Страница 25 - гдз по алгебре 11 класс учебник Мерзляк, Номировский

Авторы: Мерзляк А. Г., Номировский Д. А., Полонский В. Б., Якир М. С.
Тип: Учебник
Издательство: Просвещение
Год издания: 2016 - 2025
Уровень обучения: базовый
Цвет обложки: синий, зелёный
Допущено Министерством просвещения Российской Федерации
Математика. Алгебра и начала математического анализа
Популярные ГДЗ в 11 классе
Cтраница 25

№3.13 (с. 25)
Учебник. №3.13 (с. 25)
скриншот условия

3.13. Решите неравенство:
1) $9^{x+1} - 2 \cdot 3^x - 7 \le 0$;
2) $2^x + 2^{\frac{x}{2}} - 72 \ge 0$;
3) $(\frac{1}{4})^x - 3 \cdot (\frac{1}{2})^x + 2 > 0$;
4) $25^x - 26 \cdot 5^x + 25 \le 0$.
Решение. №3.13 (с. 25)

Решение 2. №3.13 (с. 25)
1) Исходное неравенство: $9^{x+1} - 2 \cdot 3^x - 7 \le 0$.
Преобразуем $9^{x+1}$: $9^{x+1} = 9^x \cdot 9^1 = (3^2)^x \cdot 9 = 9 \cdot (3^x)^2$.
Подставим это в неравенство: $9 \cdot (3^x)^2 - 2 \cdot 3^x - 7 \le 0$.
Сделаем замену переменной. Пусть $t = 3^x$. Так как показательная функция всегда положительна, то $t > 0$.
Получим квадратное неравенство относительно $t$: $9t^2 - 2t - 7 \le 0$.
Найдем корни соответствующего квадратного уравнения $9t^2 - 2t - 7 = 0$.
Дискриминант $D = b^2 - 4ac = (-2)^2 - 4 \cdot 9 \cdot (-7) = 4 + 252 = 256 = 16^2$.
Корни уравнения: $t_1 = \frac{-b - \sqrt{D}}{2a} = \frac{2 - 16}{18} = \frac{-14}{18} = -\frac{7}{9}$ и $t_2 = \frac{-b + \sqrt{D}}{2a} = \frac{2 + 16}{18} = \frac{18}{18} = 1$.
Так как ветви параболы $y = 9t^2 - 2t - 7$ направлены вверх, неравенство $9t^2 - 2t - 7 \le 0$ выполняется при $t \in [-\frac{7}{9}, 1]$.
Учитывая условие $t > 0$, получаем $0 < t \le 1$.
Вернемся к исходной переменной $x$: $0 < 3^x \le 1$.
Неравенство $3^x > 0$ выполняется для любого $x$.
Решим неравенство $3^x \le 1$. Представим $1$ как $3^0$: $3^x \le 3^0$.
Так как основание степени $3 > 1$, функция $y=3^x$ является возрастающей, поэтому при переходе к показателям знак неравенства сохраняется: $x \le 0$.
Ответ: $x \in (-\infty, 0]$.
2) Исходное неравенство: $2^x + 2^{\frac{x}{2}} - 72 \ge 0$.
Заметим, что $2^x = (2^{\frac{x}{2}})^2$.
Неравенство принимает вид: $(2^{\frac{x}{2}})^2 + 2^{\frac{x}{2}} - 72 \ge 0$.
Сделаем замену переменной. Пусть $t = 2^{\frac{x}{2}}$. Так как $t$ - это значение показательной функции, $t > 0$.
Получим квадратное неравенство: $t^2 + t - 72 \ge 0$.
Найдем корни уравнения $t^2 + t - 72 = 0$. По теореме Виета, $t_1 + t_2 = -1$ и $t_1 \cdot t_2 = -72$. Корни: $t_1 = -9$ и $t_2 = 8$.
Ветви параболы $y=t^2 + t - 72$ направлены вверх, поэтому неравенство выполняется при $t \le -9$ или $t \ge 8$.
Возвращаемся к замене. Учитывая, что $t > 0$, вариант $t \le -9$ невозможен.
Остается $t \ge 8$.
Подставляем обратно $2^{\frac{x}{2}}$: $2^{\frac{x}{2}} \ge 8$.
Представим $8$ как степень двойки: $8 = 2^3$.
$2^{\frac{x}{2}} \ge 2^3$.
Так как основание $2 > 1$, функция возрастающая, знак неравенства сохраняется: $\frac{x}{2} \ge 3$.
Умножим обе части на 2: $x \ge 6$.
Ответ: $x \in [6, +\infty)$.
3) Исходное неравенство: $(\frac{1}{4})^x - 3 \cdot (\frac{1}{2})^x + 2 > 0$.
Заметим, что $(\frac{1}{4})^x = ((\frac{1}{2})^2)^x = ((\frac{1}{2})^x)^2$.
Неравенство принимает вид: $((\frac{1}{2})^x)^2 - 3 \cdot (\frac{1}{2})^x + 2 > 0$.
Сделаем замену переменной. Пусть $t = (\frac{1}{2})^x$. Тогда $t > 0$.
Получим квадратное неравенство: $t^2 - 3t + 2 > 0$.
Найдем корни уравнения $t^2 - 3t + 2 = 0$. По теореме Виета, $t_1 + t_2 = 3$ и $t_1 \cdot t_2 = 2$. Корни: $t_1 = 1$ и $t_2 = 2$.
Ветви параболы $y=t^2 - 3t + 2$ направлены вверх, поэтому неравенство выполняется при $t < 1$ или $t > 2$.
Возвращаемся к замене: $(\frac{1}{2})^x < 1$ или $(\frac{1}{2})^x > 2$.
Решим первое неравенство: $(\frac{1}{2})^x < 1$. Представим $1$ как $(\frac{1}{2})^0$: $(\frac{1}{2})^x < (\frac{1}{2})^0$.
Так как основание $0 < \frac{1}{2} < 1$, функция убывающая, поэтому знак неравенства меняется на противоположный: $x > 0$.
Решим второе неравенство: $(\frac{1}{2})^x > 2$. Представим $2$ как $(\frac{1}{2})^{-1}$: $(\frac{1}{2})^x > (\frac{1}{2})^{-1}$.
Так как основание $0 < \frac{1}{2} < 1$, функция убывающая, знак неравенства меняется на противоположный: $x < -1$.
Объединяя решения, получаем $x \in (-\infty, -1) \cup (0, +\infty)$.
Ответ: $x \in (-\infty, -1) \cup (0, +\infty)$.
4) Исходное неравенство: $25^x - 26 \cdot 5^x + 25 \le 0$.
Заметим, что $25^x = (5^2)^x = (5^x)^2$.
Неравенство принимает вид: $(5^x)^2 - 26 \cdot 5^x + 25 \le 0$.
Сделаем замену переменной. Пусть $t = 5^x$. Тогда $t > 0$.
Получим квадратное неравенство: $t^2 - 26t + 25 \le 0$.
Найдем корни уравнения $t^2 - 26t + 25 = 0$. По теореме Виета, $t_1 + t_2 = 26$ и $t_1 \cdot t_2 = 25$. Корни: $t_1 = 1$ и $t_2 = 25$.
Ветви параболы $y=t^2 - 26t + 25$ направлены вверх, поэтому неравенство выполняется при $1 \le t \le 25$.
Условие $t>0$ выполняется на этом промежутке.
Возвращаемся к замене: $1 \le 5^x \le 25$.
Представим $1$ и $25$ как степени пятерки: $1 = 5^0$, $25 = 5^2$.
$5^0 \le 5^x \le 5^2$.
Так как основание $5 > 1$, функция возрастающая, знаки неравенств сохраняются: $0 \le x \le 2$.
Ответ: $x \in [0, 2]$.
№3.14 (с. 25)
Учебник. №3.14 (с. 25)
скриншот условия

3.14. Решите неравенство:
1) $\frac{5^x - 125}{x^2 - 4x + 4} \leq 0;$
2) $\frac{2^x - 1}{x - 1} > 0.$
Решение. №3.14 (с. 25)

