Страница 220 - гдз по алгебре 7 класс учебник Дорофеев, Суворова

Авторы: Дорофеев Г. В., Суворова С. Б., Бунимович Е. А., Кузнецова Л. В., Минаева С. С., Рослова Л. О.
Тип: Учебник
Издательство: Просвещение
Год издания: 2019 - 2022
Цвет обложки: белый, голубой, оранжевый с галочкой
ISBN: 978-5-09-074650-2
Рекомендовано Министерством образования и науки Российской Федерации
Популярные ГДЗ в 7 классе
Cтраница 220

№792 (с. 220)
Условие. №792 (с. 220)
скриншот условия

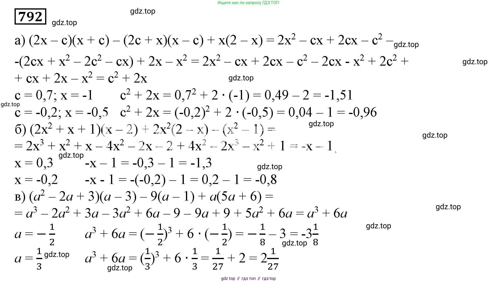
792 Найдите значение выражения:
a) $(2x - c)(x + c) - (2c + x)(x - c) + x(2 - x)$ при $c = 0,7$, $x = -1$; $c = -0,2$, $x = -0,5$;
б) $(2x^2 + x + 1)(x - 2) + 2x^2(2 - x) - (x^2 - 1)$ при $x = 0,3$; $x = -0,2$;
в) $(a^2 - 2a + 3)(a - 3) - 9(a - 1) + a(5a + 6)$ при $a = -\frac{1}{2}$; $a = \frac{1}{3}$.
Решение 1. №792 (с. 220)



Решение 2. №792 (с. 220)

Решение 3. №792 (с. 220)

Решение 5. №792 (с. 220)

Решение 6. №792 (с. 220)
а) Чтобы найти значение выражения $(2x - c)(x + c) - (2c + x)(x - c) + x(2 - x)$, сначала упростим его, раскрыв скобки и приведя подобные слагаемые.
1. Раскроем произведение $(2x - c)(x + c)$:
$(2x - c)(x + c) = 2x \cdot x + 2x \cdot c - c \cdot x - c \cdot c = 2x^2 + 2cx - cx - c^2 = 2x^2 + cx - c^2$.
2. Раскроем произведение $(2c + x)(x - c)$:
$(2c + x)(x - c) = 2c \cdot x - 2c \cdot c + x \cdot x - x \cdot c = 2cx - 2c^2 + x^2 - cx = x^2 + cx - 2c^2$.
3. Раскроем $x(2 - x)$:
$x(2 - x) = 2x - x^2$.
4. Подставим полученные выражения в исходное:
$(2x^2 + cx - c^2) - (x^2 + cx - 2c^2) + (2x - x^2)$
5. Раскроем скобки и приведем подобные слагаемые:
$2x^2 + cx - c^2 - x^2 - cx + 2c^2 + 2x - x^2 = (2x^2 - x^2 - x^2) + (cx - cx) + (-c^2 + 2c^2) + 2x = c^2 + 2x$.
Теперь подставим числовые значения в упрощенное выражение $c^2 + 2x$.
При $c = 0,7$ и $x = -1$:
$c^2 + 2x = (0,7)^2 + 2 \cdot (-1) = 0,49 - 2 = -1,51$.
При $c = -0,2$ и $x = -0,5$:
$c^2 + 2x = (-0,2)^2 + 2 \cdot (-0,5) = 0,04 - 1 = -0,96$.
Ответ: при $c = 0,7$, $x = -1$ значение равно $-1,51$; при $c = -0,2$, $x = -0,5$ значение равно $-0,96$.
б) Упростим выражение $(2x^2 + x + 1)(x - 2) + 2x^2(2 - x) - (x^2 - 1)$.
Заметим, что $2 - x = -(x - 2)$. Перепишем выражение, используя это свойство:
$(2x^2 + x + 1)(x - 2) - 2x^2(x - 2) - (x^2 - 1)$.
Вынесем общий множитель $(x - 2)$ за скобки:
$((2x^2 + x + 1) - 2x^2)(x - 2) - (x^2 - 1) = (x + 1)(x - 2) - (x^2 - 1)$.
Раскроем скобки и приведем подобные слагаемые:
$x \cdot x + x \cdot (-2) + 1 \cdot x + 1 \cdot (-2) - x^2 + 1 = x^2 - 2x + x - 2 - x^2 + 1 = (x^2 - x^2) + (-2x + x) + (-2 + 1) = -x - 1$.
Теперь подставим значения в упрощенное выражение $-x - 1$.
При $x = 0,3$:
$-x - 1 = -0,3 - 1 = -1,3$.
При $x = -0,2$:
$-x - 1 = -(-0,2) - 1 = 0,2 - 1 = -0,8$.
Ответ: при $x = 0,3$ значение равно $-1,3$; при $x = -0,2$ значение равно $-0,8$.
в) Упростим выражение $(a^2 - 2a + 3)(a - 3) - 9(a - 1) + a(5a + 6)$.
1. Раскроем произведение $(a^2 - 2a + 3)(a - 3)$:
$(a^2 - 2a + 3)(a - 3) = a^3 - 3a^2 - 2a^2 + 6a + 3a - 9 = a^3 - 5a^2 + 9a - 9$.
2. Раскроем остальные скобки:
$-9(a - 1) + a(5a + 6) = -9a + 9 + 5a^2 + 6a$.
3. Сложим все части и приведем подобные слагаемые:
$(a^3 - 5a^2 + 9a - 9) - 9a + 9 + 5a^2 + 6a = a^3 + (-5a^2 + 5a^2) + (9a - 9a + 6a) + (-9 + 9) = a^3 + 6a$.
Теперь подставим значения в упрощенное выражение $a^3 + 6a$.
При $a = -\frac{1}{2}$:
$a^3 + 6a = (-\frac{1}{2})^3 + 6 \cdot (-\frac{1}{2}) = -\frac{1}{8} - 3 = -\frac{1}{8} - \frac{24}{8} = -\frac{25}{8}$.
При $a = \frac{1}{3}$:
$a^3 + 6a = (\frac{1}{3})^3 + 6 \cdot (\frac{1}{3}) = \frac{1}{27} + 2 = \frac{1}{27} + \frac{54}{27} = \frac{55}{27}$.
Ответ: при $a = -\frac{1}{2}$ значение равно $-\frac{25}{8}$; при $a = \frac{1}{3}$ значение равно $\frac{55}{27}$.
№793 (с. 220)
Условие. №793 (с. 220)
скриншот условия

