Страница 221, часть 2 - гдз по алгебре 10-11 класс задачник часть 1, 2 Мордкович, Семенов


Авторы: Мордкович А. Г., Семенов П. В., Денищева Л. О., Корешкова Т. А., Мишустина Т. Н., Тульчинская Е. Е.
Тип: Задачник
Издательство: Мнемозина
Год издания: 2019 - 2025
Уровень обучения: базовый
Часть: 2
Цвет обложки:
ISBN: 978-5-346-04509-0 (общ.), 978-5-346-04510-6 (ч. 1), 978-5-346-04511-3 (ч. 2)
Рекомендовано Министерством образования и науки Российской Федерации
Математика: алгебра и начала математического анализа, геометрия
Популярные ГДЗ в 10 классе
ч. 2. Cтраница 221

№56.15 (с. 221)
Условие. №56.15 (с. 221)
скриншот условия

Решите уравнение методом введения новой переменной:
56.15 a) $8x^6 + 7x^3 - 1 = 0;$
б) $x^8 + 3x^4 - 4 = 0.$
Решение 1. №56.15 (с. 221)

Решение 2. №56.15 (с. 221)


Решение 5. №56.15 (с. 221)


Решение 6. №56.15 (с. 221)
а) $8x^6 + 7x^3 - 1 = 0$
Данное уравнение является уравнением, сводящимся к квадратному. Заметим, что $x^6 = (x^3)^2$. Это позволяет нам ввести новую переменную.
Пусть $t = x^3$. Тогда исходное уравнение можно переписать в виде квадратного уравнения относительно переменной $t$:
$8t^2 + 7t - 1 = 0$
Решим это квадратное уравнение. Найдем дискриминант:
$D = b^2 - 4ac = 7^2 - 4 \cdot 8 \cdot (-1) = 49 + 32 = 81$
Так как $D > 0$, уравнение имеет два различных корня. Найдем их:
$t_1 = \frac{-b - \sqrt{D}}{2a} = \frac{-7 - \sqrt{81}}{2 \cdot 8} = \frac{-7 - 9}{16} = \frac{-16}{16} = -1$
$t_2 = \frac{-b + \sqrt{D}}{2a} = \frac{-7 + \sqrt{81}}{2 \cdot 8} = \frac{-7 + 9}{16} = \frac{2}{16} = \frac{1}{8}$
Теперь выполним обратную замену, чтобы найти значения $x$.
1. Если $t = -1$, то:
$x^3 = -1$
$x = \sqrt[3]{-1}$
$x_1 = -1$
2. Если $t = \frac{1}{8}$, то:
$x^3 = \frac{1}{8}$
$x = \sqrt[3]{\frac{1}{8}}$
$x_2 = \frac{1}{2}$
Следовательно, уравнение имеет два действительных корня.
Ответ: $-1; \frac{1}{2}$.
б) $x^8 + 3x^4 - 4 = 0$
Это уравнение также можно свести к квадратному. Заметим, что $x^8 = (x^4)^2$. Введем новую переменную.
Пусть $y = x^4$. Тогда уравнение примет вид:
$y^2 + 3y - 4 = 0$
Решим полученное квадратное уравнение. Можно воспользоваться теоремой Виета. Сумма корней равна $-3$, а их произведение равно $-4$. Корнями являются $y_1 = -4$ и $y_2 = 1$.
Или решим через дискриминант:
$D = b^2 - 4ac = 3^2 - 4 \cdot 1 \cdot (-4) = 9 + 16 = 25$
Корни уравнения для $y$:
$y_1 = \frac{-3 - \sqrt{25}}{2 \cdot 1} = \frac{-3 - 5}{2} = -4$
$y_2 = \frac{-3 + \sqrt{25}}{2 \cdot 1} = \frac{-3 + 5}{2} = 1$
Теперь выполним обратную замену для нахождения $x$.
1. Если $y = -4$, то:
$x^4 = -4$
Данное уравнение не имеет действительных корней, так как четная степень действительного числа ($x^4$) не может быть отрицательной.
2. Если $y = 1$, то:
$x^4 = 1$
Это уравнение имеет два действительных корня:
$x_1 = 1$
$x_2 = -1$
Следовательно, исходное уравнение имеет два действительных корня.
Ответ: $-1; 1$.
№56.17 (с. 221)
Условие. №56.17 (с. 221)
скриншот условия

56.17 a)
$ \sqrt{\frac{2x+3}{2x-1}} + 4\sqrt{\frac{2x-1}{2x+3}} = 4; $
б) $ \sqrt{\frac{5x-1}{x+3}} + 5\sqrt{\frac{x+3}{5x-1}} = 6. $
Решение 1. №56.17 (с. 221)

Решение 2. №56.17 (с. 221)


Решение 5. №56.17 (с. 221)