Решение 2. №3.14 (с. 25)
1)
Решим неравенство $\frac{5^x - 125}{x^2 - 4x + 4} \le 0$.
Найдем область допустимых значений (ОДЗ). Знаменатель дроби не должен быть равен нулю:
$x^2 - 4x + 4 \neq 0$.
Заметим, что знаменатель является полным квадратом: $x^2 - 4x + 4 = (x-2)^2$.
Тогда условие ОДЗ: $(x-2)^2 \neq 0$, откуда $x \neq 2$.
Перепишем исходное неравенство с учетом этого:
$\frac{5^x - 125}{(x-2)^2} \le 0$.
Так как для любого $x$ из ОДЗ знаменатель $(x-2)^2$ всегда строго больше нуля, знак дроби определяется знаком числителя. Поэтому неравенство равносильно системе условий: $5^x - 125 \le 0$ и $x \neq 2$.
Решим первое неравенство:
$5^x - 125 \le 0$
$5^x \le 125$
Представим 125 как степень пятерки: $125 = 5^3$.
$5^x \le 5^3$.
Поскольку основание степени $5 > 1$, показательная функция является возрастающей. Следовательно, можно перейти к неравенству для показателей, сохранив его знак:
$x \le 3$.
Объединим полученное решение с условием ОДЗ ($x \neq 2$). Решением будет множество всех чисел, которые меньше или равны 3, за исключением числа 2.
В виде интервала это записывается как $x \in (-\infty, 2) \cup (2, 3]$.
Ответ: $(-\infty, 2) \cup (2, 3]$.
2)
Решим неравенство $\frac{2^x - 1}{x - 1} > 0$.
Это неравенство удобно решать методом рационализации (или обобщенным методом интервалов). Согласно этому методу, знак выражения вида $a^{f(x)} - a^{g(x)}$ при $a>1$ совпадает со знаком выражения $f(x) - g(x)$.
Преобразуем числитель: $2^x - 1 = 2^x - 2^0$.
Так как основание $2 > 1$, знак выражения $2^x - 2^0$ совпадает со знаком разности показателей $x - 0$, то есть со знаком $x$.
Таким образом, исходное неравенство равносильно следующему рациональному неравенству:
$\frac{x}{x-1} > 0$.
Решим его методом интервалов. Найдем точки, в которых числитель или знаменатель обращаются в ноль:
Нуль числителя: $x = 0$.
Нуль знаменателя: $x - 1 = 0 \implies x = 1$.
Отметим точки $0$ и $1$ на числовой оси. Поскольку неравенство строгое, обе точки выколотые. Эти точки разбивают ось на три интервала: $(-\infty, 0)$, $(0, 1)$ и $(1, \infty)$.
Определим знак дроби $\frac{x}{x-1}$ на каждом интервале:
- Если $x \in (1, \infty)$ (например, $x=2$), то $\frac{2}{2-1} = 2 > 0$. Знак «+».
- Если $x \in (0, 1)$ (например, $x=0.5$), то $\frac{0.5}{0.5-1} = -1 < 0$. Знак «-».
- Если $x \in (-\infty, 0)$ (например, $x=-1$), то $\frac{-1}{-1-1} = 0.5 > 0$. Знак «+».
Нас интересуют интервалы, где выражение положительно (знак «+»). Это $(-\infty, 0)$ и $(1, \infty)$.
Объединив эти интервалы, получаем итоговое решение.
Ответ: $(-\infty, 0) \cup (1, \infty)$.
№3.15 (с. 25)
Учебник. №3.15 (с. 25)
скриншот условия

3.15. Решите неравенство:
1) $\frac{16 - 4^x}{9x^2 + 12x + 4} \geq 0;$
2) $\frac{5^x - 0,04}{5 - x} \geq 0.$
Решение. №3.15 (с. 25)

Решение 2. №3.15 (с. 25)
1) Решим неравенство $ \frac{16 - 4^x}{9x^2 + 12x + 4} \ge 0 $.
Сначала рассмотрим знаменатель дроби: $ 9x^2 + 12x + 4 $. Это выражение является полным квадратом, так как $ 9x^2 = (3x)^2 $, $ 4 = 2^2 $ и $ 12x = 2 \cdot (3x) \cdot 2 $.
Таким образом, $ 9x^2 + 12x + 4 = (3x+2)^2 $.
Неравенство можно переписать в виде:
$ \frac{16 - 4^x}{(3x+2)^2} \ge 0 $
Область допустимых значений (ОДЗ) определяется условием, что знаменатель не равен нулю:
$ (3x+2)^2 \ne 0 $
$ 3x+2 \ne 0 $
$ x \ne -\frac{2}{3} $
Поскольку выражение $ (3x+2)^2 $ является квадратом, оно всегда неотрицательно. В области допустимых значений ($ x \ne -\frac{2}{3} $) знаменатель всегда строго положителен: $ (3x+2)^2 > 0 $.
Так как знаменатель дроби всегда положителен, знак всей дроби совпадает со знаком числителя. Поэтому исходное неравенство равносильно системе:
$ \begin{cases} 16 - 4^x \ge 0 \\ x \ne -\frac{2}{3} \end{cases} $
Решим первое неравенство:
$ 16 - 4^x \ge 0 $
$ 16 \ge 4^x $
Представим 16 как степень с основанием 4:
$ 4^2 \ge 4^x $
Так как основание степени $ a=4 > 1 $, показательная функция является возрастающей. Следовательно, при переходе к неравенству для показателей знак неравенства сохраняется:
$ 2 \ge x $, или $ x \le 2 $.
Теперь объединим полученное решение с условием из ОДЗ: $ x \ne -\frac{2}{3} $.
Число $ -\frac{2}{3} $ входит в промежуток $ (-\infty, 2] $, поэтому его необходимо исключить.
В результате получаем объединение двух промежутков: $ (-\infty, -\frac{2}{3}) \cup (-\frac{2}{3}, 2] $.
Ответ: $ x \in (-\infty, -\frac{2}{3}) \cup (-\frac{2}{3}, 2] $.
2) Решим неравенство $ \frac{5^x - 0,04}{5 - x} \ge 0 $.
Для решения этого неравенства воспользуемся методом интервалов. Для этого найдем нули числителя и знаменателя.
Найдем нуль числителя:
$ 5^x - 0,04 = 0 $
$ 5^x = 0,04 $
Преобразуем десятичную дробь в обыкновенную, а затем в степень с основанием 5:
$ 0,04 = \frac{4}{100} = \frac{1}{25} = 5^{-2} $
Получаем уравнение:
$ 5^x = 5^{-2} $
$ x = -2 $
Так как неравенство нестрогое ($ \ge $), точка $ x = -2 $ будет входить в решение.
Найдем нуль знаменателя:
$ 5 - x = 0 $
$ x = 5 $
Знаменатель дроби не может быть равен нулю, поэтому точка $ x=5 $ исключается из решения.
Нанесем найденные точки на числовую ось и определим знаки выражения $ f(x) = \frac{5^x - 0,04}{5 - x} $ на каждом из полученных интервалов.
Интервалы: $ (-\infty, -2) $, $ (-2, 5) $, $ (5, \infty) $.
- При $ x > 5 $ (например, $ x=6 $): числитель $ 5^6 - 0,04 > 0 $, знаменатель $ 5 - 6 < 0 $. Знак дроби $ \frac{+}{-} = - $.
- При $ -2 < x < 5 $ (например, $ x=0 $): числитель $ 5^0 - 0,04 = 1 - 0,04 > 0 $, знаменатель $ 5 - 0 > 0 $. Знак дроби $ \frac{+}{+} = + $.
- При $ x < -2 $ (например, $ x=-3 $): числитель $ 5^{-3} - 0,04 = \frac{1}{125} - 0,04 < 0 $, знаменатель $ 5 - (-3) > 0 $. Знак дроби $ \frac{-}{+} = - $.
Нам нужны интервалы, где выражение больше или равно нулю. Это интервал $ (-2, 5) $, включая точку $ x=-2 $.
Таким образом, решение неравенства есть промежуток $ [-2, 5) $.
Ответ: $ x \in [-2, 5) $.
№3.16 (с. 25)
Учебник. №3.16 (с. 25)
скриншот условия

3.16. Решите неравенство:
1) $2^{3x+1} + 0.25^{\frac{1-3x}{2}} - 4^{\frac{3x}{2}} > 192;$
2) $2^{2x-1} + 2^{2x-3} - 2^{2x-5} > 2^{7-x} + 2^{5-x} - 2^{3-x}$.
Решение. №3.16 (с. 25)