793 Докажите, что сумма квадратов пяти последовательных натуральных чисел делится на 5.
Решение 1. №793 (с. 220)

Решение 2. №793 (с. 220)

Решение 3. №793 (с. 220)

Решение 5. №793 (с. 220)

Решение 6. №793 (с. 220)
Для доказательства этого утверждения, обозначим пять последовательных натуральных чисел. Удобно выбрать среднее из них за $n$. Тогда последовательность чисел будет выглядеть так: $n-2$, $n-1$, $n$, $n+1$, $n+2$. Для того чтобы все числа были натуральными, необходимо, чтобы $n-2 \geq 1$, то есть $n \geq 3$.
Теперь составим сумму квадратов этих пяти чисел. Обозначим эту сумму буквой $S$: $S = (n-2)^2 + (n-1)^2 + n^2 + (n+1)^2 + (n+2)^2$
Раскроем скобки, используя формулы сокращенного умножения для квадрата суммы и квадрата разности: $(a \pm b)^2 = a^2 \pm 2ab + b^2$. $S = (n^2 - 4n + 4) + (n^2 - 2n + 1) + n^2 + (n^2 + 2n + 1) + (n^2 + 4n + 4)$
Сгруппируем и приведем подобные слагаемые: $S = (n^2 + n^2 + n^2 + n^2 + n^2) + (-4n - 2n + 2n + 4n) + (4 + 1 + 1 + 4)$
Выполним сложение в каждой группе: $S = 5n^2 + 0 \cdot n + 10$ $S = 5n^2 + 10$
Теперь вынесем общий множитель 5 за скобки: $S = 5(n^2 + 2)$
Поскольку $n$ — натуральное число ($n \geq 3$), то $n^2$ — также натуральное число. Сумма натурального числа $n^2$ и числа 2, то есть $(n^2 + 2)$, также является целым (и натуральным) числом. Таким образом, исходная сумма $S$ представлена в виде произведения числа 5 и целого числа $(n^2 + 2)$, что по определению означает, что сумма $S$ делится на 5 нацело.
Ответ: Утверждение доказано: сумма квадратов пяти последовательных натуральных чисел всегда делится на 5.
№794 (с. 220)
Условие. №794 (с. 220)
скриншот условия

794 Найдите значение выражения:
а) $(x + 1)^2(x + 2) - (x - 1)^2(x - 2)$ при $x = \frac{1}{4}$; $x = -\frac{1}{6}$;
б) $(1 + y)(2 - y)^2 - (2 + y)(1 - y)^2 - 3(1 - y^2)$ при $y = -1.4$; $y = 2.5$.
Решение 1. №794 (с. 220)


Решение 2. №794 (с. 220)

Решение 3. №794 (с. 220)

Решение 5. №794 (с. 220)