Решение 6. №56.17 (с. 221)
а)
Дано иррациональное уравнение: $\sqrt{\frac{2x+3}{2x-1}} + 4\sqrt{\frac{2x-1}{2x+3}} = 4$.
Прежде всего, определим область допустимых значений (ОДЗ). Для существования корней необходимо, чтобы подкоренные выражения были неотрицательными. Поскольку сумма корней равна положительному числу 4, ни одно из подкоренных выражений не может быть равно нулю (иначе знаменатель обратной дроби стал бы нулём). Следовательно, подкоренные выражения должны быть строго положительными: $\frac{2x+3}{2x-1} > 0$.
Решим это неравенство методом интервалов. Нули числителя и знаменателя: $x = -3/2 = -1.5$ и $x = 1/2 = 0.5$. Эти точки разбивают числовую прямую на три интервала. Проверяя знаки на интервалах, получаем, что неравенство выполняется при $x \in (-\infty; -1.5) \cup (0.5; +\infty)$. Это и есть ОДЗ.
Заметим, что второй радикал является обратной величиной первого. Сделаем замену переменной. Пусть $y = \sqrt{\frac{2x+3}{2x-1}}$. По определению арифметического корня, $y > 0$. Тогда $\sqrt{\frac{2x-1}{2x+3}} = \frac{1}{\sqrt{\frac{2x+3}{2x-1}}} = \frac{1}{y}$.
Подставим замену в исходное уравнение: $y + 4 \cdot \frac{1}{y} = 4$.
Умножим обе части уравнения на $y$ (мы знаем, что $y \neq 0$): $y^2 + 4 = 4y$ $y^2 - 4y + 4 = 0$.
Полученное квадратное уравнение является полным квадратом: $(y-2)^2 = 0$. Отсюда находим единственное решение для $y$: $y = 2$.
Теперь выполним обратную замену: $\sqrt{\frac{2x+3}{2x-1}} = 2$.
Возведем обе части уравнения в квадрат, чтобы избавиться от радикала: $\frac{2x+3}{2x-1} = 2^2$ $\frac{2x+3}{2x-1} = 4$.
Решим полученное линейное уравнение: $2x+3 = 4(2x-1)$ $2x+3 = 8x-6$ $3+6 = 8x-2x$ $9 = 6x$ $x = \frac{9}{6} = \frac{3}{2} = 1.5$.
Проверим, удовлетворяет ли найденный корень ОДЗ. Наша ОДЗ: $x \in (-\infty; -1.5) \cup (0.5; +\infty)$. Поскольку $1.5 > 0.5$, корень $x=1.5$ принадлежит ОДЗ.
Ответ: $1.5$.
б)
Дано иррациональное уравнение: $\sqrt{\frac{5x-1}{x+3}} + 5\sqrt{\frac{x+3}{5x-1}} = 6$.
Найдем область допустимых значений (ОДЗ). Аналогично предыдущему пункту, подкоренные выражения должны быть строго положительными: $\frac{5x-1}{x+3} > 0$.
Нули числителя и знаменателя: $x = 1/5 = 0.2$ и $x = -3$. Решая неравенство методом интервалов, получаем ОДЗ: $x \in (-\infty; -3) \cup (0.2; +\infty)$.
Введем замену. Пусть $z = \sqrt{\frac{5x-1}{x+3}}$. Тогда $z > 0$. Соответственно, $\sqrt{\frac{x+3}{5x-1}} = \frac{1}{z}$.
Подставив замену в уравнение, получим: $z + 5 \cdot \frac{1}{z} = 6$.
Умножим обе части на $z$ ($z \neq 0$): $z^2 + 5 = 6z$ $z^2 - 6z + 5 = 0$.
Это приведенное квадратное уравнение. По теореме Виета (или через дискриминант) находим корни: $z_1 = 1$, $z_2 = 5$. Оба корня положительны, поэтому оба являются решениями для переменной $z$.
Рассмотрим два случая, выполняя обратную замену.
Случай 1: $z = 1$. $\sqrt{\frac{5x-1}{x+3}} = 1$ Возводим в квадрат: $\frac{5x-1}{x+3} = 1$ $5x-1 = x+3$ $4x = 4$ $x_1 = 1$.
Случай 2: $z = 5$. $\sqrt{\frac{5x-1}{x+3}} = 5$ Возводим в квадрат: $\frac{5x-1}{x+3} = 25$ $5x-1 = 25(x+3)$ $5x-1 = 25x + 75$ $-1 - 75 = 25x - 5x$ $-76 = 20x$ $x_2 = -\frac{76}{20} = -\frac{19}{5} = -3.8$.
Проверим оба корня на принадлежность ОДЗ: $x \in (-\infty; -3) \cup (0.2; +\infty)$. - Для $x_1 = 1$: $1 > 0.2$, корень подходит. - Для $x_2 = -3.8$: $-3.8 < -3$, корень также подходит.
Ответ: $-3.8; 1$.
№56.19 (с. 221)
Условие. №56.19 (с. 221)
скриншот условия

56.19 a) $7^{2x+1} - 50 \cdot 7^x = -7;$
б) $\log_2^2 x + 12 = 7 \log_2 x;$
В) $4\sin^2 x + 4 = 17\sin x;$
Г) $\sqrt[3]{x} - \sqrt[6]{x} - 2 = 0.$
Решение 1. №56.19 (с. 221)

Решение 2. №56.19 (с. 221)



Решение 5. №56.19 (с. 221)