Решение 2. №3.16 (с. 25)
1) Решим неравенство $2^{3x+1} + 0.25^{\frac{1-3x}{2}} - 4^{\frac{3x}{2}} > 192$.
Для начала приведем все степени к одному основанию, в данном случае к 2.
$0.25 = \frac{1}{4} = 4^{-1} = (2^2)^{-1} = 2^{-2}$.
$4 = 2^2$.
Преобразуем второе и третье слагаемые в левой части неравенства:
$0.25^{\frac{1-3x}{2}} = (2^{-2})^{\frac{1-3x}{2}} = 2^{-2 \cdot \frac{1-3x}{2}} = 2^{-(1-3x)} = 2^{3x-1}$.
$4^{\frac{3x}{2}} = (2^2)^{\frac{3x}{2}} = 2^{2 \cdot \frac{3x}{2}} = 2^{3x}$.
Также преобразуем первое слагаемое: $2^{3x+1} = 2^1 \cdot 2^{3x} = 2 \cdot 2^{3x}$.
Теперь подставим преобразованные выражения обратно в неравенство:
$2 \cdot 2^{3x} + 2^{3x-1} - 2^{3x} > 192$.
$2 \cdot 2^{3x} + \frac{1}{2} \cdot 2^{3x} - 2^{3x} > 192$.
Сделаем замену переменной. Пусть $y = 2^{3x}$. Так как показательная функция всегда положительна, то $y > 0$.
$2y + \frac{1}{2}y - y > 192$.
Приведем подобные слагаемые:
$(2 + \frac{1}{2} - 1)y > 192$
$\frac{3}{2}y > 192$
$y > 192 \cdot \frac{2}{3}$
$y > 64 \cdot 2$
$y > 128$.
Теперь вернемся к исходной переменной $x$:
$2^{3x} > 128$.
Представим 128 как степень двойки: $128 = 2^7$.
$2^{3x} > 2^7$.
Так как основание степени $2 > 1$, то при переходе к неравенству для показателей знак неравенства сохраняется:
$3x > 7$
$x > \frac{7}{3}$.
Ответ: $x \in (\frac{7}{3}; +\infty)$.
2) Решим неравенство $2^{2x-1} + 2^{2x-3} - 2^{2x-5} > 2^{7-x} + 2^{5-x} - 2^{3-x}$.
Вынесем в левой и правой частях за скобки степени с наименьшим показателем.
В левой части наименьший показатель — это $2x-5$. Вынесем за скобки $2^{2x-5}$:
$2^{2x-5}(2^{(2x-1)-(2x-5)} + 2^{(2x-3)-(2x-5)} - 2^{(2x-5)-(2x-5)}) > 2^{7-x} + 2^{5-x} - 2^{3-x}$
$2^{2x-5}(2^4 + 2^2 - 2^0) > 2^{7-x} + 2^{5-x} - 2^{3-x}$
$2^{2x-5}(16 + 4 - 1) > 2^{7-x} + 2^{5-x} - 2^{3-x}$
$19 \cdot 2^{2x-5} > 2^{7-x} + 2^{5-x} - 2^{3-x}$.
В правой части наименьший показатель — это $3-x$. Вынесем за скобки $2^{3-x}$:
$19 \cdot 2^{2x-5} > 2^{3-x}(2^{(7-x)-(3-x)} + 2^{(5-x)-(3-x)} - 2^{(3-x)-(3-x)})$
$19 \cdot 2^{2x-5} > 2^{3-x}(2^4 + 2^2 - 2^0)$
$19 \cdot 2^{2x-5} > 2^{3-x}(16 + 4 - 1)$
$19 \cdot 2^{2x-5} > 19 \cdot 2^{3-x}$.
Разделим обе части неравенства на 19 (поскольку 19 > 0, знак неравенства не меняется):
$2^{2x-5} > 2^{3-x}$.
Так как основание степени $2 > 1$, то при переходе к неравенству для показателей знак неравенства сохраняется:
$2x - 5 > 3 - x$.
Решим полученное линейное неравенство:
$2x + x > 3 + 5$
$3x > 8$
$x > \frac{8}{3}$.
Ответ: $x \in (\frac{8}{3}; +\infty)$.
№3.17 (с. 25)
Учебник. №3.17 (с. 25)
скриншот условия

3.17. Решите неравенство:
1) $3^{\frac{1}{x}} + 3^{\frac{1}{x} + 3} > 84;$
2) $2 \cdot 16^x - 3 \cdot 2^{4x - 1} + 7 \cdot 4^{2x - 2} \le 120.$
Решение. №3.17 (с. 25)


Решение 2. №3.17 (с. 25)
1) $3^{\frac{1}{x}} + 3^{\frac{1}{x}+3} > 84$
Область допустимых значений (ОДЗ) для данного неравенства определяется условием, что знаменатель дроби в показателе степени не должен быть равен нулю, то есть $x \neq 0$.
Используя свойство степеней $a^{m+n} = a^m \cdot a^n$, преобразуем левую часть неравенства:
$3^{\frac{1}{x}} + 3^{\frac{1}{x}} \cdot 3^3 > 84$
$3^{\frac{1}{x}} + 27 \cdot 3^{\frac{1}{x}} > 84$
Вынесем общий множитель $3^{\frac{1}{x}}$ за скобки:
$3^{\frac{1}{x}} (1 + 27) > 84$
$3^{\frac{1}{x}} \cdot 28 > 84$
Разделим обе части неравенства на 28:
$3^{\frac{1}{x}} > \frac{84}{28}$
$3^{\frac{1}{x}} > 3$
Поскольку $3 = 3^1$ и основание степени $3 > 1$, то при переходе к неравенству для показателей знак неравенства сохраняется:
$\frac{1}{x} > 1$
Перенесем 1 в левую часть и приведем к общему знаменателю:
$\frac{1}{x} - 1 > 0$
$\frac{1 - x}{x} > 0$
Решим это рациональное неравенство методом интервалов. Найдем нули числителя ($x=1$) и знаменателя ($x=0$). Эти точки разбивают числовую прямую на интервалы $(-\infty, 0)$, $(0, 1)$ и $(1, \infty)$.
Определим знаки дроби $\frac{1-x}{x}$ на каждом интервале. Неравенство $\frac{1-x}{x} > 0$ выполняется, когда числитель и знаменатель имеют одинаковые знаки. Это происходит на интервале $(0, 1)$.
Полученное решение $x \in (0, 1)$ удовлетворяет ОДЗ ($x \neq 0$).
Ответ: $x \in (0, 1)$.
2) $2 \cdot 16^x - 3 \cdot 2^{4x-1} + 7 \cdot 4^{2x-2} \le 120$
Область допустимых значений (ОДЗ): $x$ — любое действительное число, так как показательная функция определена для любого действительного показателя.
Приведем все степени к одному основанию. Заметим, что $16=2^4$ и $4=2^2$. Удобно привести все к степени с основанием $16^x = (2^4)^x = 2^{4x}$.
$16^x = 2^{4x}$
$2^{4x-1} = 2^{4x} \cdot 2^{-1} = \frac{1}{2} \cdot 2^{4x}$
$4^{2x-2} = (2^2)^{2x-2} = 2^{2(2x-2)} = 2^{4x-4} = 2^{4x} \cdot 2^{-4} = \frac{1}{16} \cdot 2^{4x}$
Подставим эти выражения в исходное неравенство:
$2 \cdot 2^{4x} - 3 \cdot (\frac{1}{2} \cdot 2^{4x}) + 7 \cdot (\frac{1}{16} \cdot 2^{4x}) \le 120$
Вынесем общий множитель $2^{4x}$ за скобки:
$2^{4x} \left(2 - \frac{3}{2} + \frac{7}{16}\right) \le 120$
Вычислим выражение в скобках, приведя дроби к общему знаменателю 16:
$2 - \frac{3}{2} + \frac{7}{16} = \frac{2 \cdot 16}{16} - \frac{3 \cdot 8}{16} + \frac{7}{16} = \frac{32 - 24 + 7}{16} = \frac{15}{16}$
Неравенство принимает вид:
$2^{4x} \cdot \frac{15}{16} \le 120$
Умножим обе части на $\frac{16}{15}$, чтобы выделить показательную функцию:
$2^{4x} \le 120 \cdot \frac{16}{15}$
$2^{4x} \le 8 \cdot 16$
$2^{4x} \le 128$
Представим правую часть в виде степени с основанием 2: $128 = 2^7$.
$2^{4x} \le 2^7$
Так как основание степени $2 > 1$, переходим к неравенству для показателей, сохраняя знак неравенства:
$4x \le 7$
$x \le \frac{7}{4}$
Ответ: $x \in (-\infty, \frac{7}{4}]$.
№3.18 (с. 25)
Учебник. №3.18 (с. 25)
скриншот условия

3.18. Найдите множество решений неравенства:
1) $3^x - 9 \cdot 3^{-x} - 8 > 0;$
2) $2^{x+3} + 2^{1-x} < 17;$
3) $6^{x+2} + 6^{-x} - 37 \ge 0;$
4) $(\frac{3}{5})^{x+1} + (\frac{3}{5})^{1-x} \le \frac{6}{5}.$
Решение. №3.18 (с. 25)