Решение 6. №794 (с. 220)
а)
Для нахождения значения выражения сначала упростим его, раскрыв скобки.
Выражение: $(x + 1)^2(x + 2) - (x - 1)^2(x - 2)$.
Раскроем квадрат суммы и квадрат разности:
$(x^2 + 2x + 1)(x + 2) - (x^2 - 2x + 1)(x - 2)$
Теперь перемножим многочлены:
Первый член: $(x^2 + 2x + 1)(x + 2) = x^3 + 2x^2 + 2x^2 + 4x + x + 2 = x^3 + 4x^2 + 5x + 2$.
Второй член: $(x^2 - 2x + 1)(x - 2) = x^3 - 2x^2 - 2x^2 + 4x + x - 2 = x^3 - 4x^2 + 5x - 2$.
Выполним вычитание:
$(x^3 + 4x^2 + 5x + 2) - (x^3 - 4x^2 + 5x - 2) = x^3 + 4x^2 + 5x + 2 - x^3 + 4x^2 - 5x + 2$.
Приведем подобные слагаемые:
$(x^3 - x^3) + (4x^2 + 4x^2) + (5x - 5x) + (2 + 2) = 8x^2 + 4$.
Теперь, когда выражение упрощено до $8x^2 + 4$, подставим в него заданные значения $x$.
1. При $x = \frac{1}{4}$:
$8 \cdot (\frac{1}{4})^2 + 4 = 8 \cdot \frac{1}{16} + 4 = \frac{8}{16} + 4 = \frac{1}{2} + 4 = 4,5$.
2. При $x = -\frac{1}{6}$:
$8 \cdot (-\frac{1}{6})^2 + 4 = 8 \cdot \frac{1}{36} + 4 = \frac{8}{36} + 4 = \frac{2}{9} + 4 = 4\frac{2}{9}$.
Ответ: при $x=\frac{1}{4}$ значение выражения равно $4,5$; при $x=-\frac{1}{6}$ значение выражения равно $4\frac{2}{9}$.
б)
Упростим выражение $(1 + y)(2 - y)^2 - (2 + y)(1 - y)^2 - 3(1 - y^2)$, раскрыв все скобки.
Первый член: $(1 + y)(2 - y)^2 = (1 + y)(4 - 4y + y^2) = 4 - 4y + y^2 + 4y - 4y^2 + y^3 = y^3 - 3y^2 + 4$.
Второй член: $(2 + y)(1 - y)^2 = (2 + y)(1 - 2y + y^2) = 2 - 4y + 2y^2 + y - 2y^2 + y^3 = y^3 - 3y + 2$.
Третий член: $3(1 - y^2) = 3 - 3y^2$.
Теперь подставим раскрытые части в исходное выражение:
$(y^3 - 3y^2 + 4) - (y^3 - 3y + 2) - (3 - 3y^2) = y^3 - 3y^2 + 4 - y^3 + 3y - 2 - 3 + 3y^2$.
Приведем подобные слагаемые:
$(y^3 - y^3) + (-3y^2 + 3y^2) + 3y + (4 - 2 - 3) = 3y - 1$.
Теперь, когда выражение упрощено до $3y - 1$, подставим в него заданные значения $y$.
1. При $y = -1,4$ (в условии запятая - десятичный разделитель):
$3 \cdot (-1,4) - 1 = -4,2 - 1 = -5,2$.
2. При $y = 2,5$ (в условии запятая - десятичный разделитель):
$3 \cdot (2,5) - 1 = 7,5 - 1 = 6,5$.
Ответ: при $y=-1,4$ значение выражения равно $-5,2$; при $y=2,5$ значение выражения равно $6,5$.
№795 (с. 220)
Условие. №795 (с. 220)
скриншот условия

