно, $ \frac{3}{10} > \frac{4}{15} $.
Ответ: больше сметаны было в первой банке.
На сколько литров?Чтобы найти, на сколько литров сметаны в первой банке больше, чем во второй, нужно из большего количества вычесть меньшее. Используем дроби, приведенные к общему знаменателю:
$ \frac{9}{30} - \frac{8}{30} = \frac{9-8}{30} = \frac{1}{30} $
Ответ: в первой банке было на $ \frac{1}{30} $ л сметаны больше.
№1013 (с. 230)
Условие. №1013 (с. 230)
скриншот условия

1013. Окунев поймал рыбу длиной $\frac{8}{25}$ м, а Щукин — длиной $\frac{13}{40}$ м. Кто из них поймал рыбу длиннее и на сколько метров?
Решение. №1013 (с. 230)

Решение 2. №1013 (с. 230)
Для решения задачи необходимо сравнить две дроби: $ \frac{8}{25} $ м (длина рыбы, пойманной Окуневым) и $ \frac{13}{40} $ м (длина рыбы, пойманной Щукиным). После сравнения нужно найти разность между большей и меньшей дробью.
Кто из них поймал рыбу длиннее?Чтобы сравнить дроби с разными знаменателями, их нужно привести к общему знаменателю. Найдем наименьшее общее кратное (НОК) для знаменателей 25 и 40.
Разложим знаменатели на простые множители:
$ 25 = 5 \cdot 5 = 5^2 $
$ 40 = 2 \cdot 2 \cdot 2 \cdot 5 = 2^3 \cdot 5 $
НОК(25, 40) = $ 2^3 \cdot 5^2 = 8 \cdot 25 = 200 $.
Теперь приведем каждую дробь к знаменателю 200, умножив числитель и знаменатель на соответствующий дополнительный множитель:
Для дроби $ \frac{8}{25} $ дополнительный множитель равен $ 200 \div 25 = 8 $.
$ \frac{8}{25} = \frac{8 \cdot 8}{25 \cdot 8} = \frac{64}{200} $
Для дроби $ \frac{13}{40} $ дополнительный множитель равен $ 200 \div 40 = 5 $.
$ \frac{13}{40} = \frac{13 \cdot 5}{40 \cdot 5} = \frac{65}{200} $
Теперь сравним полученные дроби. Так как $ 65 > 64 $, то $ \frac{65}{200} > \frac{64}{200} $.
Это означает, что $ \frac{13}{40} > \frac{8}{25} $, следовательно, Щукин поймал рыбу длиннее.
Чтобы найти, на сколько метров рыба Щукина длиннее, нужно из большей дроби вычесть меньшую:
$ \frac{13}{40} - \frac{8}{25} = \frac{65}{200} - \frac{64}{200} = \frac{65 - 64}{200} = \frac{1}{200} $
Разница в длине составляет $ \frac{1}{200} $ метра.
Ответ: Щукин поймал рыбу длиннее на $ \frac{1}{200} $ м.
Помогло решение? Оставьте отзыв в комментариях ниже.