Страница 198 - гдз по алгебре 7 класс учебник Дорофеев, Суворова

Авторы: Дорофеев Г. В., Суворова С. Б., Бунимович Е. А., Кузнецова Л. В., Минаева С. С., Рослова Л. О.
Тип: Учебник
Издательство: Просвещение
Год издания: 2019 - 2022
Цвет обложки: белый, голубой, оранжевый с галочкой
ISBN: 978-5-09-074650-2
Рекомендовано Министерством образования и науки Российской Федерации
Популярные ГДЗ в 7 классе
Cтраница 198

№681 (с. 198)
Условие. №681 (с. 198)
скриншот условия

681
МОДЕЛИРУЕМНайдите двумя способами площадь прямоугольника (рис. 7.2) и запишите соответствующее равенство.
Размеры, указанные на рисунке: $x$, $y$, $2x$.
Рис. 7.2
Решение 1. №681 (с. 198)

Решение 2. №681 (с. 198)

Решение 3. №681 (с. 198)

Решение 5. №681 (с. 198)

Решение 6. №681 (с. 198)
Способ 1
Найдем площадь прямоугольника как единого целого. Его высота равна $2x$. Длина прямоугольника является суммой длин отрезков, из которых она состоит, и равна $x + y$. Площадь прямоугольника вычисляется как произведение его длины на высоту.
Площадь $S$ равна:
$S = 2x \cdot (x + y)$
Ответ: $S = 2x(x+y)$.
Способ 2
Найдем площадь большого прямоугольника как сумму площадей двух меньших прямоугольников, из которых он состоит.
Площадь левого прямоугольника ($S_1$) со сторонами $2x$ и $x$ равна:
$S_1 = 2x \cdot x = 2x^2$
Площадь правого прямоугольника ($S_2$) со сторонами $2x$ и $y$ равна:
$S_2 = 2x \cdot y = 2xy$
Общая площадь $S$ является суммой площадей $S_1$ и $S_2$:
$S = S_1 + S_2 = 2x^2 + 2xy$
Ответ: $S = 2x^2 + 2xy$.
Соответствующее равенство
Поскольку оба способа использовались для вычисления площади одной и той же фигуры, полученные выражения равны. Приравняв результаты, полученные первым и вторым способами, запишем искомое равенство.
$2x(x + y) = 2x^2 + 2xy$
Ответ: $2x(x + y) = 2x^2 + 2xy$.
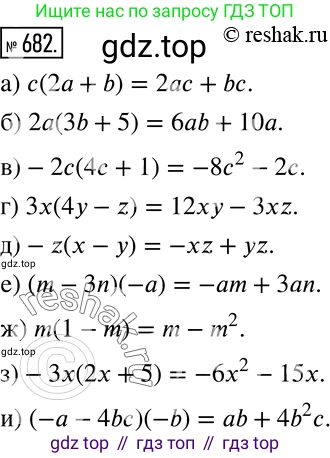
№682 (с. 198)
Условие. №682 (с. 198)
скриншот условия

ДЕЙСТВУЕМ ПО ПРАВИЛУ (682—684)
682 Раскройте скобки:
а) $c(2a + b)$;
б) $2a(3b + 5)$;
в) $-2c(4c + 1)$;
г) $3x(4y - z)$;
д) $-z(x - y)$;
е) $(m - 3n)(-a)$;
ж) $m(1 - m)$;
з) $-3x(2x + 5)$;
и) $(-a - 4bc)(-b)$.
Решение 1. №682 (с. 198)









Решение 2. №682 (с. 198)

Решение 3. №682 (с. 198)

Решение 5. №682 (с. 198)