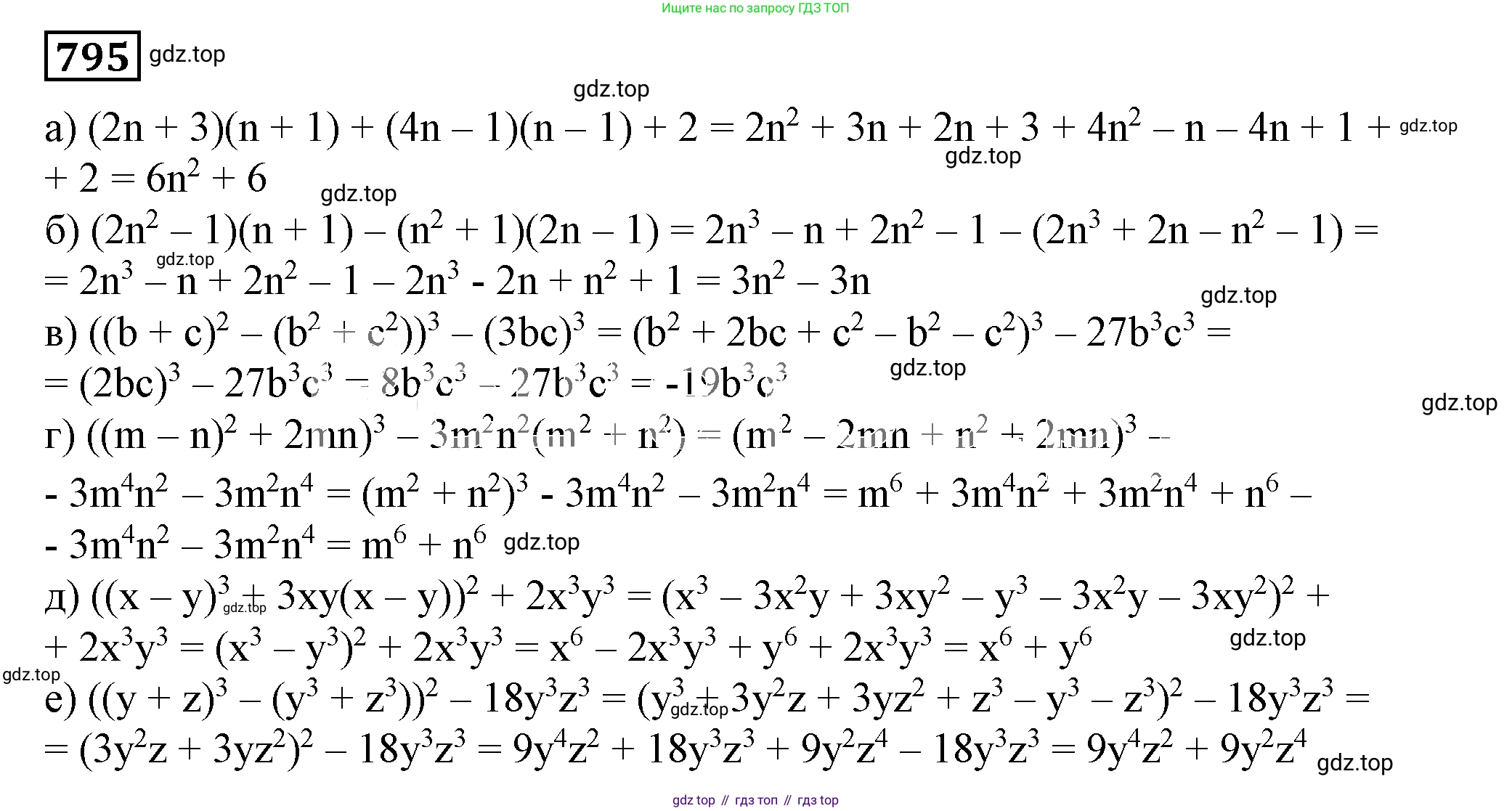
795 Упростите выражение:
а) $(2n + 3)(n + 1) + (4n - 1)(n - 1) + 2;$
б) $(2n^2 - 1)(n + 1) - (n^2 + 1)(2n - 1);$
в) $((b + c)^2 - (b^2 + c^2))^3 - (3bc)^3;$
г) $((m - n)^2 + 2mn)^3 - 3m^2n^2(m^2 + n^2);$
д) $((x - y)^3 + 3xy(x - y))^2 + 2x^3y^3;$
е) $((y + z)^3 - (y^3 + z^3))^2 - 18y^3z^3.$
Решение 1. №795 (с. 220)






Решение 2. №795 (с. 220)

Решение 3. №795 (с. 220)

Решение 5. №795 (с. 220)