Решение 2. №3.18 (с. 25)
1) Исходное неравенство: $3^x - 9 \cdot 3^{-x} - 8 > 0$.
Преобразуем его, используя свойство степеней $a^{-n} = 1/a^n$: $3^x - 9 \cdot \frac{1}{3^x} - 8 > 0$.
Введем замену переменной. Пусть $t = 3^x$. Так как показательная функция всегда положительна, $t > 0$.
Неравенство принимает вид: $t - \frac{9}{t} - 8 > 0$.
Умножим обе части на $t$. Так как $t > 0$, знак неравенства не меняется: $t^2 - 9 - 8t > 0$.
Перепишем в стандартном виде: $t^2 - 8t - 9 > 0$.
Найдем корни квадратного уравнения $t^2 - 8t - 9 = 0$. По теореме Виета или через дискриминант находим корни $t_1 = -1$ и $t_2 = 9$.
Разложим квадратный трехчлен на множители: $(t+1)(t-9) > 0$.
Решением этого неравенства являются интервалы $t < -1$ и $t > 9$.
Учитывая условие $t > 0$, получаем, что $t > 9$.
Вернемся к исходной переменной: $3^x > 9$.
Так как $9 = 3^2$, имеем $3^x > 3^2$.
Поскольку основание степени $3 > 1$, функция $y=3^x$ возрастающая, следовательно $x > 2$.
Ответ: $x \in (2, +\infty)$.
2) Исходное неравенство: $2^{x+3} + 2^{1-x} < 17$.
Преобразуем его, используя свойства степеней $a^{m+n} = a^m \cdot a^n$ и $a^{m-n} = a^m / a^n$: $2^x \cdot 2^3 + 2^1 \cdot 2^{-x} < 17$.
$8 \cdot 2^x + \frac{2}{2^x} < 17$.
Введем замену переменной. Пусть $t = 2^x$. Так как $t = 2^x > 0$, получаем $t>0$.
Неравенство принимает вид: $8t + \frac{2}{t} < 17$.
Умножим обе части на $t > 0$: $8t^2 + 2 < 17t$.
Перенесем все члены в левую часть: $8t^2 - 17t + 2 < 0$.
Найдем корни квадратного уравнения $8t^2 - 17t + 2 = 0$. Дискриминант $D = (-17)^2 - 4 \cdot 8 \cdot 2 = 289 - 64 = 225 = 15^2$.
Корни: $t_1 = \frac{17 - 15}{16} = \frac{2}{16} = \frac{1}{8}$ и $t_2 = \frac{17 + 15}{16} = \frac{32}{16} = 2$.
Так как ветви параболы $y = 8t^2 - 17t + 2$ направлены вверх, неравенство $8t^2 - 17t + 2 < 0$ выполняется между корнями: $\frac{1}{8} < t < 2$.
Это решение удовлетворяет условию $t > 0$.
Вернемся к исходной переменной: $\frac{1}{8} < 2^x < 2$.
Представим границы в виде степеней двойки: $2^{-3} < 2^x < 2^1$.
Так как основание $2 > 1$, функция $y=2^x$ возрастающая, поэтому $-3 < x < 1$.
Ответ: $x \in (-3, 1)$.
3) Исходное неравенство: $6^{x+2} + 6^{-x} - 37 \geq 0$.
Преобразуем его: $6^x \cdot 6^2 + \frac{1}{6^x} - 37 \geq 0$.
$36 \cdot 6^x + \frac{1}{6^x} - 37 \geq 0$.
Введем замену переменной. Пусть $t = 6^x$, где $t > 0$.
Неравенство принимает вид: $36t + \frac{1}{t} - 37 \geq 0$.
Умножим на $t > 0$: $36t^2 + 1 - 37t \geq 0$.
Перепишем в стандартном виде: $36t^2 - 37t + 1 \geq 0$.
Найдем корни уравнения $36t^2 - 37t + 1 = 0$. Дискриминант $D = (-37)^2 - 4 \cdot 36 \cdot 1 = 1369 - 144 = 1225 = 35^2$.
Корни: $t_1 = \frac{37 - 35}{72} = \frac{2}{72} = \frac{1}{36}$ и $t_2 = \frac{37 + 35}{72} = \frac{72}{72} = 1$.
Так как ветви параболы направлены вверх, неравенство $36t^2 - 37t + 1 \geq 0$ выполняется при $t \leq \frac{1}{36}$ или $t \geq 1$.
Учитывая $t > 0$, получаем $0 < t \leq \frac{1}{36}$ или $t \geq 1$.
Вернемся к переменной $x$:
1) $6^x \leq \frac{1}{36} \implies 6^x \leq 6^{-2}$. Так как основание $6 > 1$, то $x \leq -2$.
2) $6^x \geq 1 \implies 6^x \geq 6^0$. Так как основание $6 > 1$, то $x \geq 0$.
Объединяя решения, получаем: $x \in (-\infty, -2] \cup [0, +\infty)$.
Ответ: $x \in (-\infty, -2] \cup [0, +\infty)$.
4) Исходное неравенство: $(\frac{3}{5})^{x+1} + (\frac{3}{5})^{1-x} \leq \frac{6}{5}$.
Преобразуем его, используя свойства степеней: $\frac{3}{5} \cdot (\frac{3}{5})^x + \frac{3}{5} \cdot (\frac{3}{5})^{-x} \leq \frac{6}{5}$.
$\frac{3}{5} \cdot (\frac{3}{5})^x + \frac{3}{5} \cdot \frac{1}{(\frac{3}{5})^x} \leq \frac{6}{5}$.
Введем замену переменной. Пусть $t = (\frac{3}{5})^x$. Так как $t = (\frac{3}{5})^x > 0$, то $t>0$.
Неравенство принимает вид: $\frac{3}{5}t + \frac{3}{5t} \leq \frac{6}{5}$.
Умножим обе части на $\frac{5}{3}$: $t + \frac{1}{t} \leq 2$.
Умножим на $t > 0$: $t^2 + 1 \leq 2t$.
Перенесем все в левую часть: $t^2 - 2t + 1 \leq 0$.
Свернем по формуле квадрата разности: $(t-1)^2 \leq 0$.
Квадрат любого действительного числа не может быть отрицательным, то есть $(t-1)^2 \geq 0$.
Следовательно, неравенство $(t-1)^2 \leq 0$ выполняется только в одном случае, когда $(t-1)^2 = 0$.
Отсюда $t - 1 = 0$, то есть $t=1$.
Вернемся к исходной переменной: $(\frac{3}{5})^x = 1$.
Так как $1 = (\frac{3}{5})^0$, имеем $(\frac{3}{5})^x = (\frac{3}{5})^0$.
Отсюда $x=0$.
Ответ: $x=0$.
№3.19 (с. 25)
Учебник. №3.19 (с. 25)
скриншот условия

3.19. Найдите множество решений неравенства:
1) $3^{x+1} - 2 \cdot 3^{1-x} > 7$;
2) $4^{1-x} - 0,5^{1-2x} \ge 1$.
Решение. №3.19 (с. 25)