Решение 6. №56.19 (с. 221)
а) $7^{2x+1} - 50 \cdot 7^x = -7$
Перенесем все члены уравнения в левую часть и преобразуем его, используя свойство степеней $a^{m+n} = a^m \cdot a^n$:
$7^{2x} \cdot 7^1 - 50 \cdot 7^x + 7 = 0$
$7 \cdot (7^x)^2 - 50 \cdot 7^x + 7 = 0$
Это уравнение является квадратным относительно $7^x$. Сделаем замену переменной. Пусть $t = 7^x$. Так как показательная функция всегда положительна, то $t > 0$.
Получаем квадратное уравнение:
$7t^2 - 50t + 7 = 0$
Найдем дискриминант $D = b^2 - 4ac$:
$D = (-50)^2 - 4 \cdot 7 \cdot 7 = 2500 - 196 = 2304$
$\sqrt{D} = \sqrt{2304} = 48$
Найдем корни уравнения для $t$:
$t_1 = \frac{-(-50) + 48}{2 \cdot 7} = \frac{98}{14} = 7$
$t_2 = \frac{-(-50) - 48}{2 \cdot 7} = \frac{2}{14} = \frac{1}{7}$
Оба корня удовлетворяют условию $t > 0$. Вернемся к исходной переменной $x$.
1) $7^x = t_1 = 7 \implies 7^x = 7^1 \implies x_1 = 1$.
2) $7^x = t_2 = \frac{1}{7} \implies 7^x = 7^{-1} \implies x_2 = -1$.
Ответ: $x_1 = 1, x_2 = -1$.
б) $\log_2^2 x + 12 = 7 \log_2 x$
Область допустимых значений (ОДЗ) для логарифмического уравнения определяется условием $x > 0$.
Перенесем все члены уравнения в левую часть:
$\log_2^2 x - 7 \log_2 x + 12 = 0$
Сделаем замену переменной. Пусть $t = \log_2 x$.
Получаем квадратное уравнение:
$t^2 - 7t + 12 = 0$
Решим его по теореме Виета. Сумма корней равна 7, а их произведение равно 12. Следовательно, корни:
$t_1 = 3$
$t_2 = 4$
Вернемся к исходной переменной $x$.
1) $\log_2 x = t_1 = 3 \implies x_1 = 2^3 = 8$.
2) $\log_2 x = t_2 = 4 \implies x_2 = 2^4 = 16$.
Оба корня удовлетворяют ОДЗ ($x>0$).
Ответ: $x_1 = 8, x_2 = 16$.
в) $4 \sin^2 x + 4 = 17 \sin x$
Перенесем все члены уравнения в левую часть:
$4 \sin^2 x - 17 \sin x + 4 = 0$
Сделаем замену переменной. Пусть $t = \sin x$. Учитывая область значений синуса, имеем $-1 \le t \le 1$.
Получаем квадратное уравнение:
$4t^2 - 17t + 4 = 0$
Найдем дискриминант $D = b^2 - 4ac$:
$D = (-17)^2 - 4 \cdot 4 \cdot 4 = 289 - 64 = 225$
$\sqrt{D} = \sqrt{225} = 15$
Найдем корни уравнения для $t$:
$t_1 = \frac{17 + 15}{2 \cdot 4} = \frac{32}{8} = 4$
$t_2 = \frac{17 - 15}{2 \cdot 4} = \frac{2}{8} = \frac{1}{4}$
Проверим корни на соответствие условию $-1 \le t \le 1$.
Корень $t_1 = 4$ не удовлетворяет условию, так как $4 > 1$.
Корень $t_2 = \frac{1}{4}$ удовлетворяет условию, так как $-1 \le \frac{1}{4} \le 1$.
Вернемся к исходной переменной $x$:
$\sin x = \frac{1}{4}$
Решение этого тригонометрического уравнения имеет вид:
$x = (-1)^k \arcsin(\frac{1}{4}) + \pi k, \text{ где } k \in \mathbb{Z}$.
Ответ: $x = (-1)^k \arcsin(\frac{1}{4}) + \pi k, k \in \mathbb{Z}$.
г) $\sqrt[3]{x} - \sqrt[6]{x} - 2 = 0$
ОДЗ: подкоренное выражение корня четной степени должно быть неотрицательным, поэтому $x \ge 0$.
Заметим, что $\sqrt[3]{x} = (\sqrt[6]{x})^2$. Сделаем замену переменной. Пусть $t = \sqrt[6]{x}$. Из ОДЗ следует, что $t \ge 0$.
Получаем квадратное уравнение:
$t^2 - t - 2 = 0$
Решим его по теореме Виета. Сумма корней равна 1, а их произведение равно -2. Следовательно, корни:
$t_1 = 2$
$t_2 = -1$
Проверим корни на соответствие условию $t \ge 0$.
Корень $t_1 = 2$ удовлетворяет условию.
Корень $t_2 = -1$ не удовлетворяет условию, так как $-1 < 0$.
Вернемся к исходной переменной $x$ для $t=2$:
$\sqrt[6]{x} = 2$
Возведем обе части уравнения в шестую степень:
$(\sqrt[6]{x})^6 = 2^6$
$x = 64$
Корень $x=64$ удовлетворяет ОДЗ ($64 \ge 0$).
Ответ: $x = 64$.
№56.21 (с. 221)
Условие. №56.21 (с. 221)
скриншот условия

Решите уравнение, используя функционально-графические методы:
56.21 a) $x = \sqrt[3]{x}$; б) $|x| = \sqrt[5]{x}$.
Решение 1. №56.21 (с. 221)

Решение 2. №56.21 (с. 221)


Решение 5. №56.21 (с. 221)

Решение 6. №56.21 (с. 221)
a) $x = \sqrt[3]{x}$
Для решения данного уравнения функционально-графическим методом рассмотрим две функции: $y = x$ и $y = \sqrt[3]{x}$. Решениями уравнения будут абсциссы точек пересечения графиков этих функций.
1. Построим график функции $y = x$. Это прямая линия, являющаяся биссектрисой первого и третьего координатных углов. Она проходит через точки $(-1, -1)$, $(0, 0)$, $(1, 1)$.
2. Построим график функции $y = \sqrt[3]{x}$. Это кубическая парабола, симметричная относительно начала координат. Она проходит через точки $(-8, -2)$, $(-1, -1)$, $(0, 0)$, $(1, 1)$, $(8, 2)$.
Совместим графики в одной системе координат.
Из построения видно, что графики пересекаются в трех точках. Найдем их координаты:
- При $x = -1$, $y = -1$ и $y = \sqrt[3]{-1} = -1$. Точка пересечения $(-1, -1)$.
- При $x = 0$, $y = 0$ и $y = \sqrt[3]{0} = 0$. Точка пересечения $(0, 0)$.
- При $x = 1$, $y = 1$ и $y = \sqrt[3]{1} = 1$. Точка пересечения $(1, 1)$.
Абсциссы этих точек и являются решениями исходного уравнения.
Проверим аналитически:
$x = \sqrt[3]{x}$
Возведем обе части уравнения в куб:
$x^3 = (\sqrt[3]{x})^3$
$x^3 = x$
$x^3 - x = 0$
$x(x^2 - 1) = 0$
$x(x - 1)(x + 1) = 0$
Отсюда получаем корни: $x_1 = 0$, $x_2 = 1$, $x_3 = -1$.
Ответ: $x = -1, x = 0, x = 1$.
б) $|x| = \sqrt[5]{x}$
Рассмотрим две функции: $y = |x|$ и $y = \sqrt[5]{x}$. Решениями уравнения будут абсциссы точек пересечения их графиков.
1. Построим график функции $y = |x|$. Этот график состоит из двух лучей: $y = x$ для $x \ge 0$ и $y = -x$ для $x < 0$. Вершина графика находится в точке $(0, 0)$.
2. Построим график функции $y = \sqrt[5]{x}$. Это степенная функция, симметричная относительно начала координат. Она проходит через точки $(-1, -1)$, $(0, 0)$, $(1, 1)$, $(32, 2)$.
Заметим, что левая часть уравнения, $|x|$, всегда неотрицательна ($|x| \ge 0$). Следовательно, и правая часть должна быть неотрицательной: $\sqrt[5]{x} \ge 0$, что выполняется только при $x \ge 0$. Таким образом, решения уравнения могут быть только неотрицательными.
Для $x \ge 0$ уравнение принимает вид $x = \sqrt[5]{x}$. Мы ищем точки пересечения графиков $y = x$ и $y = \sqrt[5]{x}$ на промежутке $[0, +\infty)$.
Совместим графики $y = |x|$ и $y = \sqrt[5]{x}$ в одной системе координат.
Из графика видно, что пересечения происходят в двух точках:
- При $x = 0$, $y = |0| = 0$ и $y = \sqrt[5]{0} = 0$. Точка пересечения $(0, 0)$.
- При $x = 1$, $y = |1| = 1$ и $y = \sqrt[5]{1} = 1$. Точка пересечения $(1, 1)$.
Других пересечений для $x \ge 0$ нет, так как при $0 < x < 1$ график $y = \sqrt[5]{x}$ лежит выше графика $y = x$, а при $x > 1$ — ниже. Для $x < 0$ график $y=|x|$ лежит в верхней полуплоскости, а график $y = \sqrt[5]{x}$ — в нижней, поэтому пересечений нет.
Проверим аналитически для $x \ge 0$:
$x = \sqrt[5]{x}$
Возведем обе части в пятую степень:
$x^5 = x$
$x^5 - x = 0$
$x(x^4 - 1) = 0$
$x(x^2 - 1)(x^2 + 1) = 0$
$x(x - 1)(x + 1)(x^2 + 1) = 0$
Действительные корни: $x_1 = 0$, $x_2 = 1$, $x_3 = -1$. Учитывая условие $x \ge 0$, получаем решения $x = 0$ и $x = 1$.
Ответ: $x = 0, x = 1$.
№56.14 (с. 221)
Условие. №56.14 (с. 221)
скриншот условия