Решение 6. №795 (с. 220)
а) Для упрощения выражения $(2n + 3)(n + 1) + (4n - 1)(n - 1) + 2$ сначала раскроем скобки, перемножив многочлены:
$(2n + 3)(n + 1) = 2n^2 + 2n + 3n + 3 = 2n^2 + 5n + 3$.
$(4n - 1)(n - 1) = 4n^2 - 4n - n + 1 = 4n^2 - 5n + 1$.
Теперь подставим полученные выражения обратно и сложим их:
$(2n^2 + 5n + 3) + (4n^2 - 5n + 1) + 2 = 2n^2 + 5n + 3 + 4n^2 - 5n + 1 + 2$.
Сгруппируем и приведем подобные слагаемые:
$(2n^2 + 4n^2) + (5n - 5n) + (3 + 1 + 2) = 6n^2 + 0 + 6 = 6n^2 + 6$.
Вынесем общий множитель 6 за скобки: $6(n^2 + 1)$.
Ответ: $6(n^2 + 1)$.
б) Для упрощения выражения $(2n^2 - 1)(n + 1) - (n^2 + 1)(2n - 1)$ раскроем скобки в каждом произведении:
$(2n^2 - 1)(n + 1) = 2n^3 + 2n^2 - n - 1$.
$(n^2 + 1)(2n - 1) = 2n^3 - n^2 + 2n - 1$.
Подставим результаты в исходное выражение и выполним вычитание:
$(2n^3 + 2n^2 - n - 1) - (2n^3 - n^2 + 2n - 1) = 2n^3 + 2n^2 - n - 1 - 2n^3 + n^2 - 2n + 1$.
Сгруппируем и приведем подобные слагаемые:
$(2n^3 - 2n^3) + (2n^2 + n^2) + (-n - 2n) + (-1 + 1) = 0 + 3n^2 - 3n + 0 = 3n^2 - 3n$.
Вынесем общий множитель $3n$ за скобки: $3n(n - 1)$.
Ответ: $3n(n - 1)$.
в) Упростим выражение $(((b + c)^2 - (b^2 + c^2)))^3 - (3bc)^3$. Сначала преобразуем выражение во внутренних скобках:
$(b + c)^2 - (b^2 + c^2) = (b^2 + 2bc + c^2) - b^2 - c^2 = 2bc$.
Теперь исходное выражение принимает вид:
$(2bc)^3 - (3bc)^3$.
Возведем в куб каждый член:
$2^3b^3c^3 - 3^3b^3c^3 = 8b^3c^3 - 27b^3c^3$.
Выполним вычитание:
$(8 - 27)b^3c^3 = -19b^3c^3$.
Ответ: $-19b^3c^3$.
г) Упростим выражение $(((m - n)^2 + 2mn))^3 - 3m^2n^2(m^2 + n^2)$. Преобразуем выражение во внутренних скобках:
$(m - n)^2 + 2mn = (m^2 - 2mn + n^2) + 2mn = m^2 + n^2$.
Подставим результат в исходное выражение:
$(m^2 + n^2)^3 - 3m^2n^2(m^2 + n^2)$.
Воспользуемся формулой куба суммы $(a+b)^3=a^3+3a^2b+3ab^2+b^3$, где $a=m^2$ и $b=n^2$:
$(m^2)^3 + 3(m^2)^2n^2 + 3m^2(n^2)^2 + (n^2)^3 - 3m^2n^2(m^2 + n^2) = m^6 + 3m^4n^2 + 3m^2n^4 + n^6 - 3m^4n^2 - 3m^2n^4$.
Приведем подобные слагаемые:
$m^6 + (3m^4n^2 - 3m^4n^2) + (3m^2n^4 - 3m^2n^4) + n^6 = m^6 + n^6$.
Ответ: $m^6 + n^6$.
д) Упростим выражение $(((x - y)^3 + 3xy(x - y)))^2 + 2x^3y^3$. Преобразуем выражение во внутренних скобках, используя формулу разности кубов $a^3-b^3=(a-b)(a^2+ab+b^2)$:
$(x - y)^3 + 3xy(x - y) = (x - y)((x - y)^2 + 3xy) = (x - y)(x^2 - 2xy + y^2 + 3xy) = (x - y)(x^2 + xy + y^2) = x^3 - y^3$.
Исходное выражение принимает вид:
$(x^3 - y^3)^2 + 2x^3y^3$.
Раскроем квадрат разности:
$(x^3)^2 - 2(x^3)(y^3) + (y^3)^2 + 2x^3y^3 = x^6 - 2x^3y^3 + y^6 + 2x^3y^3$.
Приведем подобные слагаемые:
$x^6 + (-2x^3y^3 + 2x^3y^3) + y^6 = x^6 + y^6$.
Ответ: $x^6 + y^6$.
е) Упростим выражение $(((y + z)^3 - (y^3 + z^3)))^2 - 18y^3z^3$. Преобразуем выражение во внутренних скобках:
$(y + z)^3 - (y^3 + z^3) = (y^3 + 3y^2z + 3yz^2 + z^3) - y^3 - z^3 = 3y^2z + 3yz^2 = 3yz(y + z)$.
Теперь исходное выражение выглядит так:
$(3yz(y + z))^2 - 18y^3z^3$.
Возведем в квадрат первый член:
$9y^2z^2(y + z)^2 - 18y^3z^3 = 9y^2z^2(y^2 + 2yz + z^2) - 18y^3z^3$.
Раскроем скобки:
$9y^4z^2 + 18y^3z^3 + 9y^2z^4 - 18y^3z^3$.
Приведем подобные слагаемые:
$9y^4z^2 + 9y^2z^4$.
Вынесем общий множитель $9y^2z^2$ за скобки: $9y^2z^2(y^2 + z^2)$.
Ответ: $9y^2z^2(y^2 + z^2)$.
№796 (с. 220)
Условие. №796 (с. 220)
скриншот условия

796 a) $4(1,5x - 3) - 5,5x = 10;$
б) $0,6x = 0,3 - 3(x + 2,5);$
в) $3(x - 1) = 3x - 4(8x + 1);$
г) $8(x - 8) + 2(1 - 2x) = 11.$
Решение 1. №796 (с. 220)




Решение 2. №796 (с. 220)

Решение 3. №796 (с. 220)

Решение 5. №796 (с. 220)