Решение 2. №3.19 (с. 25)
1) $3^{x+1} - 2 \cdot 3^{1-x} > 7$
Преобразуем неравенство, используя свойства степеней: $a^{m+n} = a^m \cdot a^n$ и $a^{m-n} = \frac{a^m}{a^n}$.
$3^x \cdot 3^1 - 2 \cdot \frac{3^1}{3^x} > 7$
$3 \cdot 3^x - \frac{6}{3^x} > 7$
Сделаем замену переменной. Пусть $t = 3^x$. Так как показательная функция всегда положительна, то $t > 0$.
Получаем неравенство относительно $t$:
$3t - \frac{6}{t} > 7$
Так как $t > 0$, умножим обе части неравенства на $t$, знак неравенства не изменится:
$3t^2 - 6 > 7t$
$3t^2 - 7t - 6 > 0$
Найдем корни соответствующего квадратного уравнения $3t^2 - 7t - 6 = 0$.
Дискриминант $D = b^2 - 4ac = (-7)^2 - 4 \cdot 3 \cdot (-6) = 49 + 72 = 121 = 11^2$.
Корни уравнения:
$t_1 = \frac{7 - 11}{2 \cdot 3} = \frac{-4}{6} = -\frac{2}{3}$
$t_2 = \frac{7 + 11}{2 \cdot 3} = \frac{18}{6} = 3$
Неравенство $3t^2 - 7t - 6 > 0$ выполняется, когда $t$ находится вне интервала между корнями, то есть при $t < -\frac{2}{3}$ или $t > 3$.
Учитывая условие $t > 0$, получаем $t > 3$.
Вернемся к исходной переменной $x$:
$3^x > 3$
$3^x > 3^1$
Так как основание степени $3 > 1$, то при переходе к неравенству для показателей знак неравенства сохраняется:
$x > 1$
Таким образом, множество решений неравенства - это интервал $(1, +\infty)$.
Ответ: $(1, +\infty)$.
2) $4^{1-x} - 0.5^{1-2x} \ge 1$
Приведем все степени к одному основанию. Заметим, что $4 = 2^2$ и $0.5 = \frac{1}{2} = 2^{-1}$.
$(2^2)^{1-x} - (2^{-1})^{1-2x} \ge 1$
Используя свойство степени $(a^m)^n = a^{mn}$, получаем:
$2^{2(1-x)} - 2^{-1(1-2x)} \ge 1$
$2^{2-2x} - 2^{-1+2x} \ge 1$
$2^{2-2x} - 2^{2x-1} \ge 1$
Преобразуем слагаемые: $\frac{2^2}{2^{2x}} - \frac{2^{2x}}{2^1} \ge 1$
$\frac{4}{2^{2x}} - \frac{2^{2x}}{2} \ge 1$
Сделаем замену переменной. Пусть $t = 2^{2x}$. Так как $2^{2x} > 0$, то $t > 0$.
Получаем неравенство относительно $t$:
$\frac{4}{t} - \frac{t}{2} \ge 1$
Умножим обе части неравенства на $2t$. Так как $t > 0$, то $2t > 0$, и знак неравенства не изменится:
$8 - t^2 \ge 2t$
$0 \ge t^2 + 2t - 8$
$t^2 + 2t - 8 \le 0$
Найдем корни соответствующего квадратного уравнения $t^2 + 2t - 8 = 0$.
По теореме Виета или через дискриминант находим корни: $t_1 = -4$ и $t_2 = 2$.
Решением неравенства $t^2 + 2t - 8 \le 0$ является отрезок $[-4, 2]$.
Учитывая условие $t > 0$, получаем $0 < t \le 2$.
Вернемся к исходной переменной $x$:
$0 < 2^{2x} \le 2$
Неравенство $2^{2x} > 0$ выполняется для любого $x$. Решим неравенство $2^{2x} \le 2$.
$2^{2x} \le 2^1$
Так как основание степени $2 > 1$, то при переходе к неравенству для показателей знак неравенства сохраняется:
$2x \le 1$
$x \le \frac{1}{2}$
Таким образом, множество решений неравенства - это луч $(-\infty, \frac{1}{2}]$.
Ответ: $(-\infty, \frac{1}{2}]$.
№3.20 (с. 25)
Учебник. №3.20 (с. 25)
скриншот условия

3.20. Решите неравенство $2^{\sqrt{x}} - 2^{1-\sqrt{x}} \le 1$.
Решение. №3.20 (с. 25)

Решение 2. №3.20 (с. 25)
Решим неравенство $2^{\sqrt{x}} - 2^{1-\sqrt{x}} \le 1$.
1. Найдем область допустимых значений (ОДЗ)
Выражение под знаком квадратного корня должно быть неотрицательным, следовательно:
$x \ge 0$
2. Преобразуем неравенство и введем замену
Используя свойство степеней $a^{m-n} = \frac{a^m}{a^n}$, перепишем левую часть неравенства:
$2^{\sqrt{x}} - \frac{2^1}{2^{\sqrt{x}}} \le 1$
Сделаем замену переменной. Пусть $t = 2^{\sqrt{x}}$. Так как из ОДЗ мы знаем, что $x \ge 0$, то $\sqrt{x} \ge 0$. Следовательно, $t = 2^{\sqrt{x}} \ge 2^0 = 1$. Таким образом, для новой переменной $t$ получаем ограничение $t \ge 1$.
После замены исходное неравенство принимает вид:
$t - \frac{2}{t} \le 1$
3. Решим полученное рациональное неравенство
Перенесем все члены в левую часть и приведем к общему знаменателю:
$t - \frac{2}{t} - 1 \le 0$
$\frac{t^2 - 2 - t}{t} \le 0$
$\frac{t^2 - t - 2}{t} \le 0$
Найдем корни числителя, решив квадратное уравнение $t^2 - t - 2 = 0$. По теореме Виета или через дискриминант находим корни $t_1 = 2$ и $t_2 = -1$.
Теперь неравенство можно записать как:
$\frac{(t-2)(t+1)}{t} \le 0$
Решим это неравенство методом интервалов. Нули числителя: $t=2$, $t=-1$. Нуль знаменателя: $t=0$.
Отмечаем эти точки на числовой оси и определяем знаки выражения на получившихся интервалах. Решением неравенства будет объединение промежутков $t \in (-\infty, -1] \cup (0, 2]$.
4. Выполним обратную замену и найдем решение для $x$
Теперь учтем ограничение $t \ge 1$. Найдем пересечение решения $t \in (-\infty, -1] \cup (0, 2]$ и условия $t \ge 1$. Получаем:
$1 \le t \le 2$
Теперь вернемся к исходной переменной $x$, подставив $2^{\sqrt{x}}$ вместо $t$:
$1 \le 2^{\sqrt{x}} \le 2$
Представим 1 и 2 в виде степеней с основанием 2:
$2^0 \le 2^{\sqrt{x}} \le 2^1$
Так как основание степени $2 > 1$, показательная функция является возрастающей. Поэтому можно перейти к неравенству для показателей, сохранив знаки неравенства:
$0 \le \sqrt{x} \le 1$
Поскольку все части этого двойного неравенства неотрицательны, мы можем возвести их в квадрат:
$0^2 \le (\sqrt{x})^2 \le 1^2$
$0 \le x \le 1$
Полученное решение $x \in [0, 1]$ полностью удовлетворяет ОДЗ ($x \ge 0$).
Ответ: $x \in [0, 1]$.
№3.21 (с. 25)
Учебник. №3.21 (с. 25)
скриншот условия

3.21. Решите неравенство $3^{\sqrt{x}} - 3^{2-\sqrt{x}} \le 8$.
Решение. №3.21 (с. 25)

Решение 2. №3.21 (с. 25)
Исходное неравенство: $3^{\sqrt{x}} - 3^{2-\sqrt{x}} \le 8$.
Прежде всего, определим область допустимых значений (ОДЗ). Выражение под знаком квадратного корня должно быть неотрицательным, следовательно:
$x \ge 0$.
Преобразуем левую часть неравенства, используя свойство степеней $a^{m-n} = \frac{a^m}{a^n}$:
$3^{\sqrt{x}} - \frac{3^2}{3^{\sqrt{x}}} \le 8$
$3^{\sqrt{x}} - \frac{9}{3^{\sqrt{x}}} \le 8$
Для упрощения неравенства введем замену. Пусть $t = 3^{\sqrt{x}}$.
Поскольку $\sqrt{x} \ge 0$ для всех $x$ из ОДЗ, то показательная функция $3^{\sqrt{x}}$ принимает значения не меньше $3^0$.
Таким образом, $t = 3^{\sqrt{x}} \ge 3^0 = 1$. Итак, у нас есть ограничение $t \ge 1$.
Подставим новую переменную $t$ в неравенство:
$t - \frac{9}{t} \le 8$
Решим полученное рациональное неравенство. Перенесем все слагаемые в левую часть и приведем к общему знаменателю:
$t - 8 - \frac{9}{t} \le 0$
$\frac{t^2 - 8t - 9}{t} \le 0$
Найдем корни числителя, решив квадратное уравнение $t^2 - 8t - 9 = 0$.
По теореме Виета или через дискриминант находим корни:
$D = (-8)^2 - 4 \cdot 1 \cdot (-9) = 64 + 36 = 100 = 10^2$
$t_1 = \frac{8 - 10}{2} = -1$
$t_2 = \frac{8 + 10}{2} = 9$
Теперь неравенство можно записать в виде:
$\frac{(t+1)(t-9)}{t} \le 0$
Решим это неравенство методом интервалов. На числовой оси отметим нули числителя ($t=-1$, $t=9$) и нуль знаменателя ($t=0$).
Определив знаки выражения $\frac{(t+1)(t-9)}{t}$ на каждом интервале, получим решение:
$t \in (-\infty, -1] \cup (0, 9]$.
Теперь учтем ограничение $t \ge 1$, полученное ранее из замены.
Найдем пересечение множества решений $t \in (-\infty, -1] \cup (0, 9]$ с условием $t \ge 1$.
Пересечением является отрезок $[1, 9]$.
Таким образом, $1 \le t \le 9$.
Выполним обратную замену $t = 3^{\sqrt{x}}$:
$1 \le 3^{\sqrt{x}} \le 9$
Представим числа 1 и 9 в виде степеней с основанием 3:
$3^0 \le 3^{\sqrt{x}} \le 3^2$
Так как основание степени $3 > 1$, показательная функция $y=3^k$ является возрастающей. Это значит, что большему значению функции соответствует больший показатель, и мы можем перейти к неравенству для показателей, сохранив знаки:
$0 \le \sqrt{x} \le 2$
Поскольку все части этого двойного неравенства неотрицательны, мы можем возвести их в квадрат:
$0^2 \le (\sqrt{x})^2 \le 2^2$
$0 \le x \le 4$
Полученное решение $x \in [0, 4]$ полностью удовлетворяет первоначальному ОДЗ ($x \ge 0$).
Ответ: $x \in [0; 4]$.
№3.22 (с. 25)
Учебник. №3.22 (с. 25)
скриншот условия