56.14 а) $\sin 2x = \sin x;$
б) $\cos^2(\pi - x) + \sin 2x = 0;$
в) $\sqrt{3} \cos 3x = \sin 6x;$
г) $\sin^2\left(\pi + \frac{x}{2}\right) - \frac{1}{2}\sin x = 0.$
Решение 1. №56.14 (с. 221)

Решение 2. №56.14 (с. 221)



Решение 5. №56.14 (с. 221)



Решение 6. №56.14 (с. 221)
а) Исходное уравнение: $sin 2x = sin x$.
Применим формулу синуса двойного угла $sin 2\alpha = 2sin\alpha cos\alpha$:
$2sin x cos x = sin x$
Перенесем все члены уравнения в левую часть:
$2sin x cos x - sin x = 0$
Вынесем общий множитель $sin x$ за скобки:
$sin x (2cos x - 1) = 0$
Произведение равно нулю, если хотя бы один из множителей равен нулю. Таким образом, получаем два уравнения:
1) $sin x = 0$
Решением этого уравнения является серия корней: $x = \pi k$, где $k \in \mathbb{Z}$.
2) $2cos x - 1 = 0$
$2cos x = 1$
$cos x = \frac{1}{2}$
Решением этого уравнения является серия корней: $x = \pm\frac{\pi}{3} + 2\pi n$, где $n \in \mathbb{Z}$.
Ответ: $x = \pi k, k \in \mathbb{Z}$; $x = \pm\frac{\pi}{3} + 2\pi n, n \in \mathbb{Z}$.
б) Исходное уравнение: $cos^2(\pi - x) + sin 2x = 0$.
Используем формулу приведения $cos(\pi - \alpha) = -cos\alpha$. Тогда $cos^2(\pi - x) = (-cos x)^2 = cos^2 x$.
Также применим формулу синуса двойного угла $sin 2x = 2sin x cos x$.
Уравнение принимает вид:
$cos^2 x + 2sin x cos x = 0$
Вынесем общий множитель $cos x$ за скобки:
$cos x (cos x + 2sin x) = 0$
Получаем два уравнения:
1) $cos x = 0$
$x = \frac{\pi}{2} + \pi k, k \in \mathbb{Z}$.
2) $cos x + 2sin x = 0$
Это однородное тригонометрическое уравнение. Если предположить, что $cos x = 0$, то из уравнения следует, что $2sin x = 0$, то есть $sin x = 0$. Но $sin x$ и $cos x$ не могут быть равны нулю одновременно, поэтому $cos x \neq 0$. Разделим обе части уравнения на $cos x$:
$1 + 2\frac{sin x}{cos x} = 0$
$1 + 2tan x = 0$
$tan x = -\frac{1}{2}$
$x = arctan(-\frac{1}{2}) + \pi n = -\arctan\frac{1}{2} + \pi n, n \in \mathbb{Z}$.
Ответ: $x = \frac{\pi}{2} + \pi k, k \in \mathbb{Z}$; $x = -\arctan\frac{1}{2} + \pi n, n \in \mathbb{Z}$.
в) Исходное уравнение: $\sqrt{3} cos 3x = sin 6x$.
Применим формулу синуса двойного угла $sin(2\alpha) = 2sin\alpha cos\alpha$ для $sin 6x = sin(2 \cdot 3x)$:
$\sqrt{3} cos 3x = 2sin 3x cos 3x$
Перенесем все в левую часть:
$2sin 3x cos 3x - \sqrt{3} cos 3x = 0$
Вынесем общий множитель $cos 3x$ за скобки:
$cos 3x (2sin 3x - \sqrt{3}) = 0$
Получаем два уравнения:
1) $cos 3x = 0$
$3x = \frac{\pi}{2} + \pi k \implies x = \frac{\pi}{6} + \frac{\pi k}{3}, k \in \mathbb{Z}$.
2) $2sin 3x - \sqrt{3} = 0$
$sin 3x = \frac{\sqrt{3}}{2}$
$3x = (-1)^n arcsin(\frac{\sqrt{3}}{2}) + \pi n = (-1)^n \frac{\pi}{3} + \pi n$
$x = (-1)^n \frac{\pi}{9} + \frac{\pi n}{3}, n \in \mathbb{Z}$.
Ответ: $x = \frac{\pi}{6} + \frac{\pi k}{3}, k \in \mathbb{Z}$; $x = (-1)^n \frac{\pi}{9} + \frac{\pi n}{3}, n \in \mathbb{Z}$.
г) Исходное уравнение: $sin^2(\pi + \frac{x}{2}) - \frac{1}{2}sin x = 0$.
Используем формулу приведения $sin(\pi + \alpha) = -sin\alpha$. Тогда $sin^2(\pi + \frac{x}{2}) = (-sin\frac{x}{2})^2 = sin^2\frac{x}{2}$.
Применим формулу синуса двойного угла для $sin x = sin(2 \cdot \frac{x}{2}) = 2sin\frac{x}{2}cos\frac{x}{2}$.
Подставим в уравнение:
$sin^2\frac{x}{2} - \frac{1}{2}(2sin\frac{x}{2}cos\frac{x}{2}) = 0$
$sin^2\frac{x}{2} - sin\frac{x}{2}cos\frac{x}{2} = 0$
Вынесем $sin\frac{x}{2}$ за скобки:
$sin\frac{x}{2}(sin\frac{x}{2} - cos\frac{x}{2}) = 0$
Получаем два уравнения:
1) $sin\frac{x}{2} = 0$
$\frac{x}{2} = \pi k \implies x = 2\pi k, k \in \mathbb{Z}$.
2) $sin\frac{x}{2} - cos\frac{x}{2} = 0$
$sin\frac{x}{2} = cos\frac{x}{2}$
Разделим обе части на $cos\frac{x}{2}$ (убедившись, что $cos\frac{x}{2} \neq 0$, так как если $cos\frac{x}{2}=0$, то и $sin\frac{x}{2}=0$, что невозможно):
$tan\frac{x}{2} = 1$
$\frac{x}{2} = \frac{\pi}{4} + \pi n$
$x = \frac{\pi}{2} + 2\pi n, n \in \mathbb{Z}$.
Ответ: $x = 2\pi k, k \in \mathbb{Z}$; $x = \frac{\pi}{2} + 2\pi n, n \in \mathbb{Z}$.
№56.16 (с. 221)
Условие. №56.16 (с. 221)
скриншот условия

