Страница 229 - гдз по алгебре 7 класс учебник Дорофеев, Суворова

Авторы: Дорофеев Г. В., Суворова С. Б., Бунимович Е. А., Кузнецова Л. В., Минаева С. С., Рослова Л. О.
Тип: Учебник
Издательство: Просвещение
Год издания: 2019 - 2022
Цвет обложки: белый, голубой, оранжевый с галочкой
ISBN: 978-5-09-074650-2
Рекомендовано Министерством образования и науки Российской Федерации
Популярные ГДЗ в 7 классе
Cтраница 229

№820 (с. 229)
Условие. №820 (с. 229)
скриншот условия

Разложите на множители (820—821).
820 а) $nm^2 + mn + n^2;$
б) $-m^3 - m^2n - mn^2;$
в) $ax^2 + a^2x - ax;$
г) $3x^3 - 2x^2 - x;$
д) $3n^6 + 6n^5 - 12n^4;$
е) $-6m^4 - 4m^5 - 2m^6.$
Решение 1. №820 (с. 229)






Решение 2. №820 (с. 229)

Решение 3. №820 (с. 229)

Решение 5. №820 (с. 229)

Решение 6. №820 (с. 229)
а) В выражении $nm^2 + mn + n^2$ все члены имеют общий множитель $n$. Вынесение общего множителя за скобки — это операция, обратная умножению многочлена на одночлен. Чтобы вынести $n$ за скобки, нужно каждый член многочлена разделить на $n$:
$nm^2 + mn + n^2 = n(\frac{nm^2}{n} + \frac{mn}{n} + \frac{n^2}{n}) = n(m^2 + m + n)$.
Дальнейшее разложение на множители с целыми коэффициентами для выражения в скобках невозможно.
Ответ: $n(m^2 + m + n)$
б) В выражении $-m^3 - m^2n - mn^2$ общим множителем для всех членов является $-m$. Вынесем его за скобки, разделив каждый член на $-m$:
$-m^3 - m^2n - mn^2 = -m(\frac{-m^3}{-m} + \frac{-m^2n}{-m} + \frac{-mn^2}{-m}) = -m(m^2 + mn + n^2)$.
Выражение $m^2 + mn + n^2$ не раскладывается на множители с действительными коэффициентами.
Ответ: $-m(m^2 + mn + n^2)$
в) Для разложения на множители выражения $ax^2 + a^2x - ax$ найдем общий множитель. Каждый член содержит переменные $a$ и $x$. Наименьшая степень $a$ — первая, наименьшая степень $x$ — первая. Таким образом, общий множитель — $ax$. Вынесем его за скобки:
$ax^2 + a^2x - ax = ax(\frac{ax^2}{ax} + \frac{a^2x}{ax} - \frac{ax}{ax}) = ax(x + a - 1)$.
Ответ: $ax(x + a - 1)$
г) Сначала вынесем за скобки общий множитель $x$ в выражении $3x^3 - 2x^2 - x$:
$x(3x^2 - 2x - 1)$.
Теперь разложим на множители квадратный трехчлен $3x^2 - 2x - 1$. Для этого найдем корни соответствующего квадратного уравнения $3x^2 - 2x - 1 = 0$ по формуле корней через дискриминант.
$D = b^2 - 4ac = (-2)^2 - 4 \cdot 3 \cdot (-1) = 4 + 12 = 16 = 4^2$.
$x_1 = \frac{-b + \sqrt{D}}{2a} = \frac{2 + 4}{2 \cdot 3} = \frac{6}{6} = 1$
$x_2 = \frac{-b - \sqrt{D}}{2a} = \frac{2 - 4}{2 \cdot 3} = \frac{-2}{6} = -\frac{1}{3}$
Используя формулу разложения $ax^2+bx+c = a(x-x_1)(x-x_2)$, получаем:
$3x^2 - 2x - 1 = 3(x-1)(x-(-\frac{1}{3})) = 3(x-1)(x+\frac{1}{3}) = (x-1)(3x+1)$.
Окончательное разложение исходного выражения:
$x(x-1)(3x+1)$.
Ответ: $x(x-1)(3x+1)$
д) В выражении $3n^6 + 6n^5 - 12n^4$ найдем наибольший общий делитель коэффициентов (3, 6, 12), который равен 3, и наименьшую степень переменной $n$, которая равна 4. Общий множитель — $3n^4$. Вынесем его за скобки:
$3n^6 + 6n^5 - 12n^4 = 3n^4(n^2 + 2n - 4)$.
Чтобы проверить, можно ли разложить далее трехчлен $n^2 + 2n - 4$, вычислим его дискриминант: $D = 2^2 - 4 \cdot 1 \cdot (-4) = 4 + 16 = 20$. Поскольку дискриминант не является квадратом целого числа, трехчлен не раскладывается на множители с целыми коэффициентами.
Ответ: $3n^4(n^2 + 2n - 4)$
е) Для разложения на множители выражения $-6m^4 - 4m^5 - 2m^6$ найдем общий множитель. Наибольший общий делитель модулей коэффициентов (6, 4, 2) равен 2. Так как все члены отрицательные, удобно вынести $-2$. Наименьшая степень переменной $m$ равна 4. Общий множитель — $-2m^4$.
$-6m^4 - 4m^5 - 2m^6 = -2m^4(\frac{-6m^4}{-2m^4} + \frac{-4m^5}{-2m^4} + \frac{-2m^6}{-2m^4}) = -2m^4(3 + 2m + m^2)$.
Запишем многочлен в скобках в стандартном виде, упорядочив члены по убыванию степеней:
$-2m^4(m^2 + 2m + 3)$.
Проверим возможность разложения трехчлена $m^2 + 2m + 3$. Его дискриминант: $D = 2^2 - 4 \cdot 1 \cdot 3 = 4 - 12 = -8$. Так как дискриминант отрицательный, у трехчлена нет действительных корней, и он не раскладывается на множители в поле действительных чисел.
Ответ: $-2m^4(m^2 + 2m + 3)$
№821 (с. 229)
Условие. №821 (с. 229)
скриншот условия