3.22. Решите неравенство:
1) $3 \cdot 4^x + 2 \cdot 9^x - 5 \cdot 6^x < 0;$
2) $5 \cdot 25^{\frac{1}{x}} + 3 \cdot 10^{\frac{1}{x}} \ge 2 \cdot 4^{\frac{1}{x}}.$
Решение. №3.22 (с. 25)


Решение 2. №3.22 (с. 25)
1) Решим неравенство $3 \cdot 4^x + 2 \cdot 9^x - 5 \cdot 6^x < 0$.
Представим основания степеней через простые множители 2 и 3:
$4^x = (2^2)^x = (2^x)^2$
$9^x = (3^2)^x = (3^x)^2$
$6^x = (2 \cdot 3)^x = 2^x \cdot 3^x$
Подставим эти выражения в исходное неравенство:
$3 \cdot (2^x)^2 + 2 \cdot (3^x)^2 - 5 \cdot 2^x \cdot 3^x < 0$
Это однородное показательное неравенство. Разделим обе части неравенства на $9^x = (3^x)^2$. Так как $9^x > 0$ для любого $x$, знак неравенства не изменится.
$3 \cdot \frac{(2^x)^2}{(3^x)^2} + 2 \cdot \frac{(3^x)^2}{(3^x)^2} - 5 \cdot \frac{2^x \cdot 3^x}{(3^x)^2} < 0$
$3 \cdot \left(\frac{2}{3}\right)^{2x} - 5 \cdot \left(\frac{2}{3}\right)^x + 2 < 0$
Сделаем замену переменной. Пусть $t = \left(\frac{2}{3}\right)^x$. Так как показательная функция всегда положительна, то $t > 0$.
Получим квадратное неравенство относительно $t$:
$3t^2 - 5t + 2 < 0$
Найдем корни соответствующего квадратного уравнения $3t^2 - 5t + 2 = 0$.
Дискриминант $D = (-5)^2 - 4 \cdot 3 \cdot 2 = 25 - 24 = 1$.
Корни уравнения: $t_1 = \frac{5 - \sqrt{1}}{2 \cdot 3} = \frac{4}{6} = \frac{2}{3}$, $t_2 = \frac{5 + \sqrt{1}}{2 \cdot 3} = \frac{6}{6} = 1$.
Так как коэффициент при $t^2$ положительный ($3 > 0$), ветви параболы $y = 3t^2 - 5t + 2$ направлены вверх. Следовательно, неравенство $3t^2 - 5t + 2 < 0$ выполняется между корнями.
$\frac{2}{3} < t < 1$
Это решение удовлетворяет условию $t > 0$.
Вернемся к исходной переменной $x$:
$\frac{2}{3} < \left(\frac{2}{3}\right)^x < 1$
Представим 1 как степень с основанием $\frac{2}{3}$: $1 = \left(\frac{2}{3}\right)^0$.
$\left(\frac{2}{3}\right)^1 < \left(\frac{2}{3}\right)^x < \left(\frac{2}{3}\right)^0$
Так как основание степени $\frac{2}{3}$ меньше 1 ($0 < \frac{2}{3} < 1$), показательная функция $y = \left(\frac{2}{3}\right)^x$ является убывающей. При переходе к неравенству для показателей знаки неравенства меняются на противоположные.
$1 > x > 0$
Таким образом, решение неравенства есть интервал $(0, 1)$.
Ответ: $x \in (0; 1)$.
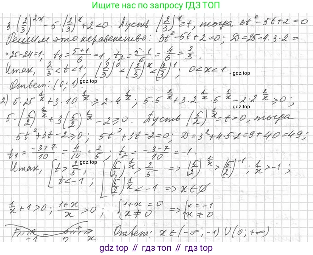
2) Решим неравенство $5 \cdot 25^{\frac{1}{x}} + 3 \cdot 10^{\frac{1}{x}} \ge 2 \cdot 4^{\frac{1}{x}}$.
Область допустимых значений (ОДЗ) для $x$: $x \ne 0$, так как в показателе степени есть деление на $x$.
Перенесем все члены в левую часть:
$5 \cdot 25^{\frac{1}{x}} + 3 \cdot 10^{\frac{1}{x}} - 2 \cdot 4^{\frac{1}{x}} \ge 0$
Представим основания степеней 25, 10 и 4 через множители 5 и 2:
$5 \cdot (5^2)^{\frac{1}{x}} + 3 \cdot (5 \cdot 2)^{\frac{1}{x}} - 2 \cdot (2^2)^{\frac{1}{x}} \ge 0$
$5 \cdot \left(5^{\frac{1}{x}}\right)^2 + 3 \cdot 5^{\frac{1}{x}} \cdot 2^{\frac{1}{x}} - 2 \cdot \left(2^{\frac{1}{x}}\right)^2 \ge 0$
Это однородное показательное неравенство. Разделим обе части на $\left(2^{\frac{1}{x}}\right)^2 = 4^{\frac{1}{x}}$. Так как $4^{\frac{1}{x}} > 0$ при всех допустимых $x$, знак неравенства не изменится.
$5 \cdot \frac{\left(5^{\frac{1}{x}}\right)^2}{\left(2^{\frac{1}{x}}\right)^2} + 3 \cdot \frac{5^{\frac{1}{x}} \cdot 2^{\frac{1}{x}}}{\left(2^{\frac{1}{x}}\right)^2} - 2 \cdot \frac{\left(2^{\frac{1}{x}}\right)^2}{\left(2^{\frac{1}{x}}\right)^2} \ge 0$
$5 \cdot \left(\frac{5}{2}\right)^{\frac{2}{x}} + 3 \cdot \left(\frac{5}{2}\right)^{\frac{1}{x}} - 2 \ge 0$
Сделаем замену переменной. Пусть $t = \left(\frac{5}{2}\right)^{\frac{1}{x}}$. Так как $t$ — значение показательной функции, $t > 0$.
Получим квадратное неравенство:
$5t^2 + 3t - 2 \ge 0$
Найдем корни уравнения $5t^2 + 3t - 2 = 0$.
Дискриминант $D = 3^2 - 4 \cdot 5 \cdot (-2) = 9 + 40 = 49$.
Корни: $t_1 = \frac{-3 - \sqrt{49}}{2 \cdot 5} = \frac{-10}{10} = -1$, $t_2 = \frac{-3 + \sqrt{49}}{2 \cdot 5} = \frac{4}{10} = \frac{2}{5}$.
Ветви параболы $y = 5t^2 + 3t - 2$ направлены вверх, поэтому неравенство $5t^2 + 3t - 2 \ge 0$ выполняется при $t \le -1$ или $t \ge \frac{2}{5}$.
Учитывая условие $t > 0$, получаем $t \ge \frac{2}{5}$.
Вернемся к переменной $x$:
$\left(\frac{5}{2}\right)^{\frac{1}{x}} \ge \frac{2}{5}$
Представим правую часть с тем же основанием: $\frac{2}{5} = \left(\frac{5}{2}\right)^{-1}$.
$\left(\frac{5}{2}\right)^{\frac{1}{x}} \ge \left(\frac{5}{2}\right)^{-1}$
Так как основание степени $\frac{5}{2}$ больше 1, показательная функция является возрастающей. При переходе к неравенству для показателей знак неравенства сохраняется.
$\frac{1}{x} \ge -1$
Решим это рациональное неравенство:
$\frac{1}{x} + 1 \ge 0$
$\frac{1 + x}{x} \ge 0$
Решим методом интервалов. Нули числителя: $x = -1$. Нуль знаменателя: $x = 0$.
На числовой прямой отмечаем точки -1 (включительно, так как неравенство нестрогое) и 0 (исключаем, так как это нуль знаменателя). Эти точки разбивают прямую на три интервала: $(-\infty, -1]$, $(-1, 0)$ и $(0, +\infty)$.
- При $x > 0$ (например, $x=1$): $\frac{1+1}{1} = 2 > 0$. Интервал $(0, +\infty)$ является решением.
- При $-1 < x < 0$ (например, $x=-0.5$): $\frac{1-0.5}{-0.5} = -1 < 0$. Интервал $(-1, 0)$ не является решением.
- При $x \le -1$ (например, $x=-2$): $\frac{1-2}{-2} = 0.5 > 0$. Интервал $(-\infty, -1]$ является решением.
Объединяя полученные интервалы, получаем решение $x \in (-\infty, -1] \cup (0, +\infty)$. Это решение соответствует ОДЗ ($x \ne 0$).
Ответ: $x \in (-\infty; -1] \cup (0; +\infty)$.
№3.23 (с. 25)
Учебник. №3.23 (с. 25)
скриншот условия