56.16 a) $\sqrt{x^2 + 1 - 2x - 6\sqrt{x - 1}} = 7;$
б) $\sqrt{x^2 - 4x + 4 - 6} = 5\sqrt{2 - x}.$
Решение 1. №56.16 (с. 221)

Решение 2. №56.16 (с. 221)


Решение 5. №56.16 (с. 221)


Решение 6. №56.16 (с. 221)
а) Решим уравнение $\sqrt{x^2 + 1 - 2x} - 6\sqrt{x-1} = 7$.
Сначала найдем область допустимых значений (ОДЗ). Выражение под корнем должно быть неотрицательным:
$x - 1 \ge 0 \implies x \ge 1$.
Также $x^2 + 1 - 2x = (x-1)^2 \ge 0$ для любого $x$.
Таким образом, ОДЗ: $x \ge 1$.
Заметим, что подкоренное выражение $x^2 - 2x + 1$ является полным квадратом: $x^2 - 2x + 1 = (x-1)^2$.
Тогда уравнение можно переписать в виде:
$\sqrt{(x-1)^2} - 6\sqrt{x-1} = 7$
$|x-1| - 6\sqrt{x-1} = 7$
Поскольку из ОДЗ мы знаем, что $x \ge 1$, то $x-1 \ge 0$, и, следовательно, $|x-1| = x-1$.
Уравнение принимает вид:
$(x-1) - 6\sqrt{x-1} - 7 = 0$
Сделаем замену переменной. Пусть $y = \sqrt{x-1}$. Так как корень не может быть отрицательным, $y \ge 0$. Тогда $x-1 = y^2$.
Подставим замену в уравнение:
$y^2 - 6y - 7 = 0$
Решим это квадратное уравнение относительно $y$ с помощью дискриминанта:
$D = b^2 - 4ac = (-6)^2 - 4 \cdot 1 \cdot (-7) = 36 + 28 = 64 = 8^2$
$y_1 = \frac{-(-6) + 8}{2 \cdot 1} = \frac{14}{2} = 7$
$y_2 = \frac{-(-6) - 8}{2 \cdot 1} = \frac{-2}{2} = -1$
Так как $y \ge 0$, корень $y_2 = -1$ не является решением. Остается $y_1 = 7$.
Вернемся к исходной переменной $x$:
$\sqrt{x-1} = 7$
Возведем обе части в квадрат:
$x-1 = 49$
$x = 50$
Проверим, удовлетворяет ли корень $x=50$ нашему ОДЗ ($x \ge 1$). Да, удовлетворяет.
Ответ: 50.
б) Решим уравнение $\sqrt{x^2 - 4x + 4} - 6 = 5\sqrt{2-x}$.
Найдем область допустимых значений (ОДЗ). Выражение под корнем должно быть неотрицательным:
$2 - x \ge 0 \implies x \le 2$.
Выражение $x^2 - 4x + 4 = (x-2)^2 \ge 0$ для любого $x$.
Таким образом, ОДЗ: $x \le 2$.
Упростим выражение под первым корнем: $x^2 - 4x + 4 = (x-2)^2$.
Уравнение принимает вид:
$\sqrt{(x-2)^2} - 6 = 5\sqrt{2-x}$
$|x-2| - 6 = 5\sqrt{2-x}$
Из ОДЗ мы знаем, что $x \le 2$, поэтому $x-2 \le 0$. Следовательно, $|x-2| = -(x-2) = 2-x$.
Подставим это в уравнение:
$(2-x) - 6 = 5\sqrt{2-x}$
Сделаем замену переменной. Пусть $z = \sqrt{2-x}$. Так как корень не может быть отрицательным, $z \ge 0$. Тогда $2-x = z^2$.
Подставляем замену в уравнение:
$z^2 - 6 = 5z$
$z^2 - 5z - 6 = 0$
Решим полученное квадратное уравнение:
$D = b^2 - 4ac = (-5)^2 - 4 \cdot 1 \cdot (-6) = 25 + 24 = 49 = 7^2$
$z_1 = \frac{-(-5) + 7}{2 \cdot 1} = \frac{12}{2} = 6$
$z_2 = \frac{-(-5) - 7}{2 \cdot 1} = \frac{-2}{2} = -1$
Так как по условию замены $z \ge 0$, корень $z_2 = -1$ не подходит. Остается $z_1 = 6$.
Выполним обратную замену:
$\sqrt{2-x} = 6$
Возведем обе части в квадрат:
$2-x = 36$
$x = 2 - 36$
$x = -34$
Проверим, удовлетворяет ли корень $x=-34$ нашему ОДЗ ($x \le 2$). Да, $-34 \le 2$, следовательно, корень подходит.
Ответ: -34.
№56.18 (с. 221)
Условие. №56.18 (с. 221)
скриншот условия