821 a) $10xy^2 - 35x^3y^3;$
Б) $9a^6b^3 + 12a^3b^4;$
В) $24m^2n^5 - 16m^2n^3;$
Г) $7b^3c^3 + 14b^4c^2.$
Решение 1. №821 (с. 229)




Решение 2. №821 (с. 229)

Решение 3. №821 (с. 229)

Решение 5. №821 (с. 229)

Решение 6. №821 (с. 229)
а) Чтобы вынести общий множитель за скобки в выражении $10xy^2 - 35x^3y^3$, необходимо найти наибольший общий делитель (НОД) для числовых коэффициентов и для степеней каждой переменной.
1. Находим НОД для коэффициентов 10 и 35. НОД(10, 35) = 5.
2. Находим общую часть для переменных. Для переменной $x$ в члены многочлена входят $x$ и $x^3$. Выносим переменную с наименьшим показателем степени, то есть $x$.
3. Для переменной $y$ в члены многочлена входят $y^2$ и $y^3$. Выносим переменную с наименьшим показателем степени, то есть $y^2$.
Таким образом, общий множитель, который можно вынести за скобки, это $5xy^2$.
Теперь разделим каждый член исходного многочлена на этот общий множитель:
$\frac{10xy^2}{5xy^2} = 2$
$\frac{-35x^3y^3}{5xy^2} = -7x^{3-1}y^{3-2} = -7x^2y$
Записываем результат, вынеся общий множитель за скобки: $5xy^2(2 - 7x^2y)$.
Ответ: $5xy^2(2 - 7x^2y)$
б) В выражении $9a^6b^3 + 12a^3b^4$ находим общий множитель.
1. НОД для коэффициентов 9 и 12 равен 3.
2. Для переменной $a$ наименьшая степень – $a^3$.
3. Для переменной $b$ наименьшая степень – $b^3$.
Общий множитель для вынесения за скобки – $3a^3b^3$.
Разделим каждый член многочлена на $3a^3b^3$:
$\frac{9a^6b^3}{3a^3b^3} = 3a^{6-3}b^{3-3} = 3a^3$
$\frac{12a^3b^4}{3a^3b^3} = 4a^{3-3}b^{4-3} = 4b$
Записываем итоговое выражение: $3a^3b^3(3a^3 + 4b)$.
Ответ: $3a^3b^3(3a^3 + 4b)$
в) В выражении $24m^2n^5 - 16m^2n^3$ находим общий множитель.
1. НОД для коэффициентов 24 и 16 равен 8.
2. Для переменной $m$ степень одинакова в обоих членах ($m^2$), поэтому выносим $m^2$.
3. Для переменной $n$ наименьшая степень – $n^3$.
Общий множитель для вынесения за скобки – $8m^2n^3$.
Разделим каждый член многочлена на $8m^2n^3$:
$\frac{24m^2n^5}{8m^2n^3} = 3m^{2-2}n^{5-3} = 3n^2$
$\frac{-16m^2n^3}{8m^2n^3} = -2m^{2-2}n^{3-3} = -2$
Записываем итоговое выражение: $8m^2n^3(3n^2 - 2)$.
Ответ: $8m^2n^3(3n^2 - 2)$
г) В выражении $7b^3c^3 + 14b^4c^2$ находим общий множитель.
1. НОД для коэффициентов 7 и 14 равен 7.
2. Для переменной $b$ наименьшая степень – $b^3$.
3. Для переменной $c$ наименьшая степень – $c^2$.
Общий множитель для вынесения за скобки – $7b^3c^2$.
Разделим каждый член многочлена на $7b^3c^2$:
$\frac{7b^3c^3}{7b^3c^2} = b^{3-3}c^{3-2} = c$
$\frac{14b^4c^2}{7b^3c^2} = 2b^{4-3}c^{2-2} = 2b$
Записываем итоговое выражение: $7b^3c^2(c + 2b)$.
Ответ: $7b^3c^2(c + 2b)$
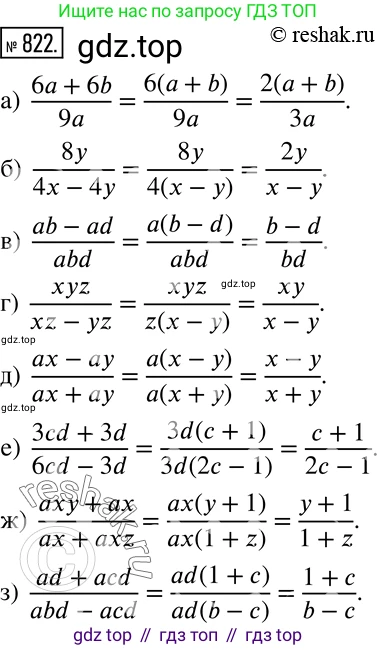
№822 (с. 229)
Условие. №822 (с. 229)
скриншот условия