3.23. Решите неравенство:
1) $3 \cdot 16^x + 2 \cdot 81^x - 5 \cdot 36^x < 0$
2) $2 \cdot 49^{\frac{1}{x}} - 9 \cdot 14^{\frac{1}{x}} + 7 \cdot 4^{\frac{1}{x}} \ge 0$
Решение. №3.23 (с. 25)


Решение 2. №3.23 (с. 25)
1) $3 \cdot 16^x + 2 \cdot 81^x - 5 \cdot 36^x < 0$
Заметим, что основания степеней являются степенями чисел 4 и 9: $16 = 4^2$, $81 = 9^2$, а $36 = 4 \cdot 9$. Перепишем неравенство в виде:
$3 \cdot (4^2)^x + 2 \cdot (9^2)^x - 5 \cdot (4 \cdot 9)^x < 0$
$3 \cdot (4^x)^2 - 5 \cdot 4^x \cdot 9^x + 2 \cdot (9^x)^2 < 0$
Это однородное показательное неравенство. Поскольку $9^x > 0$ для любого действительного $x$, мы можем разделить обе части неравенства на $(9^x)^2 = 81^x$, не меняя знака неравенства:
$3 \cdot \frac{(4^x)^2}{(9^x)^2} - 5 \cdot \frac{4^x \cdot 9^x}{(9^x)^2} + 2 \cdot \frac{(9^x)^2}{(9^x)^2} < 0$
$3 \cdot \left(\left(\frac{4}{9}\right)^x\right)^2 - 5 \cdot \left(\frac{4}{9}\right)^x + 2 < 0$
Сделаем замену переменной. Пусть $t = \left(\frac{4}{9}\right)^x$. Так как показательная функция всегда положительна, то $t > 0$. Неравенство принимает вид квадратного неравенства относительно $t$:
$3t^2 - 5t + 2 < 0$
Найдем корни соответствующего квадратного уравнения $3t^2 - 5t + 2 = 0$.
Дискриминант $D = (-5)^2 - 4 \cdot 3 \cdot 2 = 25 - 24 = 1$.
Корни: $t_1 = \frac{5 - \sqrt{1}}{2 \cdot 3} = \frac{4}{6} = \frac{2}{3}$ и $t_2 = \frac{5 + \sqrt{1}}{2 \cdot 3} = \frac{6}{6} = 1$.
Так как ветви параболы $y = 3t^2 - 5t + 2$ направлены вверх ($a=3>0$), неравенство $3t^2 - 5t + 2 < 0$ выполняется между корнями:
$\frac{2}{3} < t < 1$.
Вернемся к исходной переменной $x$:
$\frac{2}{3} < \left(\frac{4}{9}\right)^x < 1$
Представим границы интервала в виде степеней с основанием $\frac{4}{9}$:
$1 = \left(\frac{4}{9}\right)^0$ и $\frac{2}{3} = \sqrt{\frac{4}{9}} = \left(\frac{4}{9}\right)^{\frac{1}{2}}$.
Неравенство принимает вид:
$\left(\frac{4}{9}\right)^{\frac{1}{2}} < \left(\frac{4}{9}\right)^x < \left(\frac{4}{9}\right)^0$
Так как основание степени $\frac{4}{9}$ меньше 1 ($0 < \frac{4}{9} < 1$), показательная функция $y = \left(\frac{4}{9}\right)^x$ является убывающей. Поэтому при переходе к неравенству для показателей степени знаки неравенства меняются на противоположные:
$\frac{1}{2} > x > 0$, что эквивалентно $0 < x < \frac{1}{2}$.
Ответ: $x \in (0; \frac{1}{2})$.
2) $2 \cdot 49^{\frac{1}{x}} - 9 \cdot 14^{\frac{1}{x}} + 7 \cdot 4^{\frac{1}{x}} \ge 0$
Область допустимых значений (ОДЗ) для этого неравенства определяется условием $x \neq 0$, так как $x$ находится в знаменателе показателя степени.
Заметим, что основания степеней $49$, $14$ и $4$ можно выразить через 7 и 2: $49 = 7^2$, $4 = 2^2$, $14 = 7 \cdot 2$. Перепишем неравенство:
$2 \cdot (7^2)^{\frac{1}{x}} - 9 \cdot (7 \cdot 2)^{\frac{1}{x}} + 7 \cdot (2^2)^{\frac{1}{x}} \ge 0$
$2 \cdot (7^{\frac{1}{x}})^2 - 9 \cdot 7^{\frac{1}{x}} \cdot 2^{\frac{1}{x}} + 7 \cdot (2^{\frac{1}{x}})^2 \ge 0$
Это однородное показательное неравенство. Поскольку $4^{\frac{1}{x}} = (2^{\frac{1}{x}})^2 > 0$ при $x \neq 0$, разделим обе части неравенства на $4^{\frac{1}{x}}$:
$2 \cdot \frac{(7^{\frac{1}{x}})^2}{(2^{\frac{1}{x}})^2} - 9 \cdot \frac{7^{\frac{1}{x}} \cdot 2^{\frac{1}{x}}}{(2^{\frac{1}{x}})^2} + 7 \cdot \frac{(2^{\frac{1}{x}})^2}{(2^{\frac{1}{x}})^2} \ge 0$
$2 \cdot \left(\left(\frac{7}{2}\right)^{\frac{1}{x}}\right)^2 - 9 \cdot \left(\frac{7}{2}\right)^{\frac{1}{x}} + 7 \ge 0$
Сделаем замену переменной. Пусть $t = \left(\frac{7}{2}\right)^{\frac{1}{x}}$. Так как основание степени положительно, $t > 0$. Получаем квадратное неравенство:
$2t^2 - 9t + 7 \ge 0$
Найдем корни уравнения $2t^2 - 9t + 7 = 0$.
Дискриминант $D = (-9)^2 - 4 \cdot 2 \cdot 7 = 81 - 56 = 25$.
Корни: $t_1 = \frac{9 - \sqrt{25}}{2 \cdot 2} = \frac{4}{4} = 1$ и $t_2 = \frac{9 + \sqrt{25}}{2 \cdot 2} = \frac{14}{4} = \frac{7}{2}$.
Ветви параболы $y = 2t^2 - 9t + 7$ направлены вверх ($a=2>0$), поэтому неравенство $2t^2 - 9t + 7 \ge 0$ выполняется при значениях $t$ не между корнями, то есть:
$t \le 1$ или $t \ge \frac{7}{2}$.
Возвращаемся к переменной $x$. Получаем совокупность двух неравенств:
1. $\left(\frac{7}{2}\right)^{\frac{1}{x}} \le 1$
2. $\left(\frac{7}{2}\right)^{\frac{1}{x}} \ge \frac{7}{2}$
Решим каждое неравенство.
1. $\left(\frac{7}{2}\right)^{\frac{1}{x}} \le 1 \implies \left(\frac{7}{2}\right)^{\frac{1}{x}} \le \left(\frac{7}{2}\right)^0$.
Так как основание $\frac{7}{2} > 1$, показательная функция возрастающая, поэтому знак неравенства для показателей сохраняется:
$\frac{1}{x} \le 0$.
Это неравенство выполняется, когда знаменатель отрицателен (так как числитель 1 > 0), то есть $x < 0$.
2. $\left(\frac{7}{2}\right)^{\frac{1}{x}} \ge \frac{7}{2} \implies \left(\frac{7}{2}\right)^{\frac{1}{x}} \ge \left(\frac{7}{2}\right)^1$.
Основание $\frac{7}{2} > 1$, поэтому:
$\frac{1}{x} \ge 1 \implies \frac{1}{x} - 1 \ge 0 \implies \frac{1-x}{x} \ge 0$.
Решим это неравенство методом интервалов. Нули числителя: $x=1$. Нуль знаменателя: $x=0$.
Решение этого неравенства: $x \in (0, 1]$.
Объединяя решения обоих случаев ($x < 0$ и $0 < x \le 1$), получаем итоговое решение, которое также удовлетворяет ОДЗ ($x \neq 0$).
Ответ: $x \in (-\infty; 0) \cup (0; 1]$.
№3.24 (с. 25)
Учебник. №3.24 (с. 25)
скриншот условия