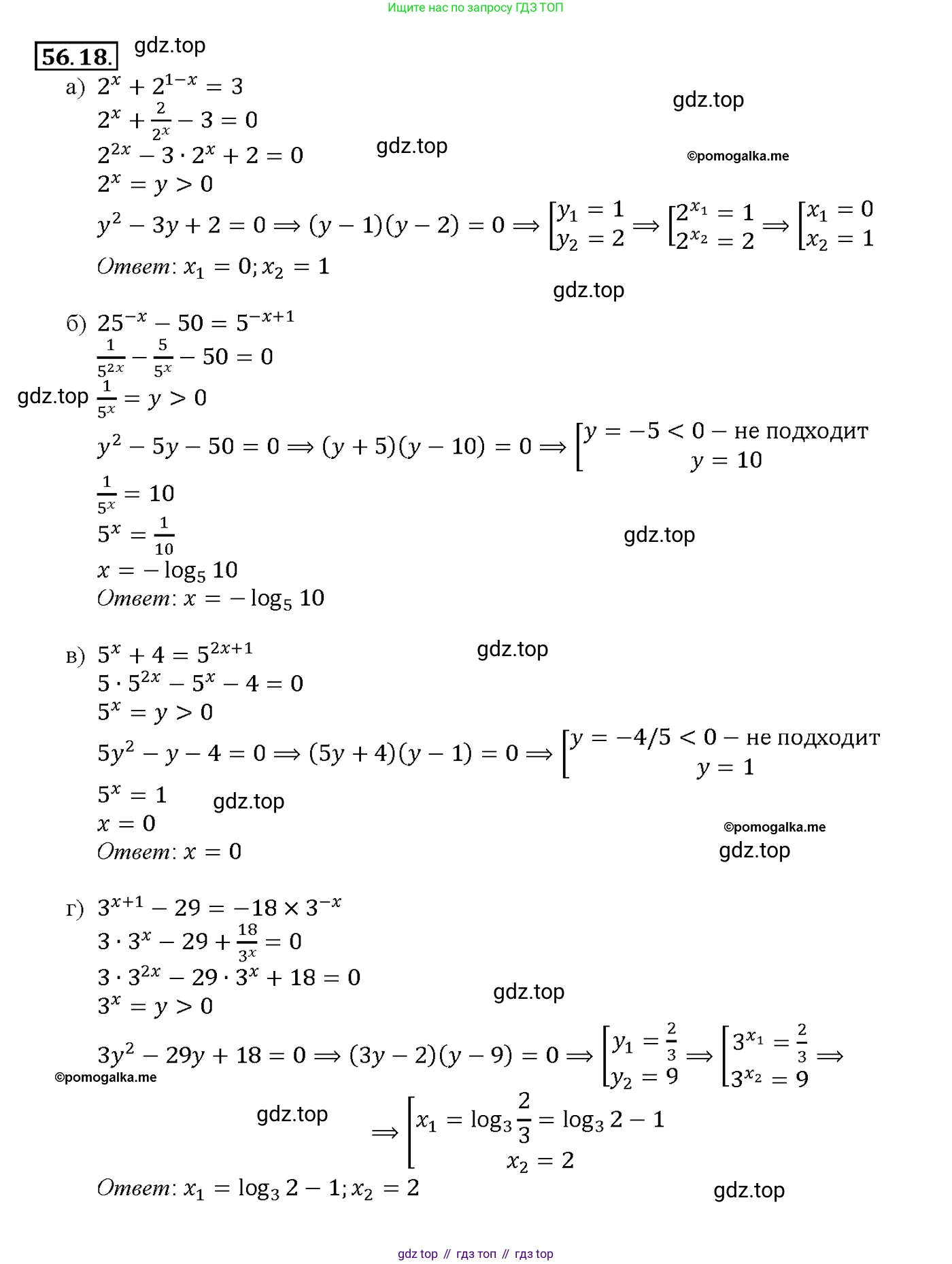
56.18 a) $2^x + 2^{1-x} = 3;$
б) $25^{-x} - 50 = 5^{-x+1},$
В) $5^x + 4 = 5^{2x+1},$
Г) $3^{x+1} - 29 = -18 \cdot 3^{-x}.$
Решение 1. №56.18 (с. 221)

Решение 2. №56.18 (с. 221)



Решение 5. №56.18 (с. 221)



Решение 6. №56.18 (с. 221)
а) $2^x + 2^{1-x} = 3$
Преобразуем уравнение, используя свойство степеней $a^{m-n} = \frac{a^m}{a^n}$:
$2^x + \frac{2^1}{2^x} = 3$
Введем замену переменной. Пусть $t = 2^x$. Так как показательная функция всегда положительна, то $t > 0$.
Уравнение с новой переменной: $t + \frac{2}{t} = 3$.
Умножим обе части на $t$ (поскольку $t \neq 0$), чтобы избавиться от дроби:
$t^2 + 2 = 3t$
Перенесем все члены в одну сторону, чтобы получить квадратное уравнение:
$t^2 - 3t + 2 = 0$
Найдем корни этого уравнения, например, по теореме Виета: сумма корней равна 3, произведение равно 2. Корни: $t_1 = 1$, $t_2 = 2$.
Оба корня удовлетворяют условию $t > 0$.
Вернемся к исходной переменной $x$:
1) $2^x = t_1 \implies 2^x = 1 \implies 2^x = 2^0 \implies x = 0$.
2) $2^x = t_2 \implies 2^x = 2 \implies 2^x = 2^1 \implies x = 1$.
Ответ: $0; 1$.
б) $25^{-x} - 50 = 5^{-x+1}$
Приведем все степени к одному основанию 5. Заметим, что $25=5^2$.
$(5^2)^{-x} - 50 = 5^{-x} \cdot 5^1$
$5^{-2x} - 50 = 5 \cdot 5^{-x}$
$(5^{-x})^2 - 5 \cdot 5^{-x} - 50 = 0$
Сделаем замену переменной. Пусть $t = 5^{-x}$, где $t > 0$.
$t^2 - 5t - 50 = 0$
Решим квадратное уравнение с помощью дискриминанта:
$D = b^2 - 4ac = (-5)^2 - 4 \cdot 1 \cdot (-50) = 25 + 200 = 225 = 15^2$
$t_{1,2} = \frac{-b \pm \sqrt{D}}{2a} = \frac{5 \pm 15}{2}$
$t_1 = \frac{5+15}{2} = 10$
$t_2 = \frac{5-15}{2} = -5$
Корень $t_2 = -5$ не удовлетворяет условию $t > 0$, поэтому он является посторонним.
Выполним обратную замену для $t_1 = 10$:
$5^{-x} = 10$
Прологарифмируем обе части по основанию 5:
$\log_5(5^{-x}) = \log_5(10)$
$-x = \log_5(10)$
$x = -\log_5(10)$
Ответ: $-\log_5(10)$.
в) $5^x + 4 = 5^{2x+1}$
Преобразуем правую часть уравнения: $5^{2x+1} = 5^{2x} \cdot 5^1 = 5 \cdot (5^x)^2$.
Уравнение принимает вид: $5^x + 4 = 5 \cdot (5^x)^2$.
Перенесем все члены в одну сторону:
$5 \cdot (5^x)^2 - 5^x - 4 = 0$
Сделаем замену переменной. Пусть $t = 5^x$, где $t > 0$.
$5t^2 - t - 4 = 0$
Решим квадратное уравнение:
$D = (-1)^2 - 4 \cdot 5 \cdot (-4) = 1 + 80 = 81 = 9^2$
$t_{1,2} = \frac{1 \pm 9}{2 \cdot 5} = \frac{1 \pm 9}{10}$
$t_1 = \frac{1+9}{10} = 1$
$t_2 = \frac{1-9}{10} = -0.8$
Корень $t_2 = -0.8$ не удовлетворяет условию $t > 0$.
Выполним обратную замену для $t_1 = 1$:
$5^x = 1$
$5^x = 5^0$
$x=0$
Ответ: $0$.
г) $3^{x+1} - 29 = -18 \cdot 3^{-x}$
Преобразуем уравнение, используя свойства степеней:
$3^x \cdot 3^1 - 29 = -18 \cdot \frac{1}{3^x}$
$3 \cdot 3^x - 29 = -\frac{18}{3^x}$
Сделаем замену переменной. Пусть $t = 3^x$, где $t > 0$.
$3t - 29 = -\frac{18}{t}$
Умножим обе части на $t$ (где $t \neq 0$):
$3t^2 - 29t = -18$
$3t^2 - 29t + 18 = 0$
Решим квадратное уравнение:
$D = (-29)^2 - 4 \cdot 3 \cdot 18 = 841 - 216 = 625 = 25^2$
$t_{1,2} = \frac{29 \pm 25}{2 \cdot 3} = \frac{29 \pm 25}{6}$
$t_1 = \frac{29+25}{6} = \frac{54}{6} = 9$
$t_2 = \frac{29-25}{6} = \frac{4}{6} = \frac{2}{3}$
Оба корня положительны, поэтому оба подходят.
Выполним обратную замену для каждого корня:
1) $3^x = t_1 \implies 3^x = 9 \implies 3^x = 3^2 \implies x = 2$.
2) $3^x = t_2 \implies 3^x = \frac{2}{3} \implies x = \log_3\left(\frac{2}{3}\right)$.
Используя свойство логарифма частного, второй корень можно записать как $x = \log_3(2) - \log_3(3) = \log_3(2) - 1$.
Ответ: $2; \log_3\left(\frac{2}{3}\right)$.
№56.20 (с. 221)
Условие. №56.20 (с. 221)
скриншот условия