Сократите дробь (822—823).
822 а) $\frac{6a + 6b}{9a}$;
в) $\frac{ab - ad}{abd}$;
д) $\frac{ax - ay}{ax + ay}$;
ж) $\frac{axy + ax}{ax + axz}$;
б) $\frac{8y}{4x - 4y}$;
г) $\frac{xyz}{xz - yz}$;
е) $\frac{3cd + 3d}{6cd - 3d}$;
з) $\frac{ad + acd}{abd - acd}$.
Решение 1. №822 (с. 229)








Решение 2. №822 (с. 229)

Решение 3. №822 (с. 229)

Решение 5. №822 (с. 229)

Решение 6. №822 (с. 229)
а) Чтобы сократить дробь $\frac{6a + 6b}{9a}$, необходимо вынести общий множитель в числителе и затем сократить его со знаменателем.
1. Выносим общий множитель 6 в числителе: $6a + 6b = 6(a + b)$.
2. Получаем дробь: $\frac{6(a + b)}{9a}$.
3. Сокращаем числовые коэффициенты 6 и 9. Их наибольший общий делитель равен 3. Делим 6 на 3, получаем 2. Делим 9 на 3, получаем 3.
4. Итоговая дробь: $\frac{2(a + b)}{3a}$.
Ответ: $\frac{2(a + b)}{3a}$.
б) Чтобы сократить дробь $\frac{8y}{4x - 4y}$, вынесем общий множитель в знаменателе.
1. Выносим общий множитель 4 в знаменателе: $4x - 4y = 4(x - y)$.
2. Получаем дробь: $\frac{8y}{4(x - y)}$.
3. Сокращаем числовые коэффициенты 8 и 4. Их общий делитель равен 4. $\frac{8}{4} = 2$.
4. Итоговая дробь: $\frac{2y}{x - y}$.
Ответ: $\frac{2y}{x - y}$.
в) Чтобы сократить дробь $\frac{ab - ad}{abd}$, вынесем общий множитель в числителе.
1. Выносим общий множитель $a$ в числителе: $ab - ad = a(b - d)$.
2. Получаем дробь: $\frac{a(b - d)}{abd}$.
3. Сокращаем общий множитель $a$ в числителе и знаменателе (при условии, что $a \neq 0$).
4. Итоговая дробь: $\frac{b - d}{bd}$.
Ответ: $\frac{b - d}{bd}$.
г) Чтобы сократить дробь $\frac{xyz}{xz - yz}$, вынесем общий множитель в знаменателе.
1. Выносим общий множитель $z$ в знаменателе: $xz - yz = z(x - y)$.
2. Получаем дробь: $\frac{xyz}{z(x - y)}$.
3. Сокращаем общий множитель $z$ в числителе и знаменателе (при условии, что $z \neq 0$).
4. Итоговая дробь: $\frac{xy}{x - y}$.
Ответ: $\frac{xy}{x - y}$.
д) Чтобы сократить дробь $\frac{ax - ay}{ax + ay}$, вынесем общие множители в числителе и знаменателе.
1. Выносим общий множитель $a$ в числителе: $ax - ay = a(x - y)$.
2. Выносим общий множитель $a$ в знаменателе: $ax + ay = a(x + y)$.
3. Получаем дробь: $\frac{a(x - y)}{a(x + y)}$.
4. Сокращаем общий множитель $a$ (при условии, что $a \neq 0$).
5. Итоговая дробь: $\frac{x - y}{x + y}$.
Ответ: $\frac{x - y}{x + y}$.
е) Чтобы сократить дробь $\frac{3cd + 3d}{6cd - 3d}$, вынесем общие множители в числителе и знаменателе.
1. В числителе общий множитель $3d$: $3cd + 3d = 3d(c + 1)$.
2. В знаменателе общий множитель $3d$: $6cd - 3d = 3d(2c - 1)$.
3. Получаем дробь: $\frac{3d(c + 1)}{3d(2c - 1)}$.
4. Сокращаем общий множитель $3d$ (при условии, что $d \neq 0$).
5. Итоговая дробь: $\frac{c + 1}{2c - 1}$.
Ответ: $\frac{c + 1}{2c - 1}$.
ж) Чтобы сократить дробь $\frac{axy + ax}{ax + axz}$, вынесем общие множители в числителе и знаменателе.
1. В числителе общий множитель $ax$: $axy + ax = ax(y + 1)$.
2. В знаменателе общий множитель $ax$: $ax + axz = ax(1 + z)$.
3. Получаем дробь: $\frac{ax(y + 1)}{ax(1 + z)}$.
4. Сокращаем общий множитель $ax$ (при условии, что $a \neq 0$ и $x \neq 0$).
5. Итоговая дробь: $\frac{y + 1}{1 + z}$.
Ответ: $\frac{y + 1}{1 + z}$.
з) Чтобы сократить дробь $\frac{ad + acd}{abd - acd}$, вынесем общие множители в числителе и знаменателе.
1. В числителе общий множитель $ad$: $ad + acd = ad(1 + c)$.
2. В знаменателе общий множитель $ad$: $abd - acd = ad(b - c)$.
3. Получаем дробь: $\frac{ad(1 + c)}{ad(b - c)}$.
4. Сокращаем общий множитель $ad$ (при условии, что $a \neq 0$ и $d \neq 0$).
5. Итоговая дробь: $\frac{1 + c}{b - c}$.
Ответ: $\frac{1 + c}{b - c}$.
№823 (с. 229)
Условие. №823 (с. 229)
скриншот условия

823 a) $\frac{ay-az}{by-bz}$;
Б) $\frac{3+6c}{2+4c}$;
В) $\frac{a^2-ab}{ab-b^2}$;
Г) $\frac{ax+2x}{ay+2y}$;
Д) $\frac{2c-8cx}{3a-12ax}$;
e) $\frac{an+n^2}{an+a^2}$;
Ж) $\frac{x^2+xy}{x^2+2xy+y^2}$;
З) $\frac{a^2-2ab+b^2}{3a-3b}$.
Решение 1. №823 (с. 229)








Решение 2. №823 (с. 229)

Решение 3. №823 (с. 229)

Решение 5. №823 (с. 229)