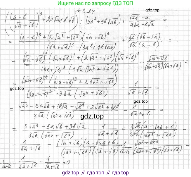
3.24. Упростите выражение
$\left(\left(\frac{a-b}{\sqrt{a}+\sqrt{b}}\right)^3 + 2a\sqrt{a} + b\sqrt{b}\right) : (3a^2 + 3b\sqrt{ab}) + \frac{\sqrt{ab}-a}{a\sqrt{a}-b\sqrt{a}}$
Решение. №3.24 (с. 25)

Решение 2. №3.24 (с. 25)
Для упрощения данного выражения выполним преобразования по действиям.
1. Упростим выражение в первых больших скобках.
Сначала преобразуем дробь $\frac{a-b}{\sqrt{a}+\sqrt{b}}$, используя формулу разности квадратов $a-b = (\sqrt{a}-\sqrt{b})(\sqrt{a}+\sqrt{b})$:
$\frac{a-b}{\sqrt{a}+\sqrt{b}} = \frac{(\sqrt{a}-\sqrt{b})(\sqrt{a}+\sqrt{b})}{\sqrt{a}+\sqrt{b}} = \sqrt{a}-\sqrt{b}$
Теперь подставим полученный результат в выражение в больших скобках:
$\left( (\sqrt{a}-\sqrt{b})^3 + 2a\sqrt{a} + b\sqrt{b} \right)$
Раскроем куб разности по формуле $(x-y)^3 = x^3 - 3x^2y + 3xy^2 - y^3$:
$(\sqrt{a}-\sqrt{b})^3 = (\sqrt{a})^3 - 3(\sqrt{a})^2\sqrt{b} + 3\sqrt{a}(\sqrt{b})^2 - (\sqrt{b})^3 = a\sqrt{a} - 3a\sqrt{b} + 3b\sqrt{a} - b\sqrt{b}$
Подставим раскрытый куб обратно в скобки и приведем подобные слагаемые:
$(a\sqrt{a} - 3a\sqrt{b} + 3b\sqrt{a} - b\sqrt{b}) + 2a\sqrt{a} + b\sqrt{b}$
$= (a\sqrt{a} + 2a\sqrt{a}) + 3b\sqrt{a} - 3a\sqrt{b} + (-b\sqrt{b} + b\sqrt{b})$
$= 3a\sqrt{a} - 3a\sqrt{b} + 3b\sqrt{a}$
2. Выполним деление.
Разделим результат первого действия на выражение $(3a^2 + 3b\sqrt{ab})$:
$\frac{3a\sqrt{a} - 3a\sqrt{b} + 3b\sqrt{a}}{3a^2 + 3b\sqrt{ab}}$
Вынесем общие множители в числителе и знаменателе. В числителе вынесем $3\sqrt{a}$, в знаменателе также вынесем $3\sqrt{a}$:
Числитель: $3a\sqrt{a} - 3a\sqrt{b} + 3b\sqrt{a} = 3\sqrt{a}(a - \sqrt{ab} + b)$.
Знаменатель: $3a^2 + 3b\sqrt{ab} = 3(a^2 + b\sqrt{a}\sqrt{b}) = 3\sqrt{a}(a\sqrt{a} + b\sqrt{b})$.
Теперь дробь выглядит так:
$\frac{3\sqrt{a}(a - \sqrt{ab} + b)}{3\sqrt{a}(a\sqrt{a} + b\sqrt{b})} = \frac{a - \sqrt{ab} + b}{a\sqrt{a} + b\sqrt{b}}$
Знаменатель $a\sqrt{a} + b\sqrt{b}$ является суммой кубов: $(\sqrt{a})^3 + (\sqrt{b})^3$. Разложим его по формуле $x^3+y^3 = (x+y)(x^2-xy+y^2)$:
$a\sqrt{a} + b\sqrt{b} = (\sqrt{a}+\sqrt{b})(a-\sqrt{ab}+b)$
Подставим это разложение в дробь и сократим:
$\frac{a - \sqrt{ab} + b}{(\sqrt{a}+\sqrt{b})(a - \sqrt{ab} + b)} = \frac{1}{\sqrt{a}+\sqrt{b}}$
3. Упростим второе слагаемое.
Преобразуем дробь $\frac{\sqrt{ab}-a}{a\sqrt{a}-b\sqrt{a}}$:
Вынесем общие множители в числителе и знаменателе.
Числитель: $\sqrt{ab}-a = \sqrt{a}\sqrt{b} - (\sqrt{a})^2 = \sqrt{a}(\sqrt{b}-\sqrt{a}) = -\sqrt{a}(\sqrt{a}-\sqrt{b})$.
Знаменатель: $a\sqrt{a}-b\sqrt{a} = \sqrt{a}(a-b) = \sqrt{a}(\sqrt{a}-\sqrt{b})(\sqrt{a}+\sqrt{b})$.
Получаем дробь и сокращаем ее:
$\frac{-\sqrt{a}(\sqrt{a}-\sqrt{b})}{\sqrt{a}(\sqrt{a}-\sqrt{b})(\sqrt{a}+\sqrt{b})} = -\frac{1}{\sqrt{a}+\sqrt{b}}$
4. Найдем сумму результатов.
Сложим результаты, полученные во втором и третьем действиях:
$\frac{1}{\sqrt{a}+\sqrt{b}} + \left(-\frac{1}{\sqrt{a}+\sqrt{b}}\right) = \frac{1}{\sqrt{a}+\sqrt{b}} - \frac{1}{\sqrt{a}+\sqrt{b}} = 0$
Ответ: $0$
№3.25 (с. 25)
Учебник. №3.25 (с. 25)
скриншот условия

3.25. Решите уравнение $(x^2 - 5x + 7)^2 - (x - 2)(x - 3) = 1$.
Решение. №3.25 (с. 25)

Решение 2. №3.25 (с. 25)
Дано уравнение:
$(x^2 - 5x + 7)^2 - (x - 2)(x - 3) = 1$
Первым шагом раскроем скобки в произведении $(x - 2)(x - 3)$:
$(x - 2)(x - 3) = x \cdot x - x \cdot 3 - 2 \cdot x + (-2) \cdot (-3) = x^2 - 3x - 2x + 6 = x^2 - 5x + 6$
Подставим это выражение обратно в исходное уравнение:
$(x^2 - 5x + 7)^2 - (x^2 - 5x + 6) = 1$
Мы видим, что в уравнении несколько раз встречается выражение $x^2 - 5x$. Чтобы упростить уравнение, введем замену переменной. Обозначим $t = x^2 - 5x + 6$.
Тогда выражение в первых скобках можно представить через $t$:
$x^2 - 5x + 7 = (x^2 - 5x + 6) + 1 = t + 1$
Теперь уравнение с новой переменной $t$ выглядит следующим образом:
$(t + 1)^2 - t = 1$
Решим это более простое уравнение. Раскроем квадрат суммы:
$t^2 + 2t + 1 - t = 1$
Приведем подобные слагаемые:
$t^2 + t + 1 = 1$
Вычтем 1 из обеих частей уравнения:
$t^2 + t = 0$
Вынесем общий множитель $t$ за скобки:
$t(t + 1) = 0$
Произведение равно нулю тогда и только тогда, когда хотя бы один из множителей равен нулю. Отсюда получаем два возможных значения для $t$:
$t_1 = 0$ или $t_2 = -1$.
Теперь выполним обратную замену для каждого из найденных значений $t$, чтобы найти $x$.
1. Случай, когда $t = 0$.
Подставляем значение $t$ в выражение для замены:
$x^2 - 5x + 6 = 0$
Это стандартное квадратное уравнение. Его корни можно найти по теореме Виета. Сумма корней равна $5$, а их произведение равно $6$. Этим условиям удовлетворяют числа $2$ и $3$.
$x_1 = 2$
$x_2 = 3$
2. Случай, когда $t = -1$.
Подставляем второе значение $t$ в выражение для замены:
$x^2 - 5x + 6 = -1$
Перенесем все члены в левую часть:
$x^2 - 5x + 7 = 0$
Чтобы найти корни этого квадратного уравнения, вычислим его дискриминант по формуле $D = b^2 - 4ac$:
$D = (-5)^2 - 4 \cdot 1 \cdot 7 = 25 - 28 = -3$
Так как дискриминант $D < 0$, данное квадратное уравнение не имеет действительных корней.
Следовательно, исходное уравнение имеет только два корня, найденные в первом случае.
Ответ: $2; 3$.
Помогло решение? Оставьте отзыв в комментариях ниже.