Решение 6. №682 (с. 198)
Для решения данных задач используется распределительное свойство умножения относительно сложения (и вычитания), которое гласит: чтобы умножить число на сумму, нужно умножить это число на каждое слагаемое и полученные произведения сложить. В общем виде это записывается как $a(b + c) = ab + ac$.
а) Чтобы раскрыть скобки в выражении $c(2a + b)$, умножим множитель $c$ на каждый член, находящийся в скобках: на $2a$ и на $b$.
$c(2a + b) = c \cdot 2a + c \cdot b = 2ac + bc$
Ответ: $2ac + bc$
б) В выражении $2a(3b + 5)$ умножим множитель $2a$ на каждый член в скобках: на $3b$ и на $5$.
$2a(3b + 5) = 2a \cdot 3b + 2a \cdot 5 = 6ab + 10a$
Ответ: $6ab + 10a$
в) В выражении $-2c(4c + 1)$ умножим отрицательный множитель $-2c$ на каждый член в скобках. При умножении отрицательного числа на положительное получается отрицательное число.
$(-2c) \cdot 4c = -8c^2$
$(-2c) \cdot 1 = -2c$
Следовательно, $-2c(4c + 1) = -8c^2 - 2c$
Ответ: $-8c^2 - 2c$
г) В выражении $3x(4y - z)$ умножим $3x$ на $4y$ и на $-z$.
$3x(4y - z) = 3x \cdot 4y + 3x \cdot (-z) = 12xy - 3xz$
Ответ: $12xy - 3xz$
д) В выражении $-z(x - y)$ умножим $-z$ на $x$ и на $-y$. При умножении двух отрицательных чисел ($-z$ и $-y$) получается положительное число.
$(-z) \cdot x = -zx$
$(-z) \cdot (-y) = zy$
Следовательно, $-z(x - y) = -zx + zy$. Для удобства принято записывать члены в алфавитном порядке: $-xz + yz$.
Ответ: $-xz + yz$
е) В выражении $(m - 3n)(-a)$ можно поменять множители местами: $-a(m - 3n)$. Теперь умножим $-a$ на $m$ и на $-3n$.
$(-a) \cdot m = -am$
$(-a) \cdot (-3n) = 3an$
Таким образом, $(m - 3n)(-a) = -am + 3an$.
Ответ: $-am + 3an$
ж) В выражении $m(1 - m)$ умножим $m$ на $1$ и на $-m$.
$m(1 - m) = m \cdot 1 + m \cdot (-m) = m - m^2$
Ответ: $m - m^2$
з) В выражении $-3x(2x + 5)$ умножим $-3x$ на $2x$ и на $5$.
$(-3x) \cdot 2x = -6x^2$
$(-3x) \cdot 5 = -15x$
Значит, $-3x(2x + 5) = -6x^2 - 15x$
Ответ: $-6x^2 - 15x$
и) В выражении $(-a - 4bc)(-b)$ умножим каждый член в первых скобках ($-a$ и $-4bc$) на множитель $-b$. При умножении отрицательного на отрицательное получается положительное.
$(-a) \cdot (-b) = ab$
$(-4bc) \cdot (-b) = 4b \cdot b \cdot c = 4b^2c$
Следовательно, $(-a - 4bc)(-b) = ab + 4b^2c$
Ответ: $ab + 4b^2c$
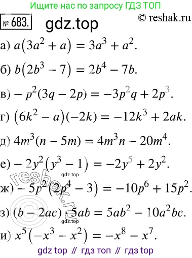
№683 (с. 198)
Условие. №683 (с. 198)
скриншот условия

683 Выполните умножение:
а) $a(3a^2 + a);$
б) $b(2b^3 - 7);$
в) $-p^2(3q - 2p);$
г) $(6k^2 - a)(-2k);$
д) $4m^3(n - 5m);$
е) $-2y^2(y^3 - 1);$
ж) $-5p^2(2p^4 - 3);$
з) $(b - 2ac) \cdot 5ab;$
и) $x^5(-x^3 - x^2).$
Решение 1. №683 (с. 198)









Решение 2. №683 (с. 198)

Решение 3. №683 (с. 198)

Решение 5. №683 (с. 198)