Решение 6. №823 (с. 229)
а) Чтобы сократить дробь, вынесем общие множители за скобки в числителе и знаменателе. В числителе общий множитель - это $a$, в знаменателе - $b$.
$\frac{ay - az}{by - bz} = \frac{a(y - z)}{b(y - z)}$
Теперь мы можем сократить общий множитель $(y - z)$.
Ответ: $\frac{a}{b}$
б) В дроби $\frac{3 + 6c}{2 + 4c}$ вынесем общий множитель в числителе (это $3$) и в знаменателе (это $2$).
$\frac{3(1 + 2c)}{2(1 + 2c)}$
Сокращаем общий множитель $(1 + 2c)$.
Ответ: $\frac{3}{2}$
в) Рассмотрим дробь $\frac{a^2 - ab}{ab - b^2}$. Вынесем общие множители за скобки. В числителе это $a$, а в знаменателе $b$.
$\frac{a(a - b)}{b(a - b)}$
Сокращаем одинаковый множитель $(a - b)$.
Ответ: $\frac{a}{b}$
г) Для дроби $\frac{ax + 2x}{ay + 2y}$ вынесем общие множители. В числителе это $x$, а в знаменателе $y$.
$\frac{x(a + 2)}{y(a + 2)}$
Сокращаем общий множитель $(a + 2)$.
Ответ: $\frac{x}{y}$
д) В дроби $\frac{2c - 8cx}{3a - 12ax}$ вынесем общие множители. В числителе это $2c$, в знаменателе - $3a$.
$\frac{2c(1 - 4x)}{3a(1 - 4x)}$
Сокращаем общий множитель $(1 - 4x)$.
Ответ: $\frac{2c}{3a}$
е) Рассмотрим дробь $\frac{an + n^2}{an + a^2}$. В числителе вынесем за скобки $n$, а в знаменателе - $a$.
$\frac{n(a + n)}{a(n + a)}$
Поскольку $a+n = n+a$, сокращаем этот общий множитель.
Ответ: $\frac{n}{a}$
ж) В дроби $\frac{x^2 + xy}{x^2 + 2xy + y^2}$ сначала разложим числитель и знаменатель на множители. В числителе вынесем $x$ за скобку. Знаменатель является полным квадратом суммы, который можно свернуть по формуле $(a+b)^2 = a^2+2ab+b^2$.
$x^2 + xy = x(x+y)$
$x^2 + 2xy + y^2 = (x+y)^2$
Получаем дробь: $\frac{x(x + y)}{(x + y)^2}$.
Сокращаем на общий множитель $(x + y)$.
Ответ: $\frac{x}{x + y}$
з) Рассмотрим дробь $\frac{a^2 - 2ab + b^2}{3a - 3b}$. Разложим на множители числитель и знаменатель. Числитель - это полный квадрат разности, который сворачивается по формуле $(a-b)^2 = a^2-2ab+b^2$. В знаменателе вынесем за скобку $3$.
$a^2 - 2ab + b^2 = (a-b)^2$
$3a - 3b = 3(a-b)$
Получаем дробь: $\frac{(a - b)^2}{3(a - b)}$.
Сокращаем на общий множитель $(a - b)$.
Ответ: $\frac{a - b}{3}$
№824 (с. 229)
Условие. №824 (с. 229)
скриншот условия

824 ПРИМЕНЯЕМ АЛГЕБРУ Вычислите:
a) $\frac{2^{12} - 2^9}{7 \cdot 2^8}$;
б) $\frac{2 \cdot 5^{10} - 5^{11}}{6 \cdot 5^{11}}؛$