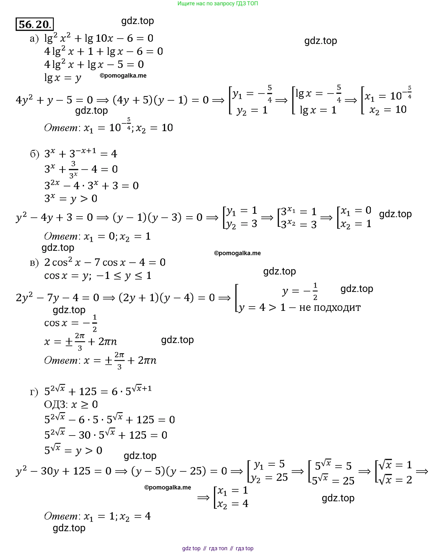
56.20 a) $lg^2 x^2 + lg 10x - 6 = 0;$
б) $3^x + 3^{-x+1} = 4;$
В) $2 \cos^2 x - 7 \cos x - 4 = 0;$
Г) $5^{2\sqrt{x}} + 125 = 6 \cdot 5^{\sqrt{x}+1}.$
Решение 1. №56.20 (с. 221)

Решение 2. №56.20 (с. 221)



Решение 5. №56.20 (с. 221)



Решение 6. №56.20 (с. 221)
а) Исходное уравнение: $lg^2 x^2 + lg(10x) - 6 = 0$.
Сначала определим область допустимых значений (ОДЗ). Аргументы логарифмов должны быть положительными:
$x^2 > 0 \implies x \neq 0$
$10x > 0 \implies x > 0$
Объединяя условия, получаем ОДЗ: $x > 0$.
Преобразуем уравнение, используя свойства логарифмов:
$lg^2 x^2 = (lg(x^2))^2 = (2 \cdot lg|x|)^2$. Так как по ОДЗ $x > 0$, то $|x| = x$, и выражение становится $(2 \cdot lg(x))^2 = 4lg^2x$.
$lg(10x) = lg(10) + lg(x) = 1 + lg(x)$.
Подставим преобразованные выражения в исходное уравнение:
$4lg^2x + (1 + lg(x)) - 6 = 0$
$4lg^2x + lg(x) - 5 = 0$
Сделаем замену переменной. Пусть $t = lg(x)$. Уравнение принимает вид:
$4t^2 + t - 5 = 0$
Решим это квадратное уравнение. Дискриминант $D = b^2 - 4ac = 1^2 - 4 \cdot 4 \cdot (-5) = 1 + 80 = 81 = 9^2$.
$t_1 = \frac{-1 + 9}{2 \cdot 4} = \frac{8}{8} = 1$
$t_2 = \frac{-1 - 9}{2 \cdot 4} = \frac{-10}{8} = -\frac{5}{4}$
Вернемся к исходной переменной:
1) $lg(x) = 1 \implies x = 10^1 = 10$.
2) $lg(x) = -\frac{5}{4} \implies x = 10^{-5/4}$.
Оба корня удовлетворяют ОДЗ ($x > 0$).
Ответ: $10; 10^{-5/4}$.
б) Исходное уравнение: $3^x + 3^{-x+1} = 4$.
Преобразуем второе слагаемое, используя свойства степеней: $3^{-x+1} = 3^{-x} \cdot 3^1 = \frac{3}{3^x}$.
Подставим в уравнение:
$3^x + \frac{3}{3^x} = 4$
Сделаем замену переменной. Пусть $t = 3^x$. Так как показательная функция всегда положительна, то $t > 0$.
$t + \frac{3}{t} = 4$
Умножим обе части на $t$ (так как $t \neq 0$):
$t^2 + 3 = 4t$
$t^2 - 4t + 3 = 0$
Решим квадратное уравнение. По теореме Виета, корни $t_1 = 1$ и $t_2 = 3$. Оба корня положительны и подходят по условию $t > 0$.
Вернемся к исходной переменной:
1) $3^x = 1 \implies 3^x = 3^0 \implies x = 0$.
2) $3^x = 3 \implies 3^x = 3^1 \implies x = 1$.
Ответ: $0; 1$.
в) Исходное уравнение: $2\cos^2x - 7\cos x - 4 = 0$.
Это квадратное уравнение относительно $\cos x$. Сделаем замену переменной. Пусть $t = \cos x$. Учитывая, что область значений косинуса $[-1, 1]$, имеем ограничение $-1 \le t \le 1$.
$2t^2 - 7t - 4 = 0$
Решим это квадратное уравнение. Дискриминант $D = b^2 - 4ac = (-7)^2 - 4 \cdot 2 \cdot (-4) = 49 + 32 = 81 = 9^2$.
$t_1 = \frac{7 + 9}{2 \cdot 2} = \frac{16}{4} = 4$.
$t_2 = \frac{7 - 9}{2 \cdot 2} = \frac{-2}{4} = -\frac{1}{2}$.
Проверим корни с учетом ограничения $-1 \le t \le 1$:
$t_1 = 4$ не удовлетворяет условию, так как $4 > 1$.
$t_2 = -\frac{1}{2}$ удовлетворяет условию.
Вернемся к исходной переменной:
$\cos x = -\frac{1}{2}$
Общее решение для этого уравнения: $x = \pm \arccos(-\frac{1}{2}) + 2\pi k$, где $k \in Z$.
$\arccos(-\frac{1}{2}) = \frac{2\pi}{3}$.
Следовательно, $x = \pm \frac{2\pi}{3} + 2\pi k, k \in Z$.
Ответ: $\pm \frac{2\pi}{3} + 2\pi k, k \in Z$.
г) Исходное уравнение: $5^{2\sqrt{x}} + 125 = 6 \cdot 5^{\sqrt{x}+1}$.
ОДЗ: подкоренное выражение должно быть неотрицательным, $x \ge 0$.
Преобразуем уравнение, используя свойства степеней:
$5^{2\sqrt{x}} = (5^{\sqrt{x}})^2$
$5^{\sqrt{x}+1} = 5^{\sqrt{x}} \cdot 5^1 = 5 \cdot 5^{\sqrt{x}}$
Подставим в уравнение:
$(5^{\sqrt{x}})^2 + 125 = 6 \cdot 5 \cdot 5^{\sqrt{x}}$
$(5^{\sqrt{x}})^2 - 30 \cdot 5^{\sqrt{x}} + 125 = 0$
Сделаем замену переменной. Пусть $t = 5^{\sqrt{x}}$. Так как $x \ge 0$, то $\sqrt{x} \ge 0$, и $t = 5^{\sqrt{x}} \ge 5^0 = 1$. Итак, $t \ge 1$.
$t^2 - 30t + 125 = 0$
Решим квадратное уравнение. По теореме Виета, корни $t_1 = 5$ и $t_2 = 25$.
Оба корня удовлетворяют условию $t \ge 1$.
Вернемся к исходной переменной:
1) $5^{\sqrt{x}} = 5 \implies 5^{\sqrt{x}} = 5^1 \implies \sqrt{x} = 1 \implies x = 1$.
2) $5^{\sqrt{x}} = 25 \implies 5^{\sqrt{x}} = 5^2 \implies \sqrt{x} = 2 \implies x = 4$.
Оба корня удовлетворяют ОДЗ ($x \ge 0$).
Ответ: $1; 4$.
№56.22 (с. 221)
Условие. №56.22 (с. 221)
скриншот условия

56.22 а) $2^x = 6 - x;$
б) $(\frac{1}{3})^x = x + 4.$
Решение 1. №56.22 (с. 221)

Решение 2. №56.22 (с. 221)

Решение 5. №56.22 (с. 221)

Решение 6. №56.22 (с. 221)
а) Решим уравнение $2^x = 6 - x$.
Данный тип уравнений, где переменная находится и в показателе степени, и в основании, как правило, решается графическим методом или методом оценки монотонности функций.
Рассмотрим две функции, соответствующие левой и правой частям уравнения:
$y_1 = 2^x$ — показательная функция.
$y_2 = 6 - x$ — линейная функция.
Проанализируем их поведение:
1. Функция $y_1 = 2^x$ является монотонно возрастающей на всей области определения $(-\infty; +\infty)$, так как ее основание $2 > 1$.
2. Функция $y_2 = 6 - x$ является монотонно убывающей на всей области определения $(-\infty; +\infty)$, так как ее угловой коэффициент равен $-1$.
Поскольку одна функция строго возрастает, а другая строго убывает, их графики могут пересечься не более чем в одной точке. Это означает, что уравнение имеет не более одного корня.
Найдем этот корень методом подбора. Попробуем подставить целые значения $x$.
При $x = 2$:
Левая часть: $2^2 = 4$.
Правая часть: $6 - 2 = 4$.
Поскольку левая часть равна правой ($4 = 4$), то $x = 2$ является корнем уравнения.
Так как корень может быть только один, то это и есть решение.
Ответ: $2$.
б) Решим уравнение $(\frac{1}{3})^x = x + 4$.
Аналогично предыдущему пункту, используем метод анализа функций.
Рассмотрим две функции:
$y_1 = (\frac{1}{3})^x$ — показательная функция.
$y_2 = x + 4$ — линейная функция.
Проанализируем их поведение:
1. Функция $y_1 = (\frac{1}{3})^x$ является монотонно убывающей на всей области определения $(-\infty; +\infty)$, так как ее основание $0 < \frac{1}{3} < 1$.
2. Функция $y_2 = x + 4$ является монотонно возрастающей на всей области определения $(-\infty; +\infty)$, так как ее угловой коэффициент равен $1$.
Так как одна функция убывает, а другая возрастает, их графики могут пересечься не более чем в одной точке. Следовательно, уравнение имеет не более одного корня.
Найдем корень методом подбора.
При $x = -1$:
Левая часть: $(\frac{1}{3})^{-1} = 3^1 = 3$.
Правая часть: $-1 + 4 = 3$.
Поскольку левая часть равна правой ($3 = 3$), то $x = -1$ является корнем уравнения.
Поскольку мы доказали, что корень единственный, то $x = -1$ и является решением.
Ответ: $-1$.
Помогло решение? Оставьте отзыв в комментариях ниже.