Решение 6. №683 (с. 198)
а) Чтобы выполнить умножение одночлена $a$ на многочлен $(3a^2 + a)$, необходимо умножить $a$ на каждый член в скобках и сложить результаты, используя распределительное свойство умножения: $a(3a^2 + a) = a \cdot 3a^2 + a \cdot a$.
При умножении степеней с одинаковым основанием их показатели складываются ($a^m \cdot a^n = a^{m+n}$):
$a \cdot 3a^2 = 3a^{1+2} = 3a^3$
$a \cdot a = a^{1+1} = a^2$
Следовательно, итоговое выражение: $3a^3 + a^2$.
Ответ: $3a^3 + a^2$
б) Умножим одночлен $b$ на каждый член многочлена $(2b^3 - 7)$:
$b(2b^3 - 7) = b \cdot 2b^3 - b \cdot 7$
$b \cdot 2b^3 = 2b^{1+3} = 2b^4$
$b \cdot 7 = 7b$
Результат умножения: $2b^4 - 7b$.
Ответ: $2b^4 - 7b$
в) Умножим одночлен $-p^2$ на многочлен $(3q - 2p)$:
$-p^2(3q - 2p) = (-p^2) \cdot 3q + (-p^2) \cdot (-2p)$
$(-p^2) \cdot 3q = -3p^2q$
$(-p^2) \cdot (-2p) = 2p^{2+1} = 2p^3$
Сложив результаты, получаем: $-3p^2q + 2p^3$.
Ответ: $-3p^2q + 2p^3$
г) Для умножения $(6k^2 - a)(-2k)$ умножим каждый член многочлена на одночлен $(-2k)$:
$(6k^2 - a)(-2k) = 6k^2 \cdot (-2k) - a \cdot (-2k)$
$6k^2 \cdot (-2k) = -12k^{2+1} = -12k^3$
$-a \cdot (-2k) = 2ak$
Итоговое выражение: $-12k^3 + 2ak$.
Ответ: $-12k^3 + 2ak$
д) Умножим одночлен $4m^3$ на многочлен $(n - 5m)$:
$4m^3(n - 5m) = 4m^3 \cdot n - 4m^3 \cdot 5m$
$4m^3 \cdot n = 4m^3n$
$4m^3 \cdot 5m = 20m^{3+1} = 20m^4$
Результат: $4m^3n - 20m^4$.
Ответ: $4m^3n - 20m^4$
е) Умножим одночлен $-2y^2$ на многочлен $(y^3 - 1)$:
$-2y^2(y^3 - 1) = (-2y^2) \cdot y^3 - (-2y^2) \cdot 1$
$(-2y^2) \cdot y^3 = -2y^{2+3} = -2y^5$
$-(-2y^2) \cdot 1 = 2y^2$
Результат: $-2y^5 + 2y^2$.
Ответ: $-2y^5 + 2y^2$
ж) Умножим одночлен $-5p^2$ на многочлен $(2p^4 - 3)$:
$-5p^2(2p^4 - 3) = (-5p^2) \cdot 2p^4 - (-5p^2) \cdot 3$
$(-5p^2) \cdot 2p^4 = -10p^{2+4} = -10p^6$
$-(-5p^2) \cdot 3 = 15p^2$
Результат: $-10p^6 + 15p^2$.
Ответ: $-10p^6 + 15p^2$
з) Умножим многочлен $(b - 2ac)$ на одночлен $5ab$:
$(b - 2ac) \cdot 5ab = b \cdot 5ab - 2ac \cdot 5ab$
$b \cdot 5ab = 5ab^{1+1} = 5ab^2$
$-2ac \cdot 5ab = -10a^{1+1}bc = -10a^2bc$
Результат: $5ab^2 - 10a^2bc$.
Ответ: $5ab^2 - 10a^2bc$
и) Умножим одночлен $x^5$ на многочлен $(-x^3 - x^2)$:
$x^5(-x^3 - x^2) = x^5 \cdot (-x^3) + x^5 \cdot (-x^2)$
$x^5 \cdot (-x^3) = -x^{5+3} = -x^8$
$x^5 \cdot (-x^2) = -x^{5+2} = -x^7$
Результат: $-x^8 - x^7$.
Ответ: $-x^8 - x^7$
№684 (с. 198)
Условие. №684 (с. 198)
скриншот условия