В) $\frac{3^{12} + 3^{10}}{3^8}$;
Г) $\frac{5^8 + 5^6}{2 \cdot 5^7}$.
Решение 1. №824 (с. 229)




Решение 2. №824 (с. 229)

Решение 3. №824 (с. 229)

Решение 5. №824 (с. 229)

Решение 6. №824 (с. 229)
а) Чтобы вычислить значение выражения, вынесем в числителе общий множитель с наименьшим показателем степени, то есть $2^9$, за скобки. Затем выполним вычисления в скобках и сократим дробь.
$ \frac{2^{12} - 2^9}{7 \cdot 2^8} = \frac{2^9(2^{12-9} - 1)}{7 \cdot 2^8} = \frac{2^9(2^3 - 1)}{7 \cdot 2^8} = \frac{2^9(8 - 1)}{7 \cdot 2^8} = \frac{2^9 \cdot 7}{7 \cdot 2^8} $
Сократим общий множитель 7 в числителе и знаменателе. Затем применим свойство частного степеней с одинаковым основанием $ \frac{a^m}{a^n} = a^{m-n} $:
$ \frac{2^9}{2^8} = 2^{9-8} = 2^1 = 2 $
Ответ: 2.
б) В данном выражении вынесем в числителе за скобки общий множитель $5^{10}$.
$ \frac{2 \cdot 5^{10} - 5^{11}}{6 \cdot 5^{11}} = \frac{2 \cdot 5^{10} - 5^1 \cdot 5^{10}}{6 \cdot 5^{11}} = \frac{5^{10}(2 - 5)}{6 \cdot 5^{11}} = \frac{5^{10} \cdot (-3)}{6 \cdot 5^{11}} $
Теперь сократим дробь. Числовые коэффициенты: $ \frac{-3}{6} = -\frac{1}{2} $. Степени с основанием 5: $ \frac{5^{10}}{5^{11}} = 5^{10-11} = 5^{-1} = \frac{1}{5} $. Перемножим полученные результаты:
$ -\frac{1}{2} \cdot \frac{1}{5} = -\frac{1}{10} = -0,1 $
Ответ: -0,1.
в) Можно разделить выражение на сумму двух дробей с одинаковым знаменателем. Это позволит упростить вычисления.
$ \frac{3^{12} + 3^{10}}{3^8} = \frac{3^{12}}{3^8} + \frac{3^{10}}{3^8} $
Применим свойство частного степеней $ \frac{a^m}{a^n} = a^{m-n} $ к каждому слагаемому:
$ 3^{12-8} + 3^{10-8} = 3^4 + 3^2 $
Вычислим значения степеней и сложим их:
$ 81 + 9 = 90 $
Ответ: 90.
г) В числителе вынесем за скобки общий множитель $5^6$.
$ \frac{5^8 + 5^6}{2 \cdot 5^7} = \frac{5^6(5^{8-6} + 1)}{2 \cdot 5^7} = \frac{5^6(5^2 + 1)}{2 \cdot 5^7} = \frac{5^6(25 + 1)}{2 \cdot 5^7} = \frac{5^6 \cdot 26}{2 \cdot 5^7} $
Сократим числовые коэффициенты $ \frac{26}{2} = 13 $. Затем упростим степени с основанием 5:
$ \frac{13 \cdot 5^6}{5^7} = 13 \cdot 5^{6-7} = 13 \cdot 5^{-1} = 13 \cdot \frac{1}{5} = \frac{13}{5} $
Переведем обыкновенную дробь в десятичную:
$ \frac{13}{5} = 2,6 $
Ответ: 2,6.
№825 (с. 229)
Условие. №825 (с. 229)
скриншот условия