Решение 6. №796 (с. 220)
а) $4(1,5x - 3) - 5,5x = 10$
Сначала раскроем скобки, умножив множитель 4 на каждый член в скобках: $4 \cdot 1,5x - 4 \cdot 3 - 5,5x = 10$.
Выполняем умножение: $6x - 12 - 5,5x = 10$.
Теперь сгруппируем и приведем подобные слагаемые (члены, содержащие $x$): $(6x - 5,5x) - 12 = 10$.
Это дает нам $0,5x - 12 = 10$.
Перенесем число -12 в правую часть уравнения, изменив его знак на противоположный: $0,5x = 10 + 12$.
Складываем числа в правой части: $0,5x = 22$.
Чтобы найти $x$, разделим обе части уравнения на 0,5: $x = \frac{22}{0,5}$.
Вычисляем значение $x$: $x = 44$.
Ответ: $44$.
б) $0,6x = 0,3 - 3(x + 2,5)$
Раскроем скобки в правой части уравнения, умножив -3 на $x$ и на 2,5: $0,6x = 0,3 - 3x - 3 \cdot 2,5$.
Выполняем умножение: $0,6x = 0,3 - 3x - 7,5$.
Приведем подобные слагаемые (свободные члены) в правой части: $0,6x = -3x + (0,3 - 7,5)$.
Получаем: $0,6x = -3x - 7,2$.
Перенесем все члены с $x$ в левую часть уравнения, а свободные члены оставим справа. Для этого прибавим $3x$ к обеим частям: $0,6x + 3x = -7,2$.
Складываем члены с $x$: $3,6x = -7,2$.
Чтобы найти $x$, разделим обе части уравнения на 3,6: $x = \frac{-7,2}{3,6}$.
Вычисляем значение $x$: $x = -2$.
Ответ: $-2$.
в) $3(x - 1) = 3x - 4(8x + 1)$
Раскроем скобки в обеих частях уравнения: $3 \cdot x - 3 \cdot 1 = 3x - 4 \cdot 8x - 4 \cdot 1$.
Выполняем умножение: $3x - 3 = 3x - 32x - 4$.
Приведем подобные слагаемые в правой части: $3x - 3 = (3x - 32x) - 4$.
Получаем: $3x - 3 = -29x - 4$.
Перенесем член $-29x$ в левую часть, а член -3 в правую часть, меняя их знаки: $3x + 29x = -4 + 3$.
Складываем подобные члены в каждой части: $32x = -1$.
Разделим обе части на 32, чтобы найти $x$: $x = -\frac{1}{32}$.
Ответ: $-\frac{1}{32}$.
г) $8(x - 8) + 2(1 - 2x) = 11$
Раскроем обе скобки в левой части уравнения: $8 \cdot x - 8 \cdot 8 + 2 \cdot 1 - 2 \cdot 2x = 11$.
Выполняем умножение: $8x - 64 + 2 - 4x = 11$.
Сгруппируем и приведем подобные слагаемые: члены с $x$ и свободные члены: $(8x - 4x) + (-64 + 2) = 11$.
Упрощаем выражение: $4x - 62 = 11$.
Перенесем -62 в правую часть с противоположным знаком: $4x = 11 + 62$.
Складываем числа: $4x = 73$.
Чтобы найти $x$, разделим обе части на 4: $x = \frac{73}{4}$.
Результат можно представить в виде десятичной дроби: $x = 18,25$.
Ответ: $18,25$.
№797 (с. 220)
Условие. №797 (с. 220)
скриншот условия

797 a) $x(x - 1) - x(x - 3) = 12;$
б) $(x + 1)(x + 2) - x^2 = 5x + 4;$
В) $(x - 4)^2 = x^2 - 16;$
Г) $(x + 1)^2 = x^2 + 1.$
Решение 1. №797 (с. 220)




Решение 2. №797 (с. 220)

Решение 3. №797 (с. 220)

Решение 5. №797 (с. 220)