684 Представьте в виде многочлена:
а) $5(a^2 - 2ab + b^2);$
б) $2m(m^2 - 3m + 3);$
в) $-3(x^2 + xy + y^2);$
г) $4n^2(1 - 2n^2 - 3n^3);$
д) $2b^2(b - ab + 4a^2);$
е) $-3c^3(4d + 3cd - c^2).$
Решение 1. №684 (с. 198)






Решение 2. №684 (с. 198)

Решение 3. №684 (с. 198)

Решение 5. №684 (с. 198)

Решение 6. №684 (с. 198)
а) Чтобы представить выражение $5(a^2 - 2ab + b^2)$ в виде многочлена, нужно умножить одночлен $5$ на каждый член многочлена в скобках $(a^2 - 2ab + b^2)$.
Выполним умножение:
$5 \cdot a^2 + 5 \cdot (-2ab) + 5 \cdot b^2 = 5a^2 - 10ab + 5b^2$
Ответ: $5a^2 - 10ab + 5b^2$.
б) Чтобы представить выражение $2m(m^2 - 3m + 3)$ в виде многочлена, нужно умножить одночлен $2m$ на каждый член многочлена в скобках $(m^2 - 3m + 3)$.
Выполним умножение, используя правило умножения степеней с одинаковым основанием ($a^n \cdot a^k = a^{n+k}$):
$2m \cdot m^2 + 2m \cdot (-3m) + 2m \cdot 3 = 2m^{1+2} - 6m^{1+1} + 6m = 2m^3 - 6m^2 + 6m$
Ответ: $2m^3 - 6m^2 + 6m$.
в) Чтобы представить выражение $-3(x^2 + xy + y^2)$ в виде многочлена, нужно умножить одночлен $-3$ на каждый член многочлена в скобках $(x^2 + xy + y^2)$.
Выполним умножение:
$-3 \cdot x^2 + (-3) \cdot xy + (-3) \cdot y^2 = -3x^2 - 3xy - 3y^2$
Ответ: $-3x^2 - 3xy - 3y^2$.
г) Чтобы представить выражение $4n^2(1 - 2n^2 - 3n^3)$ в виде многочлена, нужно умножить одночлен $4n^2$ на каждый член многочлена в скобках $(1 - 2n^2 - 3n^3)$.
Выполним умножение:
$4n^2 \cdot 1 + 4n^2 \cdot (-2n^2) + 4n^2 \cdot (-3n^3) = 4n^2 - 8n^{2+2} - 12n^{2+3} = 4n^2 - 8n^4 - 12n^5$
Запишем полученный многочлен в стандартном виде, расположив его члены по убыванию степеней переменной $n$:
$-12n^5 - 8n^4 + 4n^2$
Ответ: $-12n^5 - 8n^4 + 4n^2$.
д) Чтобы представить выражение $2b^2(b - ab + 4a^2)$ в виде многочлена, нужно умножить одночлен $2b^2$ на каждый член многочлена в скобках $(b - ab + 4a^2)$.
Выполним умножение:
$2b^2 \cdot b + 2b^2 \cdot (-ab) + 2b^2 \cdot 4a^2 = 2b^{2+1} - 2ab^{2+1} + 8a^2b^2 = 2b^3 - 2ab^3 + 8a^2b^2$
Ответ: $2b^3 - 2ab^3 + 8a^2b^2$.
е) Чтобы представить выражение $-3c^3(4d + 3cd - c^2)$ в виде многочлена, нужно умножить одночлен $-3c^3$ на каждый член многочлена в скобках $(4d + 3cd - c^2)$.
Выполним умножение:
$-3c^3 \cdot 4d + (-3c^3) \cdot 3cd + (-3c^3) \cdot (-c^2) = -12c^3d - 9c^{3+1}d + 3c^{3+2} = -12c^3d - 9c^4d + 3c^5$
Запишем полученный многочлен в стандартном виде, расположив его члены по убыванию степеней переменной $c$:
$3c^5 - 9c^4d - 12c^3d$
Ответ: $3c^5 - 9c^4d - 12c^3d$.
№685 (с. 198)
Условие. №685 (с. 198)
скриншот условия