825 Вынесите общий множитель за скобки:
а) $2a^2b^2 - 6ab^2 + 2a^2b$;
б) $3a^3m + 9a^2m - 6am^2$;
в) $12xy^2z^2 - 8x^2yz^2 - 2x^2y^2z$;
г) $-4a^4b^2c - 8a^4b^3c - 16a^3b^2c$.
Решение 1. №825 (с. 229)




Решение 2. №825 (с. 229)

Решение 3. №825 (с. 229)

Решение 5. №825 (с. 229)

Решение 6. №825 (с. 229)
а) $2a^2b^2 - 6ab^2 + 2a^2b$
Чтобы вынести общий множитель за скобки, необходимо найти наибольший общий делитель (НОД) для числовых коэффициентов и общие переменные в наименьшей степени, которые присутствуют в каждом члене многочлена.
1. Находим НОД для коэффициентов 2, -6 и 2. Наибольший общий делитель для чисел 2, 6 и 2 это 2.
2. Находим общие переменные. Переменная $a$ присутствует в каждом члене в степенях 2, 1 и 2. Наименьшая степень равна 1, поэтому выносим $a^1$ или просто $a$. Переменная $b$ присутствует в каждом члене в степенях 2, 2 и 1. Наименьшая степень равна 1, поэтому выносим $b^1$ или просто $b$.
Таким образом, общий множитель для всего выражения — это произведение НОД коэффициентов и общих переменных, то есть $2ab$.
Теперь разделим каждый член исходного многочлена на этот общий множитель:$2a^2b^2 \div (2ab) = ab$;$-6ab^2 \div (2ab) = -3b$;$2a^2b \div (2ab) = a$.
Записываем результат, вынося общий множитель за скобки и помещая результаты деления в скобки: $2ab(ab - 3b + a)$.
Ответ: $2ab(ab - 3b + a)$
б) $3a^3m + 9a^2m - 6am^2$
1. Находим НОД для коэффициентов 3, 9 и -6. НОД(3, 9, 6) = 3.
2. Находим общие переменные в наименьшей степени. Переменная $a$ входит в степени 3, 2, 1. Наименьшая степень — 1, выносим $a$. Переменная $m$ входит в степени 1, 1, 2. Наименьшая степень — 1, выносим $m$.
Общий множитель равен $3am$.
Делим каждый член на $3am$:$3a^3m \div (3am) = a^2$;$9a^2m \div (3am) = 3a$;$-6am^2 \div (3am) = -2m$.
Записываем итоговое выражение: $3am(a^2 + 3a - 2m)$.
Ответ: $3am(a^2 + 3a - 2m)$
в) $12xy^2z^2 - 8x^2yz^2 - 2x^2y^2z$
1. Находим НОД для коэффициентов 12, -8 и -2. НОД(12, 8, 2) = 2.
2. Находим общие переменные в наименьшей степени. Переменная $x$ ($x^1, x^2, x^2$) — выносим $x$. Переменная $y$ ($y^2, y^1, y^2$) — выносим $y$. Переменная $z$ ($z^2, z^2, z^1$) — выносим $z$.
Общий множитель равен $2xyz$.
Делим каждый член на $2xyz$:$12xy^2z^2 \div (2xyz) = 6yz$;$-8x^2yz^2 \div (2xyz) = -4xz$;$-2x^2y^2z \div (2xyz) = -xy$.
Записываем итоговое выражение: $2xyz(6yz - 4xz - xy)$.
Ответ: $2xyz(6yz - 4xz - xy)$
г) $-4a^4b^2c - 8a^4b^3c - 16a^3b^2c$
1. Все коэффициенты (-4, -8, -16) отрицательны, поэтому удобно вынести за скобки отрицательный множитель. Находим НОД модулей коэффициентов: НОД(4, 8, 16) = 4. Таким образом, выносим -4.
2. Находим общие переменные в наименьшей степени. Переменная $a$ ($a^4, a^4, a^3$) — выносим $a^3$. Переменная $b$ ($b^2, b^3, b^2$) — выносим $b^2$. Переменная $c$ ($c^1, c^1, c^1$) — выносим $c$.
Общий множитель равен $-4a^3b^2c$.
Делим каждый член на $-4a^3b^2c$. При делении на отрицательное число знаки в скобках изменятся на противоположные:$-4a^4b^2c \div (-4a^3b^2c) = a$;$-8a^4b^3c \div (-4a^3b^2c) = 2ab$;$-16a^3b^2c \div (-4a^3b^2c) = 4$.
Записываем итоговое выражение: $-4a^3b^2c(a + 2ab + 4)$.
Ответ: $-4a^3b^2c(a + 2ab + 4)$
№826 (с. 229)
Условие. №826 (с. 229)
скриншот условия