Решение 6. №797 (с. 220)
а)
Дано уравнение $x(x-1) - x(x-3) = 12$.
Сначала раскроем скобки в левой части уравнения:
$x \cdot x - x \cdot 1 - (x \cdot x - x \cdot 3) = 12$
$x^2 - x - (x^2 - 3x) = 12$
$x^2 - x - x^2 + 3x = 12$
Теперь приведем подобные слагаемые:
$(x^2 - x^2) + (-x + 3x) = 12$
$2x = 12$
Чтобы найти $x$, разделим обе части уравнения на 2:
$x = \frac{12}{2}$
$x = 6$
Ответ: 6
б)
Дано уравнение $(x+1)(x+2) - x^2 = 5x + 4$.
Раскроем скобки в левой части, перемножив многочлены:
$(x \cdot x + x \cdot 2 + 1 \cdot x + 1 \cdot 2) - x^2 = 5x + 4$
$(x^2 + 2x + x + 2) - x^2 = 5x + 4$
$x^2 + 3x + 2 - x^2 = 5x + 4$
Приведем подобные слагаемые в левой части:
$3x + 2 = 5x + 4$
Перенесем слагаемые, содержащие $x$, в левую часть, а свободные члены — в правую:
$3x - 5x = 4 - 2$
$-2x = 2$
Разделим обе части на -2:
$x = \frac{2}{-2}$
$x = -1$
Ответ: -1
в)
Дано уравнение $(x-4)^2 = x^2 - 16$.
Раскроем скобки в левой части, используя формулу квадрата разности $(a-b)^2 = a^2 - 2ab + b^2$:
$x^2 - 2 \cdot x \cdot 4 + 4^2 = x^2 - 16$
$x^2 - 8x + 16 = x^2 - 16$
Перенесем все слагаемые в левую часть уравнения:
$x^2 - 8x + 16 - x^2 + 16 = 0$
Приведем подобные слагаемые:
$(x^2 - x^2) - 8x + (16 + 16) = 0$
$-8x + 32 = 0$
Перенесем свободный член в правую часть:
$-8x = -32$
Разделим обе части на -8:
$x = \frac{-32}{-8}$
$x = 4$
Ответ: 4
г)
Дано уравнение $(x+1)^2 = x^2 + 1$.
Раскроем скобки в левой части, используя формулу квадрата суммы $(a+b)^2 = a^2 + 2ab + b^2$:
$x^2 + 2 \cdot x \cdot 1 + 1^2 = x^2 + 1$
$x^2 + 2x + 1 = x^2 + 1$
Вычтем из обеих частей уравнения $x^2$ и 1:
$x^2 + 2x + 1 - x^2 - 1 = 0$
Приведем подобные слагаемые:
$(x^2 - x^2) + 2x + (1 - 1) = 0$
$2x = 0$
Разделим обе части на 2:
$x = \frac{0}{2}$
$x = 0$
Ответ: 0
№798 (с. 220)
Условие. №798 (с. 220)
скриншот условия

Решите задачу (798-810).
798 Расстояние, равное 40 км, велосипедист проехал за 3 ч. Первый час он ехал со скоростью, на 2 км/ч меньшей, чем в оставшееся время. Определите первоначальную скорость велосипедиста.
Решение 1. №798 (с. 220)

Решение 2. №798 (с. 220)

Решение 3. №798 (с. 220)

Решение 5. №798 (с. 220)

Решение 6. №798 (с. 220)
798.
Для решения задачи составим уравнение. Обозначим первоначальную скорость велосипедиста (скорость в течение первого часа) как $x$ км/ч.
Согласно условию, в оставшееся время велосипедист ехал со скоростью, которая была на 2 км/ч больше первоначальной. Общее время в пути — 3 часа. Первый час он ехал с одной скоростью, значит, оставшееся время составляет $3 - 1 = 2$ часа.
Сформулируем данные:
- Время на первом участке пути: $t_1 = 1$ ч.
- Скорость на первом участке пути: $v_1 = x$ км/ч.
- Расстояние, пройденное на первом участке: $S_1 = v_1 \cdot t_1 = x \cdot 1 = x$ км.
- Время на втором участке пути: $t_2 = 2$ ч.
- Скорость на втором участке пути: $v_2 = x + 2$ км/ч.
- Расстояние, пройденное на втором участке: $S_2 = v_2 \cdot t_2 = (x + 2) \cdot 2$ км.
Общее расстояние равно сумме расстояний, пройденных на двух участках: $S_{общ} = S_1 + S_2$. По условию, общее расстояние составляет 40 км. Составим и решим уравнение:
$x + 2(x + 2) = 40$
Раскроем скобки:
$x + 2x + 4 = 40$
Приведем подобные слагаемые:
$3x + 4 = 40$
Перенесем 4 в правую часть уравнения с противоположным знаком:
$3x = 40 - 4$
$3x = 36$
Найдем $x$:
$x = \frac{36}{3}$
$x = 12$
Таким образом, первоначальная скорость велосипедиста была 12 км/ч.
Проверка:
Скорость в первый час — 12 км/ч. Пройденный путь: $12 \text{ км/ч} \cdot 1 \text{ ч} = 12$ км.
Скорость в оставшиеся 2 часа — $12 + 2 = 14$ км/ч. Пройденный путь: $14 \text{ км/ч} \cdot 2 \text{ ч} = 28$ км.
Общий путь: $12 \text{ км} + 28 \text{ км} = 40$ км.
Условие задачи выполняется.
Ответ: 12 км/ч.
№799 (с. 220)
Условие. №799 (с. 220)
скриншот условия

799 Товарный поезд вышел со станции и до первой остановки шёл со скоростью 35 км/ч. После остановки он увеличил скорость до 45 км/ч и до следующей остановки находился в пути на 1 ч меньше. Весь путь составил 195 км. Определите, сколько времени шёл поезд до первой остановки и на каком расстоянии от станции она произошла.
Решение 1. №799 (с. 220)