685 РАЗБИРАЕМ СПОСОБ РЕШЕНИЯ Иногда удобно вести запись умножения в столбик:
$ -5a^2 $
x
$ 3a^3 - a + 4 $
$ -15a^5 + 5a^3 - 20a^2 $
Умножьте одночлен на многочлен:
а) $ 3n^4(n^2 + 2n - 4) $;
б) $ -2m^3(3m - 2m^2 + m^3) $;
в) $ 5xy^2(2x - x^2y - x^3) $.
Решение 1. №685 (с. 198)



Решение 2. №685 (с. 198)

Решение 3. №685 (с. 198)

Решение 5. №685 (с. 198)

Решение 6. №685 (с. 198)
а) Чтобы умножить одночлен на многочлен, необходимо умножить этот одночлен на каждый член многочлена и полученные произведения сложить. В данном случае умножаем одночлен $3n^4$ на многочлен $(n^2 + 2n - 4)$.
Выполним умножение по шагам, применяя распределительное свойство:
$3n^4(n^2 + 2n - 4) = 3n^4 \cdot n^2 + 3n^4 \cdot 2n + 3n^4 \cdot (-4)$
Теперь вычислим каждое произведение отдельно:
1. $3n^4 \cdot n^2 = 3n^{4+2} = 3n^6$
2. $3n^4 \cdot 2n = (3 \cdot 2)n^{4+1} = 6n^5$
3. $3n^4 \cdot (-4) = (3 \cdot -4)n^4 = -12n^4$
Сложим полученные результаты:
$3n^6 + 6n^5 - 12n^4$
Ответ: $3n^6 + 6n^5 - 12n^4$
б) Умножим одночлен $-2m^3$ на каждый член многочлена $(3m - 2m^2 + m^3)$.
$-2m^3(3m - 2m^2 + m^3) = (-2m^3) \cdot 3m + (-2m^3) \cdot (-2m^2) + (-2m^3) \cdot m^3$
Вычислим каждое произведение:
1. $(-2m^3) \cdot 3m = (-2 \cdot 3)m^{3+1} = -6m^4$
2. $(-2m^3) \cdot (-2m^2) = (-2 \cdot -2)m^{3+2} = 4m^5$
3. $(-2m^3) \cdot m^3 = -2m^{3+3} = -2m^6$
Сложим полученные одночлены и запишем итоговый многочлен в стандартном виде, расположив его члены по убыванию степеней переменной $m$:
$-6m^4 + 4m^5 - 2m^6 = -2m^6 + 4m^5 - 6m^4$
Ответ: $-2m^6 + 4m^5 - 6m^4$
в) Умножим одночлен $5xy^2$ на каждый член многочлена $(2x - x^2y - x^3)$.
$5xy^2(2x - x^2y - x^3) = 5xy^2 \cdot 2x + 5xy^2 \cdot (-x^2y) + 5xy^2 \cdot (-x^3)$
Вычислим каждое произведение:
1. $5xy^2 \cdot 2x = (5 \cdot 2)(x \cdot x)y^2 = 10x^{1+1}y^2 = 10x^2y^2$
2. $5xy^2 \cdot (-x^2y) = (5 \cdot -1)(x \cdot x^2)(y^2 \cdot y) = -5x^{1+2}y^{2+1} = -5x^3y^3$
3. $5xy^2 \cdot (-x^3) = (5 \cdot -1)(x \cdot x^3)y^2 = -5x^{1+3}y^2 = -5x^4y^2$
Сложим полученные одночлены. Для удобства можно расположить члены итогового многочлена по убыванию степени переменной $x$:
$10x^2y^2 - 5x^3y^3 - 5x^4y^2 = -5x^4y^2 - 5x^3y^3 + 10x^2y^2$
Ответ: $-5x^4y^2 - 5x^3y^3 + 10x^2y^2$
№686 (с. 198)
Условие. №686 (с. 198)
скриншот условия