826 Вычислите, применяя вынесение общего множителя за скобки:
a) $21 \cdot 12 + 21 \cdot 14 + 26 \cdot 79;$
б) $4,3 \cdot 2,8 - 3,8 \cdot 1,2 - 2,8 \cdot 3,1.$
Решение 1. №826 (с. 229)


Решение 2. №826 (с. 229)

Решение 3. №826 (с. 229)

Решение 5. №826 (с. 229)

Решение 6. №826 (с. 229)
а) $21 \cdot 12 + 21 \cdot 14 + 26 \cdot 79$
Сначала сгруппируем первые два слагаемых и вынесем за скобки общий множитель 21:
$21 \cdot 12 + 21 \cdot 14 + 26 \cdot 79 = 21 \cdot (12 + 14) + 26 \cdot 79$
Выполним сложение в скобках:
$21 \cdot 26 + 26 \cdot 79$
Теперь у получившихся слагаемых есть общий множитель 26. Вынесем его за скобки:
$26 \cdot (21 + 79)$
Снова выполним сложение в скобках:
$26 \cdot 100 = 2600$
Ответ: 2600
б) $4,3 \cdot 2,8 - 3,8 \cdot 1,2 - 2,8 \cdot 3,1$
Сначала сгруппируем первое и третье слагаемые, так как у них есть общий множитель 2,8:
$(4,3 \cdot 2,8 - 2,8 \cdot 3,1) - 3,8 \cdot 1,2$
Вынесем общий множитель 2,8 за скобки:
$2,8 \cdot (4,3 - 3,1) - 3,8 \cdot 1,2$
Выполним вычитание в скобках:
$2,8 \cdot 1,2 - 3,8 \cdot 1,2$
Теперь у получившихся слагаемых есть общий множитель 1,2. Вынесем его за скобки:
$1,2 \cdot (2,8 - 3,8)$
Снова выполним вычитание в скобках:
$1,2 \cdot (-1) = -1,2$
Ответ: -1,2
№827 (с. 229)
Условие. №827 (с. 229)
скриншот условия

827 Найдите значение выражения:
a) $ \frac{5 \cdot 4^{27} - 21 \cdot 4^{26}}{2^{50}} $;
б) $ \frac{3^{51} - 4 \cdot 3^{50}}{9^{26}} $.
Решение 1. №827 (с. 229)


Решение 2. №827 (с. 229)

Решение 3. №827 (с. 229)

Решение 5. №827 (с. 229)