Решение 2. №799 (с. 220)

Решение 3. №799 (с. 220)

Решение 5. №799 (с. 220)

Решение 6. №799 (с. 220)
Для решения задачи составим уравнение. Пусть $t$ (в часах) — это время, которое товарный поезд шёл до первой остановки. Это одна из искомых величин.
Скорость поезда на первом участке пути была $v_1 = 35$ км/ч. Расстояние, которое он проехал до первой остановки, равно $s_1 = v_1 \cdot t = 35t$ км. Это вторая искомая величина.
После остановки скорость поезда увеличилась до $v_2 = 45$ км/ч. Согласно условию, время движения на втором участке было на 1 час меньше, чем на первом. Следовательно, время движения на втором участке составляет $t_2 = t - 1$ ч.
Расстояние, пройденное на втором участке, вычисляется как $s_2 = v_2 \cdot t_2 = 45(t - 1)$ км.
Весь путь поезда $S$ составил 195 км. Общий путь является суммой расстояний, пройденных на двух участках: $S = s_1 + s_2$.
Подставим известные значения и выражения в эту формулу:
$195 = 35t + 45(t - 1)$
Теперь решим полученное линейное уравнение относительно переменной $t$:
1. Раскроем скобки в правой части уравнения:
$195 = 35t + 45t - 45$
2. Сгруппируем слагаемые с переменной $t$:
$195 = (35 + 45)t - 45$
$195 = 80t - 45$
3. Перенесем число -45 из правой части в левую, изменив его знак на противоположный:
$195 + 45 = 80t$
$240 = 80t$
4. Найдем $t$, разделив обе части уравнения на 80:
$t = \frac{240}{80}$
$t = 3$
Таким образом, мы нашли время движения поезда до первой остановки. Теперь, имея это значение, мы можем ответить на оба вопроса задачи.
Сколько времени шёл поезд до первой остановки
Как было вычислено выше, время движения поезда до первой остановки ($t$) составляет 3 часа.
Ответ: 3 часа.
На каком расстоянии от станции она произошла
Чтобы найти расстояние от станции до места первой остановки ($s_1$), нужно умножить скорость на первом участке ($v_1 = 35$ км/ч) на время движения на этом участке ($t=3$ ч).
$s_1 = v_1 \cdot t = 35 \text{ км/ч} \cdot 3 \text{ ч} = 105 \text{ км}$.
Ответ: 105 км.
№800 (с. 220)
Условие. №800 (с. 220)
скриншот условия

800 Два спортсмена бегут навстречу друг другу по круговой дорожке, длина которой 1 км. Скорость одного из них 140 м/мин, а другого 160 м/мин. В некоторый момент времени они встречаются. Через сколько минут они встретятся в следующий раз?
Решение 1. №800 (с. 220)

Решение 2. №800 (с. 220)

Решение 3. №800 (с. 220)

Решение 5. №800 (с. 220)

Решение 6. №800 (с. 220)
Для того чтобы найти, через какое время спортсмены встретятся в следующий раз, нужно рассмотреть их совместное движение. С момента их первой встречи до следующей они вместе должны пробежать расстояние, равное полной длине круговой дорожки.
1. Приведем все данные к единым единицам измерения. Длина дорожки дана в километрах, а скорости — в метрах в минуту. Переведем длину дорожки в метры:
Длина дорожки $S = 1 \text{ км} = 1000 \text{ м}$.
2. Найдем скорость сближения спортсменов. Так как они бегут навстречу друг другу, их скорости складываются.
Скорость первого спортсмена $v_1 = 140 \text{ м/мин}$.
Скорость второго спортсмена $v_2 = 160 \text{ м/мин}$.
Скорость сближения $v_{сбл} = v_1 + v_2 = 140 \text{ м/мин} + 160 \text{ м/мин} = 300 \text{ м/мин}$.
3. Рассчитаем время до следующей встречи. Время $t$ находится путем деления общего расстояния $S$ на скорость сближения $v_{сбл}$.
$t = \frac{S}{v_{сбл}}$
Подставляем известные значения:
$t = \frac{1000 \text{ м}}{300 \text{ м/мин}} = \frac{10}{3} \text{ мин}$.
4. Преобразуем полученный результат в более удобный вид. Выделим целую часть из неправильной дроби:
$\frac{10}{3} = 3\frac{1}{3}$ минуты.
Дробную часть можно также выразить в секундах: $\frac{1}{3}$ минуты = $\frac{1}{3} \times 60$ секунд = $20$ секунд. Таким образом, спортсмены встретятся через 3 минуты 20 секунд.
Ответ: через $3\frac{1}{3}$ минуты.
Помогло решение? Оставьте отзыв в комментариях ниже.