Упростите выражение (686—687).
686 а) $3n^2 - n(4n - 6m);$
б) $5a + 2a(3a - 2);$
в) $5c^3 - 3c^2(2c - 1).$
Решение 1. №686 (с. 198)



Решение 2. №686 (с. 198)

Решение 3. №686 (с. 198)

Решение 5. №686 (с. 198)

Решение 6. №686 (с. 198)
а) Чтобы упростить выражение $3n^2 - n(4n - 6m)$, необходимо сначала раскрыть скобки. Для этого умножим множитель $-n$ на каждый член в скобках, используя распределительное свойство умножения.
$-n \cdot (4n - 6m) = (-n) \cdot 4n + (-n) \cdot (-6m) = -4n^2 + 6mn$
Теперь подставим полученный результат в исходное выражение:
$3n^2 - 4n^2 + 6mn$
Далее приведем подобные слагаемые. Подобными являются $3n^2$ и $-4n^2$.
$(3 - 4)n^2 + 6mn = -n^2 + 6mn$
Для удобства можно поменять слагаемые местами.
Ответ: $6mn - n^2$.
б) Чтобы упростить выражение $5a + 2a(3a - 2)$, начнем с раскрытия скобок. Умножим $2a$ на каждый член в скобках.
$2a \cdot (3a - 2) = 2a \cdot 3a + 2a \cdot (-2) = 6a^2 - 4a$
Подставим результат в исходное выражение:
$5a + 6a^2 - 4a$
Теперь приведем подобные слагаемые $5a$ и $-4a$ и запишем многочлен в стандартном виде (в порядке убывания степеней переменной).
$6a^2 + (5a - 4a) = 6a^2 + a$
Ответ: $6a^2 + a$.
в) Для упрощения выражения $5c^3 - 3c^2(2c - 1)$ сначала раскроем скобки, умножив $-3c^2$ на каждый член внутри скобок.
$-3c^2 \cdot (2c - 1) = (-3c^2) \cdot 2c + (-3c^2) \cdot (-1) = -6c^3 + 3c^2$
Подставим полученное выражение в исходное:
$5c^3 - 6c^3 + 3c^2$
Приведем подобные слагаемые $5c^3$ и $-6c^3$.
$(5 - 6)c^3 + 3c^2 = -c^3 + 3c^2$
Итоговое выражение можно записать, поменяв слагаемые местами, чтобы начинать с положительного члена.
Ответ: $3c^2 - c^3$.
№687 (с. 198)
Условие. №687 (с. 198)
скриншот условия

687 a) $2x(x - y) - y(y - 2x)$;
В) $2(x^2 - 7) + (7 - 2x^2)$;
Б) $a(a^2 - 1) + a^2(a - 1)$;
Г) $3x(x - y) + 3y(x + y)$.
Решение 1. №687 (с. 198)




Решение 2. №687 (с. 198)

Решение 3. №687 (с. 198)

Решение 5. №687 (с. 198)