Решение 6. №827 (с. 229)
Для того чтобы найти значение выражения $ \frac{5 \cdot 4^{27} - 21 \cdot 4^{26}}{2^{50}} $, сначала упростим числитель. В числителе можно вынести за скобки общий множитель $ 4^{26} $, так как $ 4^{27} = 4^1 \cdot 4^{26} $.
$ 5 \cdot 4^{27} - 21 \cdot 4^{26} = 5 \cdot (4 \cdot 4^{26}) - 21 \cdot 4^{26} $
Выносим $ 4^{26} $ за скобки:
$ (5 \cdot 4 - 21) \cdot 4^{26} = (20 - 21) \cdot 4^{26} = -1 \cdot 4^{26} = -4^{26} $
Теперь выражение принимает вид: $ \frac{-4^{26}}{2^{50}} $.
Приведем степени к одному основанию. Мы знаем, что $ 4 = 2^2 $. Поэтому:
$ -4^{26} = -(2^2)^{26} = -2^{2 \cdot 26} = -2^{52} $
Подставим полученное значение в дробь:
$ \frac{-2^{52}}{2^{50}} $
Используем свойство деления степеней с одинаковым основанием $ \frac{a^m}{a^n} = a^{m-n} $:
$ -2^{52-50} = -2^2 = -4 $
Ответ: -4
б)Рассмотрим выражение $ \frac{3^{51} - 4 \cdot 3^{50}}{9^{26}} $. Упростим числитель, вынеся за скобки общий множитель $ 3^{50} $, так как $ 3^{51} = 3^1 \cdot 3^{50} $.
$ 3^{51} - 4 \cdot 3^{50} = (3 \cdot 3^{50}) - 4 \cdot 3^{50} $
Выносим $ 3^{50} $ за скобки:
$ (3 - 4) \cdot 3^{50} = -1 \cdot 3^{50} = -3^{50} $
Теперь преобразуем знаменатель. Приведем степень к основанию 3. Мы знаем, что $ 9 = 3^2 $.
$ 9^{26} = (3^2)^{26} = 3^{2 \cdot 26} = 3^{52} $
Подставим упрощенные числитель и знаменатель в исходное выражение:
$ \frac{-3^{50}}{3^{52}} $
Используем свойство деления степеней с одинаковым основанием:
$ -3^{50-52} = -3^{-2} $
По определению степени с отрицательным показателем $ a^{-n} = \frac{1}{a^n} $, получаем:
$ -\frac{1}{3^2} = -\frac{1}{9} $
Ответ: $ -\frac{1}{9} $
№828 (с. 229)
Условие. №828 (с. 229)
скриншот условия

828 Докажите, что значение выражения:
а) $6^5 + 6^4$ делится на 7;
б) $9^4 - 9^3$ делится на 8;
в) $3^4 + 3^5 + 3^6$ делится на 13;
г) $2^5 + 2^6 + 2^7 + 2^8$ делится на 5.
Решение 1. №828 (с. 229)




Решение 2. №828 (с. 229)

Решение 3. №828 (с. 229)

Решение 5. №828 (с. 229)

Решение 6. №828 (с. 229)
а) Для доказательства того, что выражение $6^5 + 6^4$ делится на 7, вынесем за скобки общий множитель с наименьшей степенью, то есть $6^4$:
$6^5 + 6^4 = 6^4(6^1 + 1) = 6^4(6 + 1) = 6^4 \cdot 7$.
Поскольку один из множителей в полученном произведении равен 7, то и всё выражение делится на 7.
Ответ: Доказано, что значение выражения $6^5 + 6^4$ делится на 7.
б) Для доказательства того, что выражение $9^4 - 9^3$ делится на 8, вынесем за скобки общий множитель $9^3$:
$9^4 - 9^3 = 9^3(9^1 - 1) = 9^3(9 - 1) = 9^3 \cdot 8$.
Поскольку один из множителей равен 8, то и всё выражение делится на 8.
Ответ: Доказано, что значение выражения $9^4 - 9^3$ делится на 8.
в) Для доказательства того, что выражение $3^4 + 3^5 + 3^6$ делится на 13, вынесем за скобки общий множитель $3^4$:
$3^4 + 3^5 + 3^6 = 3^4(1 + 3^1 + 3^2) = 3^4(1 + 3 + 9) = 3^4 \cdot 13$.
Поскольку один из множителей равен 13, то и всё выражение делится на 13.
Ответ: Доказано, что значение выражения $3^4 + 3^5 + 3^6$ делится на 13.
г) Для доказательства того, что выражение $2^5 + 2^6 + 2^7 + 2^8$ делится на 5, вынесем за скобки общий множитель $2^5$:
$2^5 + 2^6 + 2^7 + 2^8 = 2^5(1 + 2^1 + 2^2 + 2^3) = 2^5(1 + 2 + 4 + 8) = 2^5 \cdot 15$.
Число 15 можно представить в виде произведения $3 \cdot 5$. Тогда выражение равно $2^5 \cdot 3 \cdot 5$. Так как в произведении есть множитель 5, то всё выражение делится на 5.
Ответ: Доказано, что значение выражения $2^5 + 2^6 + 2^7 + 2^8$ делится на 5.
Помогло решение? Оставьте отзыв в комментариях ниже.