Решение 6. №687 (с. 198)
а) $2x(x - y) - y(y - 2x)$
Для упрощения выражения сначала раскроем скобки. Для этого умножим каждый член в скобках на множитель, стоящий перед ними.
$2x(x - y) = 2x \cdot x - 2x \cdot y = 2x^2 - 2xy$
$-y(y - 2x) = -y \cdot y - y \cdot (-2x) = -y^2 + 2xy$
Теперь сложим полученные выражения:
$2x^2 - 2xy - y^2 + 2xy$
Приведем подобные слагаемые. Члены $-2xy$ и $+2xy$ взаимно уничтожаются:
$2x^2 - y^2 + (-2xy + 2xy) = 2x^2 - y^2$
Ответ: $2x^2 - y^2$
б) $a(a^2 - 1) + a^2(a - 1)$
Раскроем скобки в каждом слагаемом:
$a(a^2 - 1) = a \cdot a^2 - a \cdot 1 = a^3 - a$
$a^2(a - 1) = a^2 \cdot a - a^2 \cdot 1 = a^3 - a^2$
Теперь сложим результаты:
$(a^3 - a) + (a^3 - a^2) = a^3 - a + a^3 - a^2$
Сгруппируем и приведем подобные слагаемые:
$(a^3 + a^3) - a^2 - a = 2a^3 - a^2 - a$
Ответ: $2a^3 - a^2 - a$
в) $2(x^2 - 7) + (7 - 2x^2)$
Сначала раскроем первые скобки, умножив 2 на каждый член внутри:
$2 \cdot x^2 - 2 \cdot 7 = 2x^2 - 14$
Вторые скобки можно просто убрать, так как перед ними стоит знак плюс:
$2x^2 - 14 + 7 - 2x^2$
Теперь сгруппируем и приведем подобные слагаемые:
$(2x^2 - 2x^2) + (-14 + 7)$
Выполним вычисления:
$0 - 7 = -7$
Ответ: $-7$
г) $3x(x - y) + 3y(x + y)$
Раскроем скобки в обоих слагаемых:
$3x(x - y) = 3x \cdot x - 3x \cdot y = 3x^2 - 3xy$
$3y(x + y) = 3y \cdot x + 3y \cdot y = 3yx + 3y^2$
Сложим полученные выражения, учитывая, что $yx = xy$:
$3x^2 - 3xy + 3xy + 3y^2$
Приведем подобные слагаемые. Члены $-3xy$ и $+3xy$ взаимно уничтожаются:
$3x^2 + 3y^2 + (-3xy + 3xy) = 3x^2 + 3y^2$
Ответ: $3x^2 + 3y^2$
№688 (с. 198)
Условие. №688 (с. 198)
скриншот условия

688 ПРИМЕНЯЕМ АЛГЕБРУ Найдите значение выражения при заданных значениях переменных:
а) $a(a + b) - b(a - b)$ при $a = -2,5, b = -3;$
б) $4m(m - 2) - (4m^2 - 1)$ при $m = \frac{1}{16}.$
Решение 1. №688 (с. 198)


Решение 2. №688 (с. 198)

Решение 3. №688 (с. 198)

Решение 5. №688 (с. 198)

Решение 6. №688 (с. 198)
а)
Для нахождения значения выражения $a(a + b) - b(a - b)$ при $a = -2.5$ и $b = -3$ сначала упростим его. Раскроем скобки, используя распределительный закон умножения:
$a(a + b) - b(a - b) = a \cdot a + a \cdot b - (b \cdot a - b \cdot b) = a^2 + ab - ab + b^2$
Приведем подобные слагаемые. Члены $ab$ и $-ab$ взаимно уничтожаются.
$a^2 + ab - ab + b^2 = a^2 + b^2$
Теперь подставим в упрощенное выражение значения переменных $a = -2.5$ и $b = -3$:
$(a)^2 + (b)^2 = (-2.5)^2 + (-3)^2 = 6.25 + 9 = 15.25$
Ответ: $15.25$
б)
Для нахождения значения выражения $4m(m - 2) - (4m^2 - 1)$ при $m = \frac{1}{16}$ сначала упростим его. Раскроем скобки:
$4m(m - 2) - (4m^2 - 1) = 4m \cdot m - 4m \cdot 2 - 4m^2 - (-1) = 4m^2 - 8m - 4m^2 + 1$
Приведем подобные слагаемые. Члены $4m^2$ и $-4m^2$ взаимно уничтожаются.
$4m^2 - 8m - 4m^2 + 1 = -8m + 1$
Теперь подставим в упрощенное выражение значение переменной $m = \frac{1}{16}$:
$-8 \cdot m + 1 = -8 \cdot \frac{1}{16} + 1 = -\frac{8}{16} + 1 = -\frac{1}{2} + 1 = \frac{1}{2}$
Результат можно также записать в виде десятичной дроби: $\frac{1}{2} = 0.5$.
Ответ: $0.5$
Помогло решение? Оставьте отзыв в комментариях